144040 (598794), страница 5
Текст из файла (страница 5)
Просуммировав, правые и левые части этих равенств, получим:
откуда g, Вт/м2:
Для построения температурного поля многослойной стенки необходимо знать температуру на поверхности каждого слоя в отдельности, которая определяется из следующих очевидных равенств:
Температурное поле многослойной стенки изобразится ломаной линией.
Тепловой поток Q, Вт, через многослойную плоскую стенку определяется по формуле
Для расчета теплового потока через однослойную или многослойную цилиндрическую стенку, если толщина ее по сравнению с диаметром незначительна, можно пользоваться формулами для плоской стенки. При этом F подсчитывается как Fcv=ndcpl, где dcv — средний диаметр цилиндра между наружной и внутренней поверхностями его стенки.
Для определения величины а для различных случаев конвективного теплообмена предложено несколько эмпирических формул, имеющих, однако, ограниченную область применения. Значительно лучшие результаты дает определение величины а на основе эксперимента с использованием критериев подобия — безразмерных соотношений параметров, характеризующих физический процесс. Ниже приводятся некоторые «критерии подобия» для оп-ределения а и их краткая характеристика: критерий Нуссельта Nu ; критерий Прандтля Рг, критерий Рейнольдса Re; критерий Грасгофа Gr
Критерий Нуссельта Nu, или критерий теплоотдачи, характеризует интенсивность теплоотдачи на границе жидкость (или газ) — твердое тело и всегда является величиной искомой.
Критерий Рейнольдса Re представляет собой отношение сил инерции к силам внутреннего трения и характеризует гидродинамический режим движения жидкости. При Re <2300 движение ламинарное, при Re>l О4 — турбулентное, при 2300
Критерий Прандтля Рг характеризует физические свойства жидкости (или газа) и способность распространения теплоты в жидкости (или газе). Критерий Грасгофа Gr учитывает подъемные силы, возникающие в жидкости (или газе) вследствие разности плотностей их частиц и вызывающие так называемую свободную конвекцию.
В общем случае конвективного теплообмена критериальная зависимость имеет вид
Nu = f(Re, Gr, Pr). (2.25)
Для условий внутренних поверхностей ограждающих конструкций отапливаемых зданий критерии подобия объединяются уравнением
Nu = 0,135 (GrPr)°-333.(2.27)
Для расчета теплового потока через однослойную или многослойную цилиндрическую стенку, если толщина ее по сравнению с диаметром незначительна, можно пользоваться формулами для плоской стенки. При этом F подсчитывается как Fcv=ndcpl, где dcv — средний диаметр цилиндра между наружной и внутренней поверхностями его стенки, принимается абсолютное значение разности температур.
Контрольные вопросы
1. Что такое термическое сопротивление
2. Как изменяется температура по толщине стенки
3. Чему равно термическое сопротивление многослойной стенки
4. Как определяется тепловой поток через многослойную стенку
Рекомендуемая литература
| 1. Тихомиров К.В., Сергиенко З.С. Теплотехника, теплоснабжение и вентиляция: Учебник для вузов. – М.: Стройиздат, 1991. – 475 с., ил. |
|
|
Лекция 7
Тема: Общие сведения об отоплении и требования к системе отопления
(1 час)
План лекции
1. Классификация систем отопления
2. Теплоносители
Гигиенические исследования микроклимата помещений и того, как влияют изменения его отдельных компонентов на организм человека,
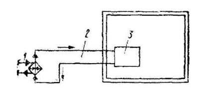
Р
исунок 3.1 - Принципиальная схема системы отопления
позволили выработать требования к системам отопления. Основные из них:
санитарно-гигиенические — обеспечение требуемых соответствующими строительными нормами и правилами температур во всех точках помещения и поддержание температур внутренних поверхностей наружных ограждений и отопительных приборов на определенном уровне;
экономические — обеспечение минимума приведенных затрат по сооружению и эксплуатации, определяемого технико-экономическим сравнением вариантов различных систем, небольшого расхода металла;
строительные — обеспечение соответствия архитектурно-планировочным и инструктивным решениям здания, увязка размещения отопительных элементов со строительными конструкциями;
монтажные — обеспечение монтажа индустриальными методами с максимальным использованием унифицированных узлов заводского изготовления при минимальном количестве типоразмеров;
эксплуатационные — простота и удобство обслуживания, управления и ремонта, надежность, безопасность и бесшумность действия;
эстетические — хорошая сочетаемость с внутренней архитектурной отделкой помещения, минимальная площадь, занимаемая системой отопления.
