4357 (600156)
Текст из файла
«Токсины в пищевых продуктах: методы идентификации»
СОДЕРЖАНИЕ
Введение
Глава 1. Общие сведения о токсинах
1.1 Микотоксины
Глава 2. Методы идентификации токсинов
Глава 3. Современное оборудование
Заключение
Литература
ВВЕДЕНИЕ
Проблема пищи всегда была одной из самых важных проблем, стоящих перед человеческим обществом. Все кроме кислорода человек, получает для своей жизнедеятельности из пищи. Среднее потребление ее в сутки составляет около 800 г (без воды) и около 2000 г воды.
Правильная организация питания требует знания, хотя бы в самом общем виде, химического состава пищевого сырья и готовых продуктов питания, представлений о способах их получения, о превращениях, которые происходят при их получении и при кулинарной обработке продуктов питания.
Все пищевые вещества полезны здоровому организму в оптимальных количествах и оптимальном соотношении. Но в пище всегда имеются микрокомпоненты, которые в относительно повышенных количествах вызывают неблагоприятный эффект. К ним относят, во-первых, так называемые токсиканты – натуральные, присущие данному виду продукта биологически активные вещества, которые могут при определенных условиях потребления вызвать токсический эффект, во – вторых, «загрязнители»- токсичные вещества, поступающие в пищу из окружающей среды вследствие нарушения технологии выращивания (кормление - для животных), производство или хранение продуктов или других причин.
Суть моей курсовой работы, заключается в определении токсинов в пищевых продуктах. В настоящее время токсины являются главной проблемой человечества. Последствия отравления токсинами являются очень опасными, они могут доходить вплоть до летального исхода. Рассмотрим некоторых представителей токсинов более подробно.
ГЛАВА 1. ОБЩИЕ СВЕДЕНИЯ О ТОКСИНАХ
Токсины (от греческого toxikоn - яд), вещества бактериального, растительного или животного происхождения, способные угнетать физиологические функции, что приводит к заболеванию или гибели животных и человека. Токсины при попадании в организм вызывают образование антител. (Молекулярная масса токсина свыше 4-5 тыс.; низкомолекулярные вещества не иммуногены.) Токсины входят в состав ядов змей, скорпионов, пауков и др. ядовитых животных, ряда ядовитых растений.
Наиболее распространенные и изученные бактериальные токсины (их известно несколько сотен) подразделяются на экзотоксины и эндотоксины. Экзотоксины выделяются бактериями в процессе их жизнедеятельности в окружающую среду и обладают специфическим действием на организм (к таким токсинам относятся нейротоксины, цитотоксины). Некоторые микроорганизмы выделяют очень сильные токсины, вызывающие ботулизм, столбняк, дифтерию, пищевые токсикоинфекции и др. Эндотоксины высвобождаются после гибели бактерий и представляют собой нормальные продукты их метаболизма (например, ферменты). Такие токсины нарушают у животных и человека обмен аминов биогенных.
Токсины бактерий были открыты в 1888 французским ученым Э. Руи швейцарским ученым А. Йерсеном, получившими название токсины дифтерийной палочки. Этим открытием они создали предпосылки для разработки методов обезвреживания токсинов, а не уничтожения продуцирующих их микроорганизмов. Успешная попытка применения антитоксинов (антител) была предпринята немецким бактериологом Э. Берингом в 1890, установившим, что сыворотка крови животных, иммунизированных сублетальными дозами. Токсины, обладает профилактическими и лечебными свойствами.
В 1924 французский ученый Г. Рамон предложил обезвреживать токсины (с сохранением их иммунных свойств) обработкой формалином, в результате чего образуется неядовитое производное токсина - анатоксин, который при введении в организм способствует выработке иммунитета к соответствующему токсину. В конце 50-х гг. 20 в. с развитием химии и методов их очистки и идентификации появилась возможность не только избирательно модифицировать токсины, но и отделять полученные анатоксины от не прореагировавших исходных токсинов.
