160770 (599071), страница 16
Текст из файла (страница 16)
Глава 7. ОСНОВЫ ИНВЕСТИЦИОННО-ИПОТЕЧНОГО АНАЛИЗА
7.1. Влияние финансового левереджа
По мере развития институтов финансирования и роста доступности кредитов все большее число инвесторов привлекают заемные средства в развитие инвестиционных проектов, связанных с недвижимостью. Если обеспечением долгосрочного долгового обязательства выступает в качестве залога инвестируемый актив заемщика, то такой кредит называется ипотечным. Именно такая форма кредитования наиболее типична для сделок, связанных с передачей прав на недвижимость, и наиболее предпочтительна из-за минимизации рисков для кредиторов. Интерес к использованию заемного капитала наряду с уменьшением риска вложений вызван и рядом других экономических причин.
Основная из них заключается в том, что при определенных условиях использование кредита увеличивает доходы его получателя, так как прибыль, заработанная с помощью этих средств, в размере, превышающем уплаченные проценты, увеличивает собственный капитал инвестора, если отдача на весь инвестированный капитал превышает стоимость заемных средств. В этом и заключается эффект финансового левереджа (рычага), который обычно определяют как использование заемных средств для реализации инвестиционного проекта.
Помимо использования финансового левереджа заемный капитал создает еще ряд существенных преимуществ для инвестора: увеличение стоимости всего инвестированного актива за время его использования увеличивает собственный капитал владельца; доля кредита, самортизированная за инвестиционный период, реализуется как прибавление к собственному капиталу при перепродаже недвижимости; привлечение заемного капитала позволяет инвестору размещать свои ограниченные средства в несколько проектов. Следовательно, оценщик должен учитывать, что инвестор рассматривает доходную недвижимость как финансовый актив, объединяющий собственные и заемные средства и служащий источником увеличения собственного капитала.
Положительное или отрицательное влияние заемных средств, а также интенсивность этого влияния определяются соотношением между ставками дохода на весь инвестируемый и заемный капитал. Эффективность этого влияния (как бы плечо рычага) определяется отношением величины заемного капитала ко всей сумме вложенных средств, т. е. коэффициентом ипотечной задолженности.
Рассмотрим влияние рычага на доходность собственного капитала с помощью метода инвестиционной группы, используя в качестве показателя доходности норму отдачи на собственный капитал:
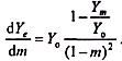
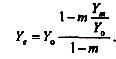
Y0=mYm+(1-m)Yе,
где т — коэффициент ипотечной задолженности;
Ym — норма отдачи на заемный капитал;
Ye — норма отдачи на собственный капитал.
Запишем эту задолженность в виде
Приведенное выражение показывает, как изменяется норма отдачи на собственный капитал от доли задолженности т при определенных значениях Ym /Yo. Его графическая интерпретация представлена на рис. 8.1.
Точки на оси ординат показывают отдачу на всю сумму инвестиций (и соответствии с денежными потоками до уплаты процентов за кредит) для трех вариантов инвестирования.
Интенсивность влияния левереджа можно записать через производную отдачи на собственный капитал Ye от доли заемных средств т:
Это выражение показывает, что если отдача на заемный капитал больше отдачи на всю сумму инвестиций, т. е.Ym /Yo > 1 , то выражение для Ye имеет отрицательную производную, или отдача на собственный капитал уменьшается с увеличением доли заемных средств (отрицательный левередж), что и показано на примере (вариант 3).
Интенсивность влияния левереджа ΔYe/Δm тем выше при зафиксированном значении т, чем больше разница между отдачей на весь капитал Y0 и отдачей на заемные средства Ym или чем меньше отношение Ym /Yo.Таким образом, в варианте 1 левередж более эффективен и с увеличением коэффициента ипотечной задолженности т, но эффективность нарастает большими темпами, чем в варианте 2. При стремлении отношения Ym /Yo к единице отдача на собственный капитал приближается к общей отдаче Y0 и становится равной ей. Область значений Ym /Yo < 1— область положительного влияния левереджа, при Ym /Yo > 1— область отрицательного влияния левереджа.
Рис. 8.1. Зависимость отдачи на собственный капитал от коэффициента ипотечной задолженности
В области отрицательного финансового рычага с увеличением доли заемного капитала отдача на собственный капитал уменьшается и после того, как m=Yo/Ym, становится отрицательной. В этом случае дефицит в обслуживании долга компенсируется за счет собственного капитала или сторонних источников. Возможность наступления такой ситуации (т. е. когда текущая отдача на весь капитал вдруг становится меньше ставок процента) представляет собой один из наиболее значимых рисков для инвестора. Последнему необходимо очень тщательно согласовывать коэффициент ипотечной задолженности и соотношение Ym/Yo, имея в виду возможные колебания дохода и эксплуатационных расходов, чтобы свести этот риск к минимуму.