Все перечисленные требования важны и их необходимо учитывать при выборе системы отопления. Однако среди них можно выделить главное требование — это надежное обеспечение требуемых санитарно-гигиенических условий в течение всего срока эксплуатации зданий.
Система отопления представляет собой комплекс элементов, предназначенных для получения, переноса и передачи необходимого количества теплоты в обогреваемые помещения. Каждая система отопления (рисунок 3.1) включает в себя три основных элемента: теплогенератор, служащий для получения теплоты и передачи ее теплоносителю, системы теплопроводов 2 для транспортировки по ним теплоносителя от теплогенератора к отопи-тельным приборам и отопительных приборов 3, передающих теплоту от теплоносителя воздуху и ограждениям помещения.
Классификацию систем отопления проводят по ряду признаков:
1. По взаимному расположению основных элементов системы отопления подразделяются на центральные и местные.
2. По виду теплоносителя, передающего теплоту отопительными приборами в помещения, центральные системы отопления подразделяются на водяные, паровые, воздушные и комбинированные (например, пароводяные, паровоздушные и др.).
З. По способу циркуляции теплоносителя центральные и местные системы водяного и воздушного отопления подразделяются на системы с естественной циркуляцией
за счет разности плотностей холодного и горячего теплоносителя и системы с искусственной циркуляцией за счет работы насоса. Центральные паровые системы имеют искусственную циркуляцию за счет давления пара.
4. По параметрам теплоносителя центральные водяные и паровые системы подразделяются на водяные низкотемпературные с водой, нагретой до 100°С и высокотемпературные с температурой воды более 100 °С; на паровые системы низкого (р—0,1—0,17 МПа), высокого (р = 0,17—0,3 МПа) давления и вакуум-паровые с давлением р<0,1 МПа.
Контрольные вопросы:
1. Какие требования предъявляют к системе отопления
2. По каким признакам классифицируют системы отопления
Рекомендуемая литература
| 1. Тихомиров К.В., Сергиенко З.С. Теплотехника, теплоснабжение и вентиляция: Учебник для вузов. – М.: Стройиздат, 1991. – 475 с., ил. |
| 2. Внутренние санитарно-технические устройства в 3 ч. Ч.1. Отопление. Ю.Н.Саргин и др. / Под редакцией И.Г.Староверова и Ю.И.Шиллера. 4-е изд. – М.: Стройиздат, 1989. – 346 с., ил. (Спр. Проект.) |
| 3. Богословский В.Н., Сканави А.Н. Отопление. Учебник для вузов. – М.: Стройиздат, 1991. – 735 с., ил. |
Лекция 8
Тема: Системы водяного отопления.
Системы парового отопления (2 часa)
План лекции
1. Устройство и принцип действия водяного отопления
2. Классификация систем водяного отопления
3. Свойство пара как теплоносителя в системах отопления
Водяное отопление благодаря ряду преимуществ перед другими системами получило в настоящее время наиболее широкое распространение. Вода, нагретая в теплогенераторе (например, котле или другом источнике тепловой энергии) до температуры tТ поступает через теплопровод — главный стояк в подающие магистральные теплопроводы (соединительные трубы между главным стояком и подающими стояками). По подающим магистральным теплопроводам горячая вода поступает в подающие стояки (соединительные трубы между подающими магистралями и подающими подводками к отопительным приборам). Затем по подающим подводкам (соединительным трубам между стояками и отопительными приборами) горячая вода поступает в отопительные приборы, через стенки которых теплота передается воздуху помещения. Из отопительных приборов охлажденная вода с температурой tо по обратным подводкам, обратным стоякам и обратным магистральным теплопроводам возвращается в теплогенератор, где она снова подогревается до температуры tr, и далее циркуляция происходит по замкнутому кольцу.
Система водяного отопления гидравлически замкнута и имеет определенную вместимость отопительных приборов, теплопроводов, арматуры, т. е. постоянный объем заполняющей ее воды. При повышении температуры воды она расширяется и в замкнутой заполненной водой системе отопления внутреннее гидравлическое давление может превысить механическую прочность ее элементов. Чтобы этого не произошло, в системе водяного отопления имеется расширительный бак, предназначенный для вмещения прироста объема воды при ее нагревании, а также для удаления через него воздуха в атмосферу как при заполнении системы водой, так и в период ее эксплуатации (в случае открытого расширительного бака). Для регулирования теплоотдачи отопительных приборов на подводках к ним устанавливают регулировочные краны.
