73154-1 (602975), страница 3
Текст из файла (страница 3)
0 £ ç rç £ h y/x £ 1; 0 £ ç rç £ h x/y £ 1;
При отсутствии корреляционной связи r, в, h равны нулю. Поэтому проверка гипотезы о наличии корреляционной связи заключается в
расчете выборочных эмпирических оценок этих характеристик и значимости их отличия от нуля, причем из h у/х = 0 еще не следует, что h x/y =0 [2, 76]. Для криволинейных зависимостей по строение кривых регрессии проводится также методом наименьших квадратов, при расчетах ограничиваются полиномами до третьей степени [76,80].
Уравнение кривой регрессии удобно записывать в виде разложения по ортогональным полиномам П.Л. Чебышева [76]:
y = во× ро(х) + в1× р1(х) +…вvрv(x), где ро(х)=1, р1(х)=(х-` х),
Параметры вj не зависят от степени искомого полинома и определяются по формуле:
(j=0,1….n)
Истинные значения параметров вj с надежностью P лежат в доверительных интервалах:
где tj =t(P,R) из таблиц распределения при числе степеней свободы R=n-j-1,
есть сумма квадратов отклонений опытных точек от расчетных,
.
Все измерения предполагаются равноточными и независимыми с нормально распределенными ошибками. При оценке геохимических систем с парагенетическими корреляционными связями применяется метод множественной линейной корреляции для трех-шести компонент, уравнение множественной регрессии которого представляет линеаризированную функцию:
, где xi - значения i -ого признака.
Найденное уравнение наилучшим образом, в смысле метода наименьших квадратов, соответствует имеющимся эмпирическим данным. Задача сводится к вычислению коэффициентов регрессии ao,a1,…aR по совокупности N наблюдений переменных x1,x2,…xm и зависимой переменной y. При вычислениях на ЭВМ определяются следующие показатели [44]:
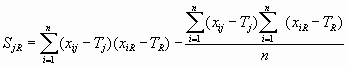
Вычисление сумм взаимных произведений отклонений всех переменных
где j = 1, 2, 3,… m;
R=1, 2, 3,… m;
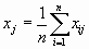
2. Вычисление средних для всех переменных
3. Вычисление парных эмпирических коэффициентов корреляции
где j = 1, 2, 3,… m; R=1, 2, 3,… m;
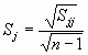
4. Вычисление стандартных отклонений для всех переменных
5. Подбор обратной матрицы парных эмпирических корреляционных коэффициентов, которая при умножении на данную матрицу дает единичную матрицу.
R . R-1 = R-1 .R = E
6. Вычисление коэффициентов регрессии
где Sy - стандартное отклонение зависимой переменной;
Sj - стандартное отклонение J -ой независимой переменной;
rij - парная корреляция i -ой независимой переменной с зависимой
переменной;
rij-1 - обратная корреляция независимых переменных.
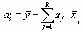
7. Вычисление свободного члена
где ` y -среднее значение зависимой переменной y;
` xj - среднее значение j -той независимой переменной.
8. Вычисление множественного коэффициента корреляции
где ê Lê - определитель ковариационной матрицы;
a11 - первый член ковариационной матрицы;
ê L’ê - определитель ковариационной матрицы без первого столбца и первой
строки.
Такова рекомендуемая схема вычислений для оценки парагенетических
связей в многокомпонентных геохимических системах. Для настоящей
работы наиболее интересен случай трех величин: x={xi}, y={yi}, z={zi}.
Рассмотрим зависимости эмпирической регрессии z на x и y. Плоскость регрессии z на (x,y) описывается уравнением:
z-` z =вz/x(x-` x)+ вz/y(y-` y),
где коэффициенты регрессии вz/x, вz/y определяются через коэффициенты, корреляции nap (x,y), (x,z) и (y,z).
;
где Sx , Sy , Sz - эмпирические дисперсии при n результатах. Мерой связи Z и (x,y) служит сводный (множественный) коэффициент корреляции:
0 £ R £ 1.
