19747 (602673), страница 4
Текст из файла (страница 4)
Например, при описании процессов на швейной фабрике могут быть сформулированы различные цели: оптимизация организационной структуры фабрики, формирование системы менеджмента качества, расширение видов деятельности и т.д.
2 Общей целью моделей в рамках настоящего документа является создание системы менеджмента качества, соответствующей требованиями СТБ ИСО 9000, СТБ ИСО 9001 и СТБ ИСО 9004.
Для того чтобы выявить деловые процессы, необходимо определить следующее:
-
потребителей продукции и/или услуг организации;
-
продукцию и/или услуги, производимые в организации и поставляемые потребителям;
-
виды сырья и их поставщиков.
Примечание - Для различных видов продукции или различных категорий потребителей можно рассматривать различные деловые процессы.
Например, швейная фабрика производит (шьет) женские пальто, заключая договора с потребителями. Потребителями продукции являются магазины женской одежды и торгово-посреднические компании. Фабрика закупает сырье на текстильных предприятиях, а также у торгово-посреднических компаний.
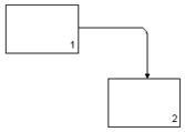
Фабрика является закрытым акционерным обществом. Цель построения модели – создание системы менеджмента качества. На основании этой информации в деятельности швейной фабрики можно выделить один деловой процесс – «Производить женские пальто». Входами этого процесса являются: а) внешняя информация, включая требования потребителей (магазинов и компаний); б) сырье и материалы; в) ресурсы. Выходами процесса являются: а) партии готовой продукции, предназначенные для потребителей; б) информация для внешних потребителей. Управление процессом осуществляется на основании нормативных документов, регламентирующих производственные процессы на фабрике. Учитывая, что нас интересует процесс с точки зрения менеджмента качества, то в качестве внешнего управления будем рассматривать нормативные документы, регламентирующие эту сферу, в том числе требования СТБ ИСО 9000. Карта делового процесса на швейной фабрике представлена на рисунке 2.
Рисунок 2- Деловой процесс на швейной фабрике
3.1.1.2 Описание структуры делового процесса
На втором этапе определения делового процесса необходимо описать его внутреннюю структуру. Для этого необходимо определить:
-
из каких процессов состоит моделируемый деловой процесс;
-
как эти процессы взаимодействуют между собой.
В IDEF0 моделировании для описания внутренней структуры процесса используется механизм декомпозиции (приложение А).
В соответствии с требованиями методологии IDEF0, для того чтобы декомпозировать деловой процесс, необходимо создать диаграмму-потомок. На этой диаграмме следует представить процессы, из которых состоит деловой процесс в рамках системы менеджмента качества (СМК).
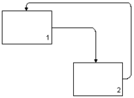
Рассмотрим декомпозицию делового процесса «Производить женские пальто» (рисунок 3).
Учитывая цели моделирования – соответствие делового процесса требованиям СТБ ИСО 9001 – декомпозиция делового процесса включает 4 блока процессов, представленных на рисунке 6.
В соответствии с требованиями СТБ ИСО 9000 деловой процесс «Производить женские пальто» включает следующие процессы:
- реализовать ответственность высшего руководства по менеджменту качества;
- осуществлять менеджмент ресурсов;
- реализовать процессы жизненного цикла;
- осуществлять измерения, анализ и улучшения СМК.
Примечание - На рисунке 6 не представлены взаимодействия между функциональными блоками, представляющими деком- позицию процесса «Производить женские пальто».
Документы,
регламентирующие
деловой процесс
Реализовать
ответственность
высшего руководства
Р
исунок 3 - Декомпозиция процесса «Производить женские пальто»
3.1.1.3 Описание взаимодействий между процессами
Третьим этапом определения делового процесса является описание взаимодействий между процессами. Взаимодействие между процессами в IDEF0 (приложение А) описывается с помощью интерфейсных дуг и обозначает передачу материалов и/или информации с выходов одного процесса на входы (управления, механизмы) другого процесса.
В методологии IDEF0 допустимыми являются 5 (пять) типов взаимодействий между блоками в пределах одной диаграммы:
-
управление;
-
выход вход;
-
обратная связь по управлению;
-
обратная связь по входу;
-
выход – механизм.