Токсины различают и по типу действия на организм. Нейротоксины действуют на различные этапы передачи нервного импульса. Так, некоторые бактериальные токсины нарушают проводимость нервных волокон. Тайпотоксин и b-бунгаротоксин действуют на пресинаптическую мембрану, подавляя выделение медиатора ацетилхолина, кобротоксин и др. Токсины этого класса (их известно несколько десятков; для 30 из них установлена аминокислотная последовательность) блокируют ацетилхолиновый рецептор постсинаптической мембраны. Цитотоксины обладают высокой поверхностной активностью и разрушают биологические мембраны. Такие токсины часто встречаются в ядах змей; по строению они близки нейротоксинам змей, но отличаются от них функционально важными аминокислотами. Цитотоксины могут вызывать лизис (разрушение) клеток крови. Токсины-ингибиторы подавляют активность определенных ферментов и нарушают таким образом процессы обмена веществ. Токсины-ферменты (протеазы, нуклеазы, гиалуронидазы, фосфолипазы и др.) разрушают (гидролизуют) важные компоненты организма - нуклеиновые кислоты, полисахариды, липиды и др. Применение токсинов ограничено получением из них анатоксинов; нейротоксины используют в качестве избирательно действующих агентов при электрофизиологических и клинических исследованиях механизмов передачи возбуждения в нервной системе. Часто термин "Токсины" неправильно распространяют на природные небелковые вещества, нарушающие те или иные функции организма.
Пищевые токсины. Следующую группу токсинов составляют пищевые токсины. Многие люди даже не подозревают, насколько вредным может оказаться неправильное питание, зашлаковывающие организм. Если спиртные напитки мы пьем далеко не каждый день, то пищу мы употребляем ежедневно. То есть и вредные вещества мы употребляем ежедневно. Недаром древняя пословица гласит: «Я есть то, что я ем». В целом ряде случаев нежелательными для организма продуктами оказываются сладости, мучные изделия, жаренная и жирная пища. Вредными или атерогенными являются избыточные животные жиры: сало, сливочное масло, домашняя сметана, а также кокосовое масло, поскольку они способствуют отложению холестериновых бляшек на стенках сосудов.
Существует точка зрения, что организм человека плохо приспособлен к перевариванию мяса, особенно такого, как свинина, баранина. Еще более тяжелой, чем мясо, пищей являются мясные и куриные, рыбные бульоны (которыми принято кормить тяжело больных), а также излюбленные всеми во время праздничных застолий холодцы и заливные. Продукты, образующиеся в организме после употребления мяса и мясных бульонов, вызывают гниение и брожение в кишечнике, что способствует повышению кислотности организма. Все окислительно-восстановительные процессы и функционирование клеток здорового организма протекают нормально в среде со слабощелочной реакцией, что соответствует величине рН=7,2-7,4 (такую же величину имеют наша кровь, межклеточная жидкость, лимфа, слюна). Кислая среда – почва для развития множества болезней, в том числе аллергических, почва для преждевременного старения организма. Созданию щелочной среды в организме способствует употребление растительной пищи с сыром виде, сухофруктов, а также ежедневное употребление воды "Алка-Майн". Большая часть продуктов, которые мы сегодня покупаем в супермаркетах не соответствует требованиям качества и относится к группе генетически модифицированных продуктов (ГМ - продукты).1-4
Одна из разновидностей токсинов – митотоксины. Рассмотрим их более подробно.
1.1 Микотоксины
Микотоксины - от греч. mykes-гриб и toxikon-яд, токсичные продукты жизнедеятельности микроскопических (плесневых) грибов.
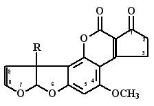
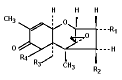
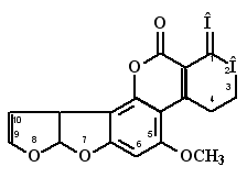
Известно более 250 видов грибов, продуцирующих несколько сотен микотоксинов. Многие из них обладают мутагенными (в том числе канцерогенными) свойствами. Среди микотоксинов, представляющих опасность для здоровья человека и животных, наиболее распространены афлатоксины (формула I и II), трихотеценовые микотоксины, или трихотецены (III-IV), охратоксины (V), патулин (VI), зеараленон и зеараленол (VII). Большинство микотоксинов – кристаллические вещества (см. таблицу), термически стабильны, хорошо растворимые в органических растворителях. Микотоксины (за исключением охратоксинов) достаточно устойчивы к действию кислот, разрушаются щелочами с образованием нетоксичных или малотоксичных соединений. Биосинтез микротоксинов включает обычно стадию конденсации 1 молекулы ацетил-кофермента А с тремя и более молекулами малонил-кофермента А.