7.2. Виды кредитов и залоговое законодательство
В настоящее время существует множество схем ипотечного кредитования, которые отличаются в основном по условиям получения кредитов, схемам процентных платежей и амортизации основной суммы долга. В России в настоящее время ипотечное кредитование весьма ограниченно, сами кредиты очень дороги, а долгосрочные кредиты практически отсутствуют. В основном это связано со значительными рисками, которыми обременен российский рынок недвижимости, и отсутствием частной собственности на землю, которая является основной составляющей залога недвижимости. Кроме того, пока нет и закона об ипотечном кредитовании.
Однако нет сомнений, что в ближайшем будущем институт ипотечного кредитования неизбежно обретет цивилизованные формы. Следовательно, аналитики, работающие в области оценки инвестиционных проектов, связанных с недвижимостью, должны хорошо ориентироваться в формах ипотечного кредитовании, схемах выполнения заемных обязательств инвесторов и влиянии этих факторов на цену инвестируемых объектов.
Наиболее распространены следующие виды кредитов:
-
с шаровым платежом;
-
самоамортизирующиеся;
-
с переменной ставкой процента;
-
канадский ролл-овер;
-
завершающая ипотека;
-
совместное участие;
-
кредит с дисконтными пунктами.
Кредиты с шаровым платежом предусматривают платеж и процент к основной сумме долга в конце срока кредита. Бывают промежуточные варианты, например периодические выплаты процентов и погашение суммы долга в конце кредитного периода. Шаровые кредиты наиболее характерны для инвесторов, которые стремятся минимизировать расходы за время развития проекта и в конце этого срока выполняют долговые обязательства после продажи своих активов.
Самоамортизирующийся кредит предусматривает равновеликие периодические платежи, включающие падающие по мере амортизации долга процентные платежи и растущие платежи по амортизации кредита. Эти кредиты выдаются в размере, составляющем часть стоимости недвижимости, в основном в зависимости от представлений кредитора о ликвидности инвестируемого актива. Самоамортизирующийся ипотечный кредит наиболее удобен при анализе структуры инвестиций и экономических характеристик доходной недвижимости, поэтому в дальнейшем при рассмотрении методов ипотечно-инвестиционного анализа будем использовать кредит именно этого типа.
Кредит с переменной ставкой процента обычно применяется, когда инвесторы и кредиторы стремятся учесть быстро изменяющуюся ценовую ситуацию на рынке капиталов и ресурсов. При этом процентная ставка может изменяться или непосредственно, или через изменение размеров платежей или сроков амортизации.
Канадский ролл-овер — форма кредита с переменной ставкой, когда корректировка процентной ставки происходит через заранее установленные временные интервалы (обычно несколько лет).
Завершающая ипотека предоставляется третьей стороной или владельцем первой закладной, образуя при этом младшую закладную. Владелец завершающего залогового права берет на себя обязательства по остатку первого кредита, требуя более высоких процентных платежей с суммы завершающего кредита, включающей остаток старого и собственный кредит. Таким образом, новый кредитор использует финансовый рычаг для собственного кредита.
Совместное участие — в этом случае кредитор участвует в распределении прибыли от дохода и (или) увеличения стоимости активов помимо процентных платежей, предоставляя кредит под более льготный процент.
Кредит с дисконтными пунктами означает, что заемщик реально получает сумму меньшую, чем та, которая указана в кредитном соглашении. Однако процентные и амортизационные платежи должны выплачиваться со всей долговой суммы. Инвестор соглашается на скидку с суммы кредита взамен низкого процента, в то время как кредитор, предоставляя кредит а скидкой, увеличивает конечную отдачу относительно реального займа. Скидка с договорной суммы измеряется в дисконтных пунктах. Один дисконтный пункт равен одному проценту контрактной долговой суммы.
На практике применяются еще несколько видов ипотечного кредита, но все они являются модификациями вышеуказанных.
Анализ ипотечных обязательств как составной части инвестиционного проекта создает необходимую базу для определения денежных потоков, текущей стоимости активов и собственного капитала. Оценщику необходимо знать текущие интересы и предпочтения собственников и кредиторов, а также сложившиеся условия на рынке капиталов, чтобы грамотно скорректировать номинальную стоимость заемных обязательств как составной части текущей стоимости собственности.
