160770 (599071), страница 15
Текст из файла (страница 15)
Ставка капитализации для здания Rb = 0,15 + 0,033 - 0,183
Стоимость здания 17500/0,183 - 95628
Стоимость недвижимости 5000 + 95628 = 100628
6.8. Второй метод капитализации
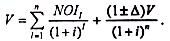
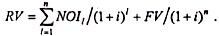
Анализ дисконтированного денежного потока DCFA предполагает использование операции дисконтирования как способа капитализации ожидаемых будущих доходов в стоимость. Расчет текущей стоимости выглядит (как было показано в п. 7.3) следующим образом:
По сравнению с прямой капитализацией, где используются одномоментные параметры, этот метод при определенных условиях более предпочтителен, так как требует учета и анализа показателей дохода и капитала за весь инвестиционный период.
Применение DCF-метода требует знания:
• величины и динамики будущих доходов;
-
времени получения этих доходов;
-
величины стоимости актива или изменения стоимости в конце инвестиционного периода (спрогнозированного времени владения активом);
-
значения ставки дохода на капиталовложения (ставки дисконтирования, нормы прибыли);
-
уровня риска, характерного для инвестирования подобных активов.
Динамика будущих доходов определяется на основе данных о текущих доходах и ретроспективной информации о доходах и влияющих на них рыночных факторах. В итоге оценщик должен определить тенденции в изменении будущих доходов за спланированный им прогнозный период. Обычно прогноз заключается в определении годового темпа изменения дохода относительно текущего значения. Ошибка в прогнозе дохода тем более значима, чем короче период владения. То же самое относится и к прогнозу относительно возможной цены продажи в конце периода владения: чем длительнее этот период, тем эта ошибка меньше влияет па величину текущей стоимости.
На российском рынке недвижимости еще не сложились, условия для корректной оценки типичного периода владения, т. е. нет данных для определения временных предпочтений инвесторов. Кроме того, политическая и экономическая нестабильность значительно сокращает возможность длительных прогнозов. Исходя из потребностей метода и условий его применения среди российских оценщиков сложилась практика оценивать период владения в диапазоне 3-5 лет.
При прогнозе цены продажи в конце периода владения редко представляется возможность определить абсолютное значение этой величины. Естественно определять относительное изменение стоимости, опираясь на выявленные тенденции изменения ценообразующих факторов, т. е. цена перепродажи определяется как (1 ± Δ)V, где Δ — долевое изменение стоимости за период владения, а V— первоначальная (текущая) стоимость. Тогда
Определить цену будущей продажи можно также, используя метод прямой капитализации, применяя ставку капитализации к доходу, следующему после периода владения.
ПРИМЕР 11
Недвижимое имущество приносит чистый операционный доход за первый год, равный 20 000 долл. Определить возможную цену продажи в конце 5-летнего периода исходя из темпа роста дохода на 5% в год и ставки капитализации для реверсии, равной 20%.
Для получения стоимости в конце 5-го года нужно доход за 6-й год разделить на ставку капитализации (доходы в конце года):
NOI6 = 20 000 (1 + 0,05)5 = 25 526;
FV= 25 526/0,2 = 127 630долл.
Применимость этого способа оценки величины реверсии ограничивается возможностью прогноза ставки капитализации. При прогнозировании будущей стоимости следует учитывать фактор физического разделения недвижимости: земля и улучшения. Земля не подвержена износу, и, как правило, со временем ее стоимость или растет, или не изменяется, если система землепользования рациональна, а земля используется наиболее эффективным образом. Для строений, помимо всех прочих ценообразующих факторов, наиболее существенен износ, неизбежно приводящий к потере стоимости.
Оценка инвестиционной стоимости базируется не на прогнозе значений возможных рыночных параметров, а на информации, отражающей интересы и предложения конкретного инвестора, т. е. применение метода дисконтированного денежного потока при определении инвестиционной стоимости (а также анализе инвестиционных проектов) менее проблематично, чем при определении рыночной стоимости.