При R=0 между z и величинами x, y нет линейной корреляционной зависимости (но может быть нелинейная). При R=1 (все точки лежит в плоскости (регрессии) имеет место случай линейной функциональной зависимости величины z от х и у. Для изучения корреляции между двумя компонентами (например х и z после устранения влияния у) можно ввести парциальный (частный) коэффициент корреляции:
Таким образом, изложенные выше по литературным источникам рецепты указывают, что прикладная математика располагает достаточно мощным аппаратом для количественного анализа геохимических систем, и в частности для выявления, оценки и количественного выражения зависимостей между компонентами состава сложных сред.
При изучений состава геологических объектов, как геохимических систем, используется принцип относительной элементарности, представляющий собой общий методологический прием научного исследования материального мира. В соответствии с этой концепцией, объект исследования рассматривается в качестве сложной системы, состоящей из множества условно неделимых элементов, объединенных между собой совокупностью внутренних связей. Выявление взаимосвязей и пространственных взаимоотношений элементов неоднородности системы обеспечивает понимание ее структуры. При изучении Земли как планеты в качестве дискретных, условно неделимых элементов, рассматриваются ее оболочки. Для литосферы структурными элементами являются региональные участки пород различного состава. На уровне горной породы в качестве элементов выступают отдельные минералы, а на уровне минералов - слагающие их химические элементы. Таким образом, наличие нескольких дискретных качественно различных уровней в строении геологических объектов является их объективным природным свойством [42, 43, 46, 50, 74, 81-83].
При более детальных исследованиях геологических объектов в рамках каждого качественного однородного уровня появляется необходимость выделения уровней, различающихся по совокупности количественных критериев: состав и свойства. Подобную элементарность Л.И. Четвериков называет "количественной элементарностью" и отметил, что она определяется не только состоянием вещества слоеной системы, но и зависит от задачи исследований и детальности наблюдений. Специфика заключается в диспропорции между размерами дискретных наблюдений и размерами геологических элементов. Ослаблению неоднородности способствуют стабильные физико-химические условия процессов минералообразования, спокойная тектоника, хорошая проницаемость и выдержанность рудо подводящих и рудо локализующих структур. Для моделирования тел полезных ископаемых при решении различных геологоразведочных задач упрощенное формализованное представление об их строении было предложено Л.И. Четвериковым [83]. Условно им выделено пять структурных уровней: минерализованной зоны, тела полезного ископаемого, морфологически обособленного участка, текстуры руд и минерального агрегата. В соответствии с природными структурными уровнями при изучении месторождений определены уровни опробования, соответствующие этапам промышленного изучения: поисково-разведочному, предварительной, детальной и эксплуатационной разведкам; а также уровни отдельного замера (размера пробы). Изучение связей между компонентами должно выполняться на каждом уровне опробования с учетом конкретных задач в соответствии с этапами изучения объекта. Причем сила и характер связей, особенно парагенетических, могут меняться в зависимости от уровня опробования.
Детальность выявления структуры изучаемого объекта зависит от густоты сети дискретных наблюдений. Чем детальней эта сеть, тем более глубокий уровень в строении природных геологических образований может быть выявлен путем анализа и соответствующего группирования результатов единичных наблюдений.
Если группа единичных наблюдений располагается в пределах одного элемента неоднородности (структурного уровня, уровня опробования), то между значениями изучаемого признака в смежных пунктах наблюдений возникнут более или менее отчетливые автокорреляционные связи, а в характеристике наблюдаемой изменчивости признака отчетливо проявится неслучайная ее составляющая. Если ее проводить наблюдения по более редкой сети так, чтобы смежные пункты приходились на различные элементы неоднородности, корреляционные связи между значениями изучаемого признака в них ухудшатся или не проявятся, а в характеристике изменчивости признака будет доминировать случайная ее составляющая. Таким образом, изменчивость свойств одного и того же природного геологического объекта может быть оценена как случайная и как неслучайная после сгущения этой сети. Еще более заметное влияние на представления об изменчивости изучаемых свойств природных геологических образований оказывают размеры отбираемых проб. С увеличением размеров проб, их длины, наблюдаемая изменчивость значительно снижается. В частности, выравнивание средних содержаний происходит по закону "больших чисел" за счет резкого увеличения общего количества входящих в пробу элементов неоднородности.