| Взаимосвязь по управлению: выход одного процесса влияет на выполнение другого процесса, т.е. выходная дуга блока 1 является управляющей для блока 2. В СТБ ИСО 9001 такое взаимодействие определяет функцию управления «ответственность руководства» по отношению к другим процессам | |
| Взаимосвязь по входу: выход одного процесса является входом для другого, т.е. выходная дуга блока 1 является входной для блока 2. Это взаимодействие характерно для любых процессов в организации, например для процессов жизненного цикла | |
| Обратная связь по управлению: выходы из одного процесса влияют на выполнение других процессов, выполнение которых в свою очередь влияет на выполнение исходного процесса. Выходная дуга блока 1 является управляющей для блока 2, а выходная дуга блока 2 является управляющей для блока 1. В СТБ ИСО 9001 такое взаимодействие может определять: - функцию управления «ответственность руководства»; - функцию управления «управление процессами жизненного цикла»; - функцию управления «измерение, анализ и улучшение» | |
| Обратная связь по входу: выход из одного процесса является входом для другого процесса, выход которого является для него входом, т.е. выходная дуга блока 2 является входной для блока 1, выход которого является для него входом. В СТБ ИСО 9001 такое взаимодействие может определять функцию управления «управление процессами жизненного цикла» | |
| Взаимосвязь «выход – механизм»: выход одного процесса является механизмом для другого, т.е. выходная дуга блока 1 является дугой механизма для блока 2. Такой тип связи относится чаще всего к процессам обеспечения ресурсами. В СТБ ИСО 9001 такое взаимодействие может определять функцию управления «менеджмент ресурсов» |
Практика показывает, что перечисленных пяти видов взаимодействий достаточно, чтобы определить взаимодействия между процессами любой сложности.
Описание взаимодействий в рамках функциональной модели процесса будет полным, когда для каждого функционального блока будут определены его интерфейсные дуги.
Примечание - Методология IDEF0 регламентирует, что каждый блок в модели должен содержать хотя бы по одной дуге входа, выхода, управления и механизма. В [6] имеется короткий список исключений из этого правила.
Рассмотрим взаимодействия между процессами, составляющими деловой процесс «Производить женские пальто» (рисунок 4).
Процесс «Реализовать ответственность высшего руководства по менеджменту качества» является управляющим процессом для всех остальных процессов. Соответственно, выход этого процесса – «Политика, цели, руководство по качеству, программы качества» является управляющим входом для всех остальных процессов, представленных на диаграмме (рисунок4).
Процесс «Осуществлять менеджмент ресурсов» имеет связь «выход – механизм» с процессами «Реализовать процессы жизненного цикла» и «Осуществлять измерения, анализ и улучшения СМК».
На диаграмме представлен контур обратной связи: выход процесса «Осуществлять измерения, анализ и улучшения СМК» с входом процесса «Реализовать ответственность высшего руководства по менеджменту качества»
Примечание - Правило полноты функциональной модели IDEF0 в точности соответствует требованиям СТБ ИСО 9001 в части того, что каждый процесс должен обеспечиваться ресурсами (дуги механизмов в IDEF0-модели), управляться (дуги управления), производить продукцию на выходе (выходные дуги), перерабатывая материалы и/или информацию, поступающие на его входы (входные дуги).
Документы,
регламентирующие
деловой процесс
Политика, цели, руководство по качеству, программы качества
Р
исунок 4 - Взаимодействия между процессами
3.1.1.4 Декомпозиция процесса
Количество уровней детализации процесса определяется целями моделирования и спецификой деятельности моделируемой организации.
В рамках настоящей методики основной целью моделирования процессов является анализ соответствия процесса требованиям системы менеджмента качества.
На диаграмме А0 деловой процесс «Производить женские пальто» представлен в виде 4 процессов. Диаграмма А0 является первым уровнем декомпозиции (детализации) для этого процесса. Каждый из 4 представленных процессов в свою очередь может быть декомпозирован. На рисунке 5 представлена декомпозиция процесса «Реализовать процессы жизненного цикла».
На диаграмме А3 (рисунок 5) процесс «Реализовать процессы жизненного цикла» представлен в виде шести процессов, включая «Осуществлять закупки», который также может быть декомпозирован (рисунок 6).
Политика, цели, руководство по качеству, программы качества
Рисунок 5 - Декомпозиция процесса «Реализовать процессы жизненного цикла»
Р
исунок 6 - Декомпозиция процесса «Осуществлять закупки»
3.1.1.5 Глоссарий процесса
Глоссарий процесса включает перечень процессов, объектов, обрабатываемых в рамках процессов, а также их определения.
Глоссарий представляет упорядоченный в алфавитном порядке список терминов. Каждому термину из этого списка соответствует определение или ссылка на соответствующее определение, приведенное в нормативных документах организации или вышестоящих органов, регламентах и т.п.
Например, для диаграммы А34 (рисунок 6) фрагмент глоссария будет выглядеть следующим образом:
| - информация для поставщиков | - пакет документов, содержащий вопросы, интересующие организацию относительно поставщика, его продукции и условий поставки; |
| - информация от поставщиков | - пакет документов, содержащий ответы на вопросы, представленные в документации для поставщиков (см. «Информация для поставщиков»); |
| - программы закупок | - утвержденные руководством перечни партий продукции, которые должны быть приобретены к определенным срокам. |
3.2.2 Классификация процессов в рамках IDEF0-модели
В соответствии с методологией IDEF0 модель состоит из двух типов элементов: функциональные блоки, которые представляют процессы, и интерфейсные дуги, которые представляют материальные и информационные объекты, обрабатываемые в рамках процессов.















