4465 (600164), страница 2
Текст из файла (страница 2)
Число Пекле применительно к данному условию выражается как
, (4.1)
где Ре- число Пекле, на пределе гашения пламени равное 65;
а - коэффициент температуропроводности горящей смеси (м/с2);
uн - нормальная скорость распространения пламени (м/с);
d – диаметр клапана огнепреградителя (м).
Установлено, что при Пекле менее 65, горение в узком клапане не возможно.
Для критических условиях
. (4.2)
, (4.3)
где λ - коэффициент теплопроводности горючей смеси (Вт/м·К);
Ср – удельная теплоемкость горючей смеси (Дж/кг·К);
р - плотность горючей смеси (кг·м3).
Согласно уравнению газового состояния, pV=GRT,
, (4.4)
где R - газовая постоянная(Дж/кг·К);
Т - температура горючей смеси (К);
р - давление горючей смеси (Па);
G - количество горючей смеси.
Подставляя (4.3) и (4.4) в (4.2) и решая уравнение относительно критического диаметра канала, получим:
, (4.5)
В соответствии с экспериментальными данными действительный диаметр канала огнегасящей насадки огнепреградителя должен быть взят с учетом двойного коэффициента запаса надежности, то есть
, (4.6)
Если насадка огнепреградителя состоит из гранулированных тел (зерен гравия, стеклянных или фарфоровых шариков, колец), приходится от вычисленного размера, канала переходить к размеру гранулы. Диаметр каналов (пор), образующихся в слое насадки из одинаковых по размеру гранул, по форме близких к шарообразным частицам, принимают равным 0,25...0,36 величины диаметра шарика, откуда
, (4.7)
где drp - диаметр гранулы.
5.Порядок определения вышедшего из аппарата вещества
§5.1 Характеристика аварийной ситуации
Технологическое оборудование и осуществляемые в нем технологические процессы разрабатываются таким образом, чтобы при нормальных условиях эксплуатации опасность не возникала. Однако аварийные ситуации имеют место. Под «аварией» понимают выход из строя, повреждение какого-либо аппарата, машины и т. п. во время работы, движения. В большинстве случаев аварии, независимо от их характера, являются следствием ошибок, допущенных на стадиях разработки, проектирования, изготовления, монтажа, эксплуатации, обслуживания и ремонта производственного оборудования.
По каждой предполагаемой аварии из предварительного перечня, составленного для машины или аппарата, выясняют причину повреждения; степень повреждения (локальное повреждение, полное разрушение); расход и длительность утечки (в том числе общее количество вышедшего вещества); размер наружной опасной зоны (в результате рассеивания газа, растекания и испарения жидкости); условия воспламенения и характер первичного очага пожара.
Каждая авария связана либо с локальным повреждением технологического оборудования, либо с полным разрушением аппарата.
Аварии и повреждения оборудования с горючими веществами обычно приводят к вспышкам, взрывам и пожарам на производствах.
В данной главе рассматриваются общие для всех аварий (то есть не зависящие от места и причины) методы определения расхода и длительности утечек, количества вышедшего вещества, динамика образования и роста размера наружной опасной зоны.
§5.2. Локальное и полное определение вышедшего из аппаратов
вещества
Локальные утечки, то есть количество вещества, выходящего наружу из поврежденного аппарата, можно определить по формуле
, (5.1)
где а - коэффициент расхода (допускается применять 0,7);
f - площадь отверстия, через которое происходит истечение (м2);
υ- постоянная или средняя скорость истечения вещества (м2);
р – плотность вещества при истечении (кг/м3);
τ - длительность истечения или время до ликвидации аварии (с).
Площадь поврежденного участка (отверстия) f определяют с учетом причин и характера повреждения и конструктивных особенностей оборудования.
Длительность истечения вещества из поврежденного аппарата τ складывается из времени от начала истечения до момента обнаружения повреждения τ1 , длительности операций по прекращению, утечки τ2 (закрытие задвижек, установка заглушек и т. п.) и длительности остаточного истечения τ3 , т. е.
τ=τ1+τ2+τ3 (5.2)
Следует отметить, что величина каждого отрезка времени зависит от многих факторов. Так, время обнаружения повреждения и начала утечки τ1 зависит от характера и степени повреждения, числа и расположения рабочих мест обслуживающего персонала на производственном участке и в пункте управления производством наличия стационарных средств контроля за технологическим процессом, чувствительности этих средств к отклонениям от норм технологического режима. При значительных повреждениях в большинстве случаев период обнаружения повреждения можно принимать равным нулю.
Длительность операций по прекращению утечки τ2 зависит от числа питающих трубопроводов, числа, расположения, вида привода и длительности срабатывания отключающих задвижек, а также численности обслуживающего персонала, его подготовленности к ликвидации аварийной ситуации. При повреждении сложных технологических установок с жесткими технологическими связями следует учитывать время отключения всех взаимосвязанных блоков и узлов установки. Это время может измеряться часами. В простейших случаях время отключения оборудования принимают равным 15 мин при ручных операциях и 2 мин при автоматических.