Анализируя недвижимость как объект финансирования, оценщик должен хорошо ориентироваться в законодательстве, в частности знать, подлежит ли данная недвижимость воздействию таких прав, как право отчуждения, право оборота и право быть предметом ипотечного кредитования.
Ниже излагаются основные положения проекта Федерального закона "Об ипотеке (залог недвижимости)", на которые целесообразно ориентироваться практикующему оценщику недвижимости
• Основание возникновения ипотеки — договор о залоге не движимого имущества (договор об ипотеке), по которому залогодержатель, являющийся кредитором по заемному обязательству, обеспеченному ипотекой, имеет право на обеспечение своих денежных требований из стоимости заложенного недвижимого имущества залогодателя.
-
Право залога распространяется на земельные участки, предприятия, здания, сооружения, квартиры и другое недвижимое имущество в пределах, установленных федеральными законами.
-
Предметом ипотеки может являться недвижимое имущество, права па которое подлежат государственной регистрации:
-
земельные участки;
-
предприятия, а также здания, сооружения и иное недвижимое имущество, используемое в предпринимательской деятельности;
-
жилые дома, квартиры и части жилых домов и квартир, состоящие из одной или нескольких изолированных комнат;
-
дачи, садовые дома, гаражи и другие строения потребительского назначения;
-
воздушные и морские суда, суда внутреннего плавания и космические объекты.
• Правом залога может быть обременено имущество, которое принадлежит залогодателю на правах собственности или на праве хозяйственного ведения.
• Не может стать предметом ипотечного договора недвижимое имущество, относительно которого по федеральному законодательству запрещено обращение взыскания, не предусмотрена обязательная приватизация либо приватизация запрещена.
-
Договор об ипотеке должен содержать результат оценки имущества, который определяется по соглашению залогодателя с залогодержателем.
-
Стоимость земельного участка не может быть определена ниже его нормативной базы.
-
Субъекты договора об ипотеке при оценке объекта залога могут воспользоваться услугами независимой профессиональной организации.
-
Ипотека подлежит государственной регистрации органами юстиции в едином государственном реестре прав на недвижимое имущество и сделок с ним.
-
Возможно отчуждение недвижимости, заложенной по ипотечному договору, залогодателем другому лицу в результате "продажи, дарения, обмена, внесения его в качестве вклада в хозяйственное товарищество или общество либо взноса в производственный кооператив или иным способом лишь с согласия залогодержателя, если иное не предусмотрено договором об ипотеке".
-
Возможно заключение другого ипотечного обязательства (последующая ипотека) относительно имущества, уже предназначенного по договору об ипотеке в обеспечение предыдущего обязательства (предшествующая ипотека), если это не запрещено предшествующей ипотекой. Последующая ипотека по допускается, если предшествующая удостоверена закладной.
-
Удовлетворение требований залогодержателя по предшествующей ипотеке имеет приоритет перед удовлетворением требований залогодержателя по последующей ипотеке.
-
Права по ипотечному договору, если он не удостоверен закладной, могут быть проданы залогодержателем другому лицу, если это не запрещено договором. Лицо, которому переданы права по ипотечному договору, получает и права по основному обязательству, обеспеченному ипотекой.
-
Закладная может быть передана другому лицу с передачей прав по обеспеченному ипотекой обязательству, а также заложена другому лицу в соответствии с обязательством по кредитному договору между этим лицом и залогодержателем.
-
В решении суда об обращении взыскания на заложенное по ипотеке имущество должна быть указана начальная продажная цена имущества для его реализации на публичных торгах.
-
По договору об ипотеке могут быть заложены земельные участки, находящиеся в собственности граждан и юридических лиц.
-
Могут быть заложены по договору об ипотеке земельные участки, находящиеся в государственной или муниципальной собственности, кроме земель общего пользования, охраняемых территорий, участков, на которых запрещено строительство, территорий с особыми условиями использования и участков, ипотека которых не допускается федеральным законодательством.
-
Ипотечный договор относительно предприятия, здания или сооружения возможен только совместно с земельным участком, на котором эти объекты находятся, или с функционально необходимой частью этого участка или правом аренды этого участка. Право постоянного пользования земельным участком залогу не подлежит, а передается при обращении взыскания на недвижимость, находящуюся на этом участке.
-
Оценка активов предприятия обязательна и является приложением к договору об ипотеке предприятия или части его имущественного комплекса.
-
Ипотека индивидуальных и многоквартирных жилых домов и квартир допускается, если они находятся в частной собственности, и не допускается, если эти объекты находятся в государственной или муниципальной собственности.
7.3. Методы инвестиционно-ипотечного анализа
















