37597 (607209), страница 4
Текст из файла (страница 4)
Анализируя данные таблицы 6, необходимо отметить следующие тенденции. Показатель среднедушевых денежных доходов населения по всем исследуемым регионам существенно возрос. Максимальный прирост отмечен в Пермском крае (+33,89 %). Анализ показателя рентабельности валовой продукции (работ, услуг) региона показал, что по Нижегородской области, Республикам Татарстан и Башкортостан отмечен рост данного показателя, причем лидером является Нижегородская область (+29,05 %). Однако по Самарской области и Пермскому краю отмечено снижение уровня рентабельности продукции.
Единичный показатель удельного веса убыточных организаций отрицательно влияет на конкурентоспособность региона. Следовательно, отрицательные значения абсолютных и относительных изменений свидетельствуют о положительном влиянии на конкурентоспособность региона. Значительное сокращение убыточных предприятий произошло в Республике Татарстан (-16,67%). Однако в Самарской области количество таких предприятий напротив возросло на 5,26 %. Единичный показатель удельного веса инвестиций в основной капитал в ВРП по всем анализируемым регионам в течении рассматриваемого периода увеличился, что положительно влияет на конкурентоспособность регионов. Наибольший рост данного показателя отмечен по Республике Татарстан (+18,71 %).
Рост показателя расходов консолидированного бюджета на душу населения свидетельствует не только о повышении конкурентоспособности региона, но и об улучшении качества жизни. Названный показатель имеет положительную тенденцию по всем регионам Приволжского Федерального округа. Наибольший рост отмечен по Республике Татарстан (+63,08 %).
Удельный вес инновационно-активных организаций в общем числе организаций увеличился Республике Татарстан, Нижегородской, Самарской областям, Пермскому краю. Значительное увеличение отмечено по Нижегородской области (+148 %). По Республике Башкортостан данный показатель существенно снизился (10,29 %), что отрицательно влияет на конкурентоспособность данных регионов. Анализ данного показателя необходимо дополнить анализом доли отгруженной инновационной продукции от общего объема отгруженной продукции, так как послейний показатель также характеризует инновационный потенциал региона. Согласно данным таблицы 6, по Республике Татарстан, Самарской области и Пермскому краю наблюдается снижение доли отгруженной инновационной продукции. Из сопоставления данного показателя с удельным весом инновационно-активных предприятий следует, что увеличение количества инновационных предприятий по Самарской области и Пермскому краю не привело к увеличению доли отгруженной продукции, а напротив, произошло снижение. По Республике Башкортостан ситуация обратная, то есть при сокращении удельного веса инновационно-активных предприятий отмечен существенный рост доли отгруженной инновационной продукции (+32,73 %), что свидетельствует об увеличении эффективности данного предприятия. По единичному показателю, характеризующему экспорт, по Республике Татарстан отмечено снижение, а по Республике Башкортостан, Нижегородской, Самарской областям, Пермскому краю - увеличение. Необходимо обратить внимание на то, что численные значения данного показателя по различным регионам существенно отличаются.
Анализ удельного веса транспортных услуг и связи в ВРП показал, что отрицательные тенденции характерны для Республики Татарстан. Анализ удельного веса малых предприятий в общем числе зарегистрированных предприятий показал, что по Республике Башкортостан, Самарской области и Пермскому краю наблюдаются отрицательные тенденции, а по Нижегородской области и Республике Татарстан данный показатель не изменился.
Результаты анализа зависимостей для оценки уровня региональной конкурентоспособности показывают, что их практическое использование вызывает ряд затруднений, связанных с присвоением численных значений коэффициентам весомости единичных показателей, которые определяются экспертным методом.
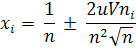
На шестом этапе определяются весовые коэффициенты единичных показателей по формуле:
(1)
Используя формулу (1), мы получаем моделируемый в порядке уменьшения от max до min в пределах (0...1) числовой ряд, значения которого затем присваиваются ранжированному по степени важности ряду единичных показателей коэффициентов весомости. Так, первому номеру ранжированного ряда по важности единичных показателей присваивается максимальное численное значение смоделированного числового ряда, а далее в порядке убывания.
В таблице 7 представлены численные значения коэффициентов весомости единичных показателей, рассчитанные по формуле (1) и расположенные в порядке убывания.
Таблица 7 - Численные значения коэффициентов весомости единичных показателей
| x1 | x2 | x3 | x4 | x5 | x6 | x7 | x8 | x9 | x10 |
| 0,102 | 0,099 | 0,097 | 0,095 | 0,093 | 0,091 | 0,089 | 0,087 | 0,085 | 0,083 |
На седьмом этапе алгоритма оценки конкурентоспособности региона после определения численных значений коэффициентов весомости (xi) сводим их в интегральный показатель конкурентоспособности региона (Пк.р.), по формуле:
где - приведенный единичный показатель, рассчитанный следующим образом:
где Qi - текущее значение единичного показателя; Qmax - максимальное значение единичного показателя, выбранное среди аналогичных показателей исследуемой области. Максимальное значение выбирается в том случае, если единичный показатель повышает конкурентоспособность региона.
В данном случае значение единичного показателя удельного веса убыточных предприятий среди исследуемого ряда выбирается минимальное, так как данный показатель уменьшает конкурентоспособность региона.
В таблицах 8 и 9 отражены результаты расчетов интегральных показателей конкурентоспособности регионов соответственно за 2006 и 2007 гг., согласно формуле (2).