Классификация систем водяного отопления проводится по следующим основным признакам.
По способу создания циркуляции водяные системы подразделяют на системы с естественной циркуляцией и с искусственной, по схеме включения отопительных приборов в стояк или ветвь системы водяного отопления подразделяются на двухтрубные и однотрубные; по направлению объединения отопительных приборов как двухтрубные так и однотрубные могут быть вертикальные и горизонтальные; по месту расположения подающих и обратных магистралей системы подразделяют на системы с верхним и нижним расположением обеих магистралей; по направлению движения воды в подающих и обратных магистралях системы подразделяют на тупиковые и с попутным движением воды
В системах парового отопления используется свойство пара при конденсации выделять скрытую теплоту фазового превращения. При конденсации в нагревательном приборе 1 кг пара помещение получает около 2260 кДж теплоты.
По сравнению с системами водяного отопления системы парового отопления имеют следующие преимущества:
1) благодаря малой плотности пара он перемещается с большими скоростями, вследствие чего требуются меньшие диаметры теплопроводов, чем
при водяном отоплении, поэтому стоимость теплопроводов в системах парового отопления ниже, чем в системах водяного отопления;
2) больший коэффициент теплоотдачи от пара к стенкам отопительного прибора (за счет высокой величины скрытой теплоты фазового превращения), благодаря этому и высокой температуре пара площадь поверхности отопительных приборов в системах парового отопления приблизительно на 25—30 % меньше, чем в системах водяного отопления
-
быстрый прогрев помещений и выключение систему из работы;
-
возможность использования систем отопления в зданиях повышенной этажности вследствие малой плотности пара.
В соответствии со СНиП 2.04.05—86 системы парового отопления рекомендуется устраивать в производственных помещениях (согласно обязательному приложению 10), а также в лестничных клетках, пешеходных переходах, вестибюлях и тепловых пунктах
Системы парового отопления подразделяют: по наличию связи с атмосферой, по величине начального давления пара, способу возврата конденсата в котел или в тепловую сеть, месту расположения паропровода и схеме стояков В настоящее время применяют открытые (сообщающиеся с атмосферой) системы отопления.
По величине давления, подаваемого в систему отопления, различают системы отопления высокого, низкого давления и вакуум-паровые.
По способу возврата конденсата системы парового отопления подразделяются на замкнутые (конденсат благодаря наклону трубопроводов самотеком возвращается из отопительных приборов в котел или в тепловую сеть) и разомкнутые (конденсат поступает сначала в конденсаторный бак, а затем перекачивается насосом в котел или в тепловую сеть).
По месту расположения паропровода и схеме стояков системы парового отопления можно выполнять так же, как и системы водяного отопления, т. е. с верхним, нижним и промежуточным распределением пара при однотрубной и двухтрубной схемах обслуживания отопительных приборов.
Система парового отопления низкого давления с нижним распределением пара отличается от системы с верхним распределением главным образом расположением магистрального паропровода, при котором устраивают специальный гидравлический затвор или устанавливают водоотводчик у дальнего стояка для отвода конденсата из стояков и магистрального паропровода.
Находит применение горизонтальная однотрубная проточная система, экономичная и вполне приемлемая для отопления больших помещений зданий в 1—2 этажа, в которых не требуется индивидуальная регулировка теплоотдачи приборов. Вертикальные однотрубные системы отопления с теплоносителем — паром в СССР широкого применения не получили. Паровое отопление высокого давления рабс>0,17 МПа обычно принимают в тех случаях, когда пар вырабатывается в заводских котельных и основным потребителем его является производство.
Контрольные вопросы:
1. Какие требования предъявляют к системам водяного отопления
2. Укажите достоинства и недостатки водяного и парового отопления
3. Схемы двухтрубной и однотрубной систем отопления
Рекомендуемая литература
| 1. Тихомиров К.В., Сергиенко З.С. Теплотехника, теплоснабжение и вентиляция: Учебник для вузов. – М.: Стройиздат, 1991. – 475 с., ил. |
| 2. Внутренние санитарно-технические устройства в 3 ч. Ч.1. Отопление. Ю.Н.Саргин и др. / Под редакцией И.Г.Староверова и Ю.И.Шиллера. 4-е изд. – М.: Стройиздат, 1989. – 346 с., ил. (Спр. Проект.) |
|
Лекция 9
Тема: Естественная вентиляция, аэрация зданий. Системы механической вентиляции. (1 час)
План лекции
1. Гигиенические основы вентиляции
2. Принципиальная схема и конструктивные элементы канальной системы естественной вентиляции. Аэрация зданий.