Определение ставки дисконтирования ожидаемой нормы прибыли на доступные альтернативные инвестиционные возможности с сопоставимыми рисками. Определение значения этой величины представляет собой наиболее сложную проблему оценки.
В практике оценочной деятельности наиболее популярны следующие три метода расчета ставки дисконтирования: метод суммирования, метод рыночного анализа и метод инвестиционной группы.
Метод суммирования основан на сопоставлении доходности и рисков доступных альтернативных инвестиций. Инвесторы требуют более высокой премии за использование своих денежных средств в том варианте, в котором эти средства подвержены более высокому риску в части получения дохода и возврата этих средств. Повышение осознанного уровня риска выражается в увеличении ставки дисконтирования.
Суть метода заключается в прибавлении процентных составляющих (премий), отражающих дополнительные риски, присущие данному инвестиционному решению, к ставке дохода на инвестиции, которые в сравнении с другими инвестиционными инструментами считаются безрисковыми. В российской оценочной практике в качестве очищенной от риска нормы прибыли обычно используют среднюю доходность по государственным краткосрочным облигациям или по банковскому валютному депозиту.
К безрисковой (безопасной) ставке добавляются премии, в качестве которых в сделках с недвижимостью обычно рассматривают надбавки за несистематический риск (связанный с особенностями конкретной недвижимости), ликвидность и инвестиционный менеджмент (условия по управлению инвестициями в оцениваемый объект) (табл. 7.5).
Таблица 7.5
Определение ставки дисконтирования методом суммирования (в %)
| Компоненты ставки дисконтирования | Гостиница на морском побережье | Помещение, сданное в долгосрочную аренду государственному предприятию со стабильным доходом | Здание крупного бизнес-центра |
| Премия за несистематический риск | 8 | 5 | 3 |
| Премия за ликвидность | 4 | 6 | 7 |
| Премия за инвестиционный менеджмент | 6 | 3 | 8 |
| Безрисковая ставка | 9 | 9 | 9 |
| Ставка дисконтирования | 27 | 23 | 27 |
Для гостиницы высокая премия за несистематический риск отражает сезонный характер доходов, значительный возраст и конструктивные особенности здания, могущие повлечь дополнительные расходы на ремонт и реконструкцию. Для завоевавшего репутацию здания бизнес-центра среднего возраста этот риск минимален. Премия за ликвидность для бизнес-центра наибольшая ввиду того, что в данной местности офисные площади используются преимущественно на правах аренды. Низкая премия за инвестиционный менеджмент для помещения, сданного в аренду государственной организации, отражает незначительность, управленческих усилий. Для бизнес-центра эта премия, естественно, максимальна, так как такой объект требует интенсивного управления.
Метод рыночного анализа наиболее корректен, так как напрямую учитывает мнение и предпочтения инвесторов посредством опроса или анализа реальных сделок. Здесь необходимо учитывать информацию по продажам и арендным соглашениям всех сопоставимых инвестиционных объектов аналогичного назначения. При анализе требуемая ставка дисконтирования определяется как ставка конечной отдачи для сопоставимых объектов. Для выявления ставки конечной отдачи используется понятие внутренней нормы прибыли IRR — ставки дисконтирования, при которой текущая стоимость всех денежных поступлений за время развития инвестиционного проекта (период владения) равна текущей стоимости инвестиций. Следовательно, метод IRR определяет ставку дисконтирования, которая устанавливает соответствие между спрогнозированными поступлениями в виде дохода и цены перепродажи для сопоставимого объекта и размером капиталовложения (известной ценой приобретения).