Длительность остаточного истечения τ3 зависит от объема отсекаемого оборудования, его рабочих параметров к моменту отключения и параметров самого истечения. Длительность этого периода определяется гидродинамическим расчетом.
Скорость истечения вещества. Мгновенную скорость истечения жидкости через отверстие определяют по формуле
, (5.3)
где g - ускорение силы тяжести (9,8 м/с);
Н – приведенный напор жидкости (м).
Если истечение происходит из емкости только под давлением столба жидкости (рис. 5.1, а), то Н определяется разностью отметок от уровня жидкости до места повреждения, т. е.
Н=НЖ , (5.4)
Если аппарат работает под избыточным давлением (рис. 3.1,6), то
, (5.5)
где р - рабочее избыточное давление в аппарате (Па);
ρж - плотность жидкости при рабочей температуре (Па).
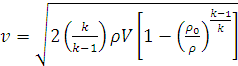
Скорость истечения газа. Истечение газа или пара под давлением через отверстия сопровождается их политропическим расширением и происходит со звуковой или дозвуковой скоростью в зависимости от соотношения, давления окружающей среды ρ0 куда происходит истечение, и давления ρ в аппарате. Границу между двумя режимами истечения (критическим и докритическим) обозначает критическое давление ρкр, определяемое соотношением
, (5.6)
где k - показатель адиабаты.
Рис. 5.1. Истечение жидкости при локальном повреждении аппарата: а - при атмосферном давлении в аппарате; б - при избыточном давлении в аппарате
Критическое отношение v для одноатомных газов равно 0,489, для двухатомных 0,528, для многоатомных 0,548.
Если ρ0<ρкр, истечение будет с дозвуковой (докритической) скоростью, определяемой по формуле
, (5.7)
где V - удельный объем газа при условиях истечения (м3/кг);
ρ0 – атмосферное давление (Па).
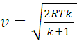
Если ρ0>ρкр, истечение будет происходить со звуковой (критической) скоростью, определяемой по формуле
, (5.8)
Заменяя ρV на RT (по уравнению Клапейрона), получим:
, (5.9)
где R - газовая постоянная;
Т - температура газа в аппарате.
Последняя формула может быть упрощена. Для двухатомных газов
; для многоатомных газов
.
При полном разрушении аппаратов общее количество, горючего вещества (газа или жидкости) определяется по формуле
Gоб=Gап+Gтр , (5.10)
где Gап – количество веществ, находящегося в аппарате к моменту разрушения;
Gтр - количество веществ, подаваемого к аппарату через трубопроводы до момента их отключения.
Количество вещества в аппарате к моменту разрушения определяется исходя из емкости и степени заполнения аппарата. Количество вещества, поступающего к аварийному аппарату по трубопроводам, зависит от их размеров и расхода вещества в трубопроводах, способа обнаружения аварии и отключения трубопроводов.
Площадь растекания жидкости при авариях аппаратов и трубопроводов зависит от количества излившейся жидкости, ее вязкости, температуры, интенсивности излива, высоты падения струи, уклона площадки или пола и других факторов.
Площадь растекания горючих жидкостей F (м3) определяется по формуле
, (5.11)
где α- угол смачивания поверхности пола разливаемой жидкостью;
g - ускорение силы тяжести (9.8 м/с);
ρ - плотность жидкости (Па);
σ- коэффициент поверхностного натяжения горючей жидкости (Па/с);
Кп –коэффициент учитывающий состояние поверхности.
Приняв для идеальной поверхности стекла Кп = 1,0, экспериментально нашли: для метлахской плитки Кп=0,9; для грунта Кп=0,9; для железобетонной плиты - 1,1; для асфальта - 1,1; для бетона (с наполнителем из мраморной крошки) - 0,5.
Для практической оценки можно использовать значения удельной площади, на растекание приведенные в НПБ 105-03 «Определение категорий помещений, зданий и наружных установок по взрывопожарной и пожарной опасности». В случае выхода горючей жидкости в производственных помещениях, площадь определяется из условия, что один литр смесей и растворов, содержащих 70% и менее по массе растворителей, разливается на площадь равную 0,5 м2. А остальные жидкости на 1 м2 пола помещения в случае выхода горючей жидкости на открытую площадку.
6. Порядок определение категорий помещений
§6.1 "Определение категорий помещений, зданий и наружных установок по взрывопожарной и пожарной опасности" (НПБ 105-03)
Категория помещения определяется по НПБ 105-03 "Определение категорий помещений, зданий и наружных установок по взрывопожарной и пожарной опасности", введенных в действия с 1 августа 2003г.
Настоящие нормы устанавливают методику определения категорий помещений и зданий (или частей зданий между противопожарными стенами - пожарных отсеков) производственного и складского назначения по взрывопожарной и пожарной опасности в зависимости от количества и пожаровзрывоопасных свойств находящихся (обращающихся) в них веществ и материалов с учетом особенностей технологических процессов размещенных в них производств, а также методику определения категорий наружных установок производственного и складского назначения по пожарной опасности.
Методика определения категорий помещений и зданий по взрывопожарной и пожарной опасности должна использоваться в проектно-сметной и эксплуатационной документации на здания, помещения и наружные установки.
