Таблица 8 - Расчет интегральных показателей конкурентоспособности регионов, 2006 г.
| Показатели | Приволжский Федеральный округ | ||||
| Республика Башкортостан | Республика Татарстан | Нижегородская область | Самарская область | Пермский край | |
| 1. Q1 | 0,94 | 0,92 | 0,96 | 1,0 | 0,88 |
| 2. x1 | 0,102 | ||||
| 3. П1 | 0,096 | 0,094 | 0,098 | 0,102 | 0,09 |
| 4. Q2 | 0,063 | 0,43 | 0,22 | 1,0 | 0,15 |
| 5. x2 | 0,099 | ||||
| 6. П2 | 0,0062 | 0,043 | 0,022 | 0,099 | 0,015 |
| 7. Q3 | 0,87 | 0,81 | 0,73 | 1,0 | 0,84 |
| 8. x3 | 0,097 | ||||
| 9. П3 | 0,084 | 0,079 | 0,071 | 0,097 | 0,081 |
| 10. Q4 | 0,93 | 1,0 | 0,91 | 0,92 | 0,76 |
| 11. x4 | 0,095 | ||||
| 12. П4 | 0,088 | 0,095 | 0,086 | 0,087 | 0,072 |
| 13. Q5 | 0,56 | 0,67 | 0,61 | 1,0 | 0,66 |
| 14. x5 | 0,093 | ||||
| 15. П5 | 0,052 | 0,062 | 0,057 | 0,093 | 0,061 |
| 16. Q6 | 0,77 | 0,47 | 0,15 | 0,52 | 1,0 |
| 17. x6 | 0,091 | ||||
| 18. П6 | 0,07 | 0,043 | 0,014 | 0,047 | 0,091 |
| 19. Q7 | 0,51 | 0,18 | 0,11 | 0,43 | 1,0 |
| 20. x7 | 0,089 | ||||
| 21. П7 | 0,045 | 0,016 | 0,01 | 0,038 | 0,089 |
| 22. Q8 | 0,13 | 0,13 | 0,05 | 1,0 | 0,047 |
| 23. x8 | 0,087 | ||||
| 24. П8 | 0,011 | 0,027 | 0,004 | 0,087 | 0,004 |
| 25. Q9 | 0,47 | 0,43 | 0,468 | 0,32 | 1,0 |
| 26. x9 | 0,085 | ||||
| 27. П9 | 0,04 | 0,037 | 0,04 | 0,027 | 0,085 |
| 28. Q10 | 0,89 | 1,0 | 0,53 | 0,83 | 0,64 |
| 29. x10 | 0,083 | ||||
| 30. П10 | 0,074 | 0,083 | 0,044 | 0,069 | 0,053 |
| 31. Интегр. показатель (п.3 + п.6 + п.9 + п.12 + п.15 + п.18 + п.21 + п.24 + п.27 + п.30) | 0,5662 | 0,579 | 0,446 | 0,746 | 0,641 |
Таблица 9 - Расчет интегральных показателей конкурентоспособности регионов, 2007 г.
| Показатели | Приволжский Федеральный округ | ||||
| Республика Башкортостан | Республика Татарстан | Нижегородская область | Самарская область | Пермский край | |
| 1. Q1 | 0,97 | 0,94 | 0,92 | 1,0 | 0,85 |
| 2. x1 | 0,102 | ||||
| 3. П1 | 0,1 | 0,096 | 0,094 | 0,102 | 0,087 |
| 4. Q2 | 0,098 | 0,71 | 0,38 | 1,0 | 0,18 |
| 5. x2 | 0,099 | ||||
| 6. П2 | 0,0097 | 0,07 | 0,0376 | 0,099 | 0,0178 |
| 7. Q3 | 0,96 | 1,0 | 0,8 | 0,97 | 0,9 |
| 8. x3 | 0,097 | ||||
| 9. П3 | 0,093 | 0,097 | 0,0776 | 0,0941 | 0,0873 |
| 10. Q4 | 0,88 | 1,0 | 0,86 | 0,87 | 0,7 |
| 11. x4 | 0,095 | ||||
| 12. П4 | 0,0836 | 0,095 | 0,0817 | 0,0827 | 0,0665 |
| 13. Q5 | 0,51 | 0,82 | 0,6 | 1,0 | 0,56 |
| 14. x5 | 0,093 | ||||
| 15. П5 | 0,047 | 0,076 | 0,056 | 0,093 | 0,052 |
| 16. Q6 | 0,62 | 0,44 | 0,34 | 0,59 | 1,0 |
| 17. x6 | 0,091 | ||||
| 18. П6 | 0,056 | 0,04 | 0,03 | 0,054 | 0,091 |
| 19. Q7 | 0,75 | 0,15 | 0,21 | 0,4 | 1,0 |
| 20. x7 | 0,089 | ||||
| 21. П7 | 0,067 | 0,013 | 0,019 | 0,036 | 0,089 |
| 22. Q8 | 0,22 | 0,51 | 0,12 | 1,0 | 0,065 |
| 23. x8 | 0,087 | ||||
| 24. П8 | 0,019 | 0,044 | 0,01 | 0,087 | 0,0057 |
| 25. Q9 | 0,51 | 0,32 | 0,43 | 0,26 | 1,0 |
| 26. x9 | 0,085 | ||||
| 27. П9 | 0,043 | 0,0272 | 0,037 | 0,022 | 0,085 |
| 28. Q10 | 0,82 | 1,0 | 0,5 | 0,75 | 0,65 |
| 29. x10 | 0,083 | ||||
| 30. П10 | 0,068 | 0,083 | 0,04 | 0,062 | 0,054 |
| 31. Интегр. показатель (п.3 + п.6 + п.9 + п.12 + п.15 + п.18 + п.21 + п.24 + п.27 + п.30) | 0,5863 | 0,6412 | 0,4839 | 0,7318 | 0,6353 |
На восьмом этапе определяем уровень конкурентоспособности региона из соотношения:
