ПРИМЕР 12
Оценщик выявил недавнюю продажу сопоставимого объекта за 100000 долл., что, по его мнению, отражает среднерыночную цену на подобные объекты. Оценщик также считает, что текущая величина чистого операционного дохода, приносимого недвижимостью, равная 14000 долл., сохранится в течение последующих пяти лет, а стоимость собственности увеличится на 30%. Улучшение соответствует наиболее эффективному использованию земельного участка. Требуется рассчитать IRR для данного инвестиционного сценария, которая может послужить индикатором для ставки дисконтирования применительно к объекту оценки.
100 000 = pvaf (5 лет, Y0) NOI + pvf (5 лет, Y0) 130 000 .
Уравнение решается относительно Y0 методом подбора или с помощью финансового калькулятора.
Ответ: Y0 = 18,2%.
Использование метода IRR требует осторожности в силу ряда особенностей, присущих этому показателю. Его целесообразно применять, когда во время владения отсутствуют промежуточные капиталовложения, которые приводят к смене знака денежного потока.
Метод инвестиционной группы требует определения четырех параметров: доли заемного и доли собственного капиталов в общем объеме инвестиций и требуемых ставок дохода на каждый из этих компонентов в соответствии с выражением:
Y0=mYm+(1-m)Ye.
Таким образом, ставка дисконтирования в качестве конечной отдачи определяется как средневзвешенная по долевым коэффициентам между финансовыми компонентами величина. Метод применим, когда привлечение заемного капитала для инвестиций в недвижимость типично, известны среднерыночные условия кредитных соглашений, особенно в отношении коэффициента ипотечной задолженности m и ставки процента Ym, а также известны в качестве самостоятельных показателей среднерыночные значения ставок отдачи на собственные средства инвесторов.
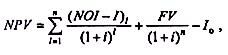
Из приведенных трех методов определения ставки дисконтирования наиболее точным является метод рыночного анализа. В двух других методах также используют рыночный подход для определения необходимых исходных параметров, а расчет требуемой ставки дисконтирования с помощью них только корректируется. Чистая текущая стоимость NPV, или чистая дисконтированная стоимость, в анализе инвестиционных проектов представляет собой алгебраическую сумму текущей стоимости всех положительных и отрицательных элементов денежного потока за инвестиционный период. В оценке NPV это разница между текущей стоимостью всего потока чистого годового дохода N01 за период владения, включая выручку от реверсии, и текущей стоимостью инвестиций — первоначального и последующих капиталовложений.
где Ii — дополнительная инвестиция в i-и период;
(NOI - I)i — i-и элемент потока денежных средств (CF);
I0— первоначальная инвестиция.
ПРИМЕР 13
В качестве примера использования NPV рассмотрим задачу на определение стоимости земельного участка в предположении, что на нем планируется офисная постройка в качестве одного из вариантов наиболее эффективного использования. Затраты на постройку офисного здания составляют 500 000 долл., из которых 300 000 долл. приходятся на начало 1-го года, 150 000 долл. — на конец 1-го и 50000 долл. — на конец 2-го гола. Предполагается, что объект недвижимости начнет приносить доход в виде чистой аренды начиная с конца 2-го года в соответствии с данными, приведенными в табл. 7.6, и будет продан через 6 лет после первоначальной инвестиции за 850 000 долл. за вычетом расходов на продажу. Ставка дисконтирования определена в 15%.
Таблица 7.6
Итоговый поток денежных средств (в долл.)
| Статья | 0 | 1 | 2 | 3 | 4 | 5 | 6 |
| Первоначальная инвестиция | (300 000) | ||||||
| Дополнительные затраты | (150000) | (50000) | |||||
| N0I | 50000 | 70000 | 100000 | 100000 | 100000 | ||
| Чистая реверсия | 850000 | ||||||
| Поток денежных средств | (300 000) | (150000) | 0 | 70000 | 100000 | 100000 | 950000 |
Стоимость земельного участка рассчитывается как разница между текущей стоимостью денежных поступлений и текущей стоимостью капиталовложений за весь период (6 лет), т. е. как текущая стоимость потока денежных средств CF.
