Зависимость частных значений изучаемых признаков от густоты сети наблюдений и от размеров отбираемых проб свидетельствует о том, что задача полноценного и всестороннего количественного описания природной изменчивости свойств геологических образований практически невыполнима. Природная изменчивость существует объективно, отражая комплекс геологических и физико-химических условий формирования изучаемого объекта и представляет собой явление весьма сложного и многопланового характера. При решении конкретных геологических задач из всех возможных проявлений природной изменчивости оцениваются только те, знание которых необходимо для решения поставленных задач и только на тех уровнях строения, которые выявляются при данном масштабе проводимых исследований. Следовательно, понятие наблюдаемой изменчивости принципиально отличается от широко распространенного понятия природной изменчивости свойств геологических образований.
Наблюдаемая изменчивость отражает детальность наших представлений об изменчивости реально существующего геологического образования в зависимости не только от его природной сложности, но также и от условий экспериментальных наблюдений, положенных в основу ее характеристики.
При проведении статистической обработки экспериментальных геологических данных всегда следует помнить о том, что характеристики изменчивости, а также функции распределения изучаемых свойств отражают не только природную изменчивость, но и условия проводимого эксперимента. Это отчетливо видно при анализе распределения содержаний в объектах с повышенной степенью неравномерности (золото, ртуть, вольфрам). В работе [44] по материалам Д.А. Зенкова показано, что гиперболовидное распределение золота по секционным бороздовым пробам сменяется ассиметричным логнормальным для проб по подсечениям и почти симметричным для "площадных". Поэтому выводы по виду статистических характеристик необходимо делать с учетом уровня опробования и уровня проб.
При использовании методов корреляционного и регрессионного анализов при разведке также необходимо учитывать влияние геометрии проб - их объемов, размеров и ориентировки на количественные характеристики выборочных оценок связи. Для выявления характера и силы связей между содержаниями следует пользоваться данными анализов проб, геометрия которых отвечает решению практической задачи.
Если характеристики связи определяйся для целей подсчета одного элемента по содержанию другого в подсчетных блоках (вредные примеси, попутные полезные компоненты), то должны использоваться средние содержания исследуемых элементов в подсчетных блоках. Если нас интересует характер связи между элементами на уровне локального обособления (единичной рядовой пробы) в задачах оконтуривания, детализации, то для целей корреляционного анализа и по строения уравнений регрессии должны быть использованы данные по единичным пробам (штуфы, керн, борозда). В большей степени все сказанное относится к парагенетическим связям, зависимость которых от природно-структурных уровней строения более существенна. Для кристаллохимических связей (на уровне минерала) зависимости более стабильны в объеме геологических объектов, их нарушение может быть вызвано лишь сменой физико-химических условий. В нашей работе изучены кристаллохимические связи, основанные на изоморфных замещениях элементов в минералах и парагенетические связи в системах с постоянной суммой изучаемых компонент. Уравнения регрессии и коэффициенты корреляции практически одинаковы для выборок из рядовых, "сквозных" проб по керну и групповых для подсчетных блоков [49, 52, 53, 56, 58]. При этом необходимо указать на ведущую роль геологического анализа на всех уровнях использования математических методов. Перед математической обработкой данные должны быть оценены и систематизированы с геологической точки зрения. Все изучаемые объекты-массивы горных пород, скопления полезных ископаемых, их участки или блоки должны быть проверены на геологическую однородность, а для совокупностей, не однородных в геологическом отношении, должны быть установлены границы. Для каждого массива цифровых данных по однородным геологическим совокупностям должна быть проверена однотипность условий эксперимента и степени представительности результатов отдельных испытаний (идентичность способов пробоотбора, размеров, ориентировки и объемов проб), а также методическое соответствие пространственного расположения проб для решения поставленной геологической задачи.
