|
| Группа I Афлатоксин В1: R=H Mолекулярная масса – 312 Афлатоксин В2: R=H, положение 8 и 9 гидрированы Mолекулярная масса – 314 Афлатоксин М1: R=OH Mолекулярная масса – 328 |
|
| Группа II Афлатоксин G1 Mолекулярная масса – 328 Афлатоксин G2: положения 9 и 10 гидрированы Mолекулярная масса – 330 |
|
| Группа III Токсин T-2: R1=OH, R2=R3=OAc, R4=H, R5=OCOCH2CH(CH3)2 Mолекулярная масса – 424 Токсин HT-2: R1=R2=OH, R3=OAc, R4=H, R5=OCOCH2CH(CH3)2 Mолекулярная масса – 466 Диацетоксискирпенол (ДАЗ): R1=OH, R2=R3=OAc, R4=H, R5=CH2 Mолекулярная масса – 366 |
|
| Группа IV Нивеленол: R1=R2=R3=R4=OH Mолекулярная масса – 312 Дезоксиниваленол (ДОН): R1=R3=R4=OH, R2=Н Mолекулярная масса – 296 3-ацетил-дезоксиниваленол: R1=OAc, R2=Н, R3=R4=OH Mолекулярная масса – 338 15-ацетил-дезоксиниваленол: R1=R4=OH, R2=Н, R3=OAc Mолекулярная масса – 338 Фузаренон: R1=R3=R4= OH, R2=OAc Mолекулярная масса – 354 |
|
| Группа V Охратоксин А: R=H, R1=Cl Mолекулярная масса – 403 Охратоксин B: R=H, R1=H Mолекулярная масса – 369 Охратоксин C: R=Cl, R1=C2H5 Mолекулярная масса – 431 |
|
| Группа VI Патулин Mолекулярная масса – 153 |
|
| Группа VII Зеараленон: X= CO Mолекулярная масса – 318 Зеараленол: X= CHOH Mолекулярная масса – 312 |
Основные физико-химические свойства некоторых микотоксинов
| Микотоксин | Мол. масса | t пл., °С | λ макс, нм * | Флуоресценция, цвет, нм * |
| Афлатоксин B1 | 312 | 268-269 | 265,362 | голубой, 425 |
| Афлатоксин G1 | 328 | 244-246 | - | зелёный, 450 |
| Афлатоксин M1 | 328 | 299 | 265,357 | голубой, 425 |
| Токсин Т-2 | 466 | 150-151 | - ** | - |
| Диацетоксискирпенол | 366 | 162-164 | - | - |
| Дезоксиниваленол | 296 | 151-153 | 218 | - |
| Ниваленол | 312 | 222-223 | 218 | - |
| Зеараленон | 318 | 164-165 | 236,274,316 | сине-зелёный |
| Патулин | 153 | 105-108 | 276 | - |
| Охратоксин А | 403 | 169 | 213,332 | зелёный, 475 |
| Охратоксин В | 369 | 221 | 218,318 | голубой |
* - Растворитель метанол.
** - Отсутствие поглощения в УФ спектре или флуоресценции.
Афлатоксины. В эту группу входят более 15 микотоксинов, которые продуцируются грибами Aspergillus flavus и Aspergillus раrasiticus. Основные загрязнители (главным образом токсин В) пищевых продуктов. Высокой токсичностью обладают афлатоксины В1, В2, G1 и G2 (для афлатоксина B1 ЛД50 7,8 мг/кг, макаки, перорально). Афлатоксины – сильные мутагены (в т.ч. гепатоканцерогены), обладают также тератогенным и иммунодепрессивным действием. Токсичное действие обусловлено их взаимодействием с нуклеофильными участками ДНК, РНК и белков.
Характеристики
Тип файла документ
Документы такого типа открываются такими программами, как Microsoft Office Word на компьютерах Windows, Apple Pages на компьютерах Mac, Open Office - бесплатная альтернатива на различных платформах, в том числе Linux. Наиболее простым и современным решением будут Google документы, так как открываются онлайн без скачивания прямо в браузере на любой платформе. Существуют российские качественные аналоги, например от Яндекса.
Будьте внимательны на мобильных устройствах, так как там используются упрощённый функционал даже в официальном приложении от Microsoft, поэтому для просмотра скачивайте PDF-версию. А если нужно редактировать файл, то используйте оригинальный файл.
Файлы такого типа обычно разбиты на страницы, а текст может быть форматированным (жирный, курсив, выбор шрифта, таблицы и т.п.), а также в него можно добавлять изображения. Формат идеально подходит для рефератов, докладов и РПЗ курсовых проектов, которые необходимо распечатать. Кстати перед печатью также сохраняйте файл в PDF, так как принтер может начудить со шрифтами.
