3. Преимущества системы механической вентиляции
4.Схемы и конструкции приточной и вытяжной систем вентиляции
Современные условия жизни человека требуют эффективных искусственных средств оздоровления воздушной среды. Этой цели служит техника вентиляции. К факторам, вредное действие которых устраняется с помощью вентиляции, относятся: избыточная теплота (конвекционная, вызывающая повышение температуры воздуха, и лучистая); избыточные водяные пары — влага; газы и пары химических веществ общетоксичного или раздражающего действия; токсичная и нетоксичная пыль; радиоактивные вещества. В помещениях, где бывает много людей (зрелищные предприятия, магазины, столовые и др.), тепловыделения создают неблагоприятные условия, вредно отражающиеся на самочувствии, здоровье и работоспособности людей. В цехах и отделах промышленных предприятий избы точная теплота возникает при значительных тепловыделениях машинами, станками, производственной аппаратурой, различными печами, трубопроводами, нагретыми изделиями, остывающими в помещении, людьми, от солнечной радиации и от других источников тепла. При отсутствии вентиляции перечисленные и другие тепловыделения значительно повышают температуру воздуха и затрудняют процесс терморегуляции в организме человека и, кроме того, могут отрицательно влиять на технологический процесс производства.
Системы естественной вентиляции. Канальными системами естественной вентиляции называются системы, в которых подача наружного воздуха или удаление загрязненного осуществляется по специальным каналам, предусмотренным в конструкциях здания, или приставным воздуховодам. Воздух в этих системах перемещается вследствие разности давлений наружного и внутреннего воздуха.
В системах естественной вентиляции величина располагаемого давления, которое расходуется на преодоление сопротивления движению воздуха по каналам и другим элементам системы, незначительна и непостоянна. По-этому приточную канальную вентиляцию с естественным побуждением в настоящее время почти не применяют.
Вытяжная естественная канальная вентиляция осуществляется преимущественно в жилых и общественных зданиях для помещений, не требующих воздухообмена больше однократного. В производственных зданиях согласно СНиП 2.04.05—86 естественную вентиляцию следует проектировать, если она обеспечит нормируемые условия воздушной среды в помещениях и если она допустима по технологическим требованиям.
Вытяжная естественная канальная вентиляция состоит из вертикальных внутристенных или приставных каналов с отверстиями, закрытыми жалю-зийными решетками, сборных горизонтальных воздуховодов и вытяжной шахты. Для усиления вытяжки воздуха из помещений на шахте часто устанавливают специальную насадку — дефлектор. Загрязненный воздух из помещений поступает через жалюзийную решетку в канал, поднимается вверх, достигая сборных воздуховодов, и оттуда выходит через шахту в атмосферу. В современных крупнопанельных зданиях вентиляционные каналы изготовляют в виде специальных блоков или панелей из бетона, железобетона и других материалов. Вентиляционные блоки для зданий с числом этажей до пяти изготовляют с индивидуальными каналами для каждого этажа, а для зданий с числом этажей пять и более с целью сокращения площади, занимаемой каналами, выполняют по схеме с перепуском через один или несколько этажей. Такие блоки имеют сборный канал большого сечения, к которому подключаются вертикальные каналы из этажей. Устройство самостоятельных каналов из каждого помещения обеспечивает пожарную безопасность вентиляционных систем, звукоизоляцию и выполнение санитарно-гигиенических требований.
Если в зданиях внутренние стены кирпичные, то вентиляционные каналы устраивают в толще стен или бороздах, заделываемых плитами.
Аэрацией зданий называется организованный и управляемый естественный воздухообмен через открывающиеся фрамуги в окнах и вентиляционно-световые фонари с использованием теплового и ветрового давлений.
Аэрация широко применяется в производственных зданиях с большими теплоизбытками и позволяет осуществлять воздухообмены, достигающие миллионов кубических метров в 1 ч.
Системы механической вентиляции по сравнению с естественной более сложны в конструктивном отношении и требуют больших первоначальных затрат и эксплуатационных расходов. Вместе с тем они имеют ряд преимуществ. К основным их достоинствам относятся: независимость от температурных колебаний наружного воздуха и его давления, а также скорости ветра; подаваемый и удаляемый воздух можно перемещать на значительные расстояния; воздух, подаваемый в помещение, можно обрабатывать, т.е. нагревать или охлаждать, очищать, увлажнять и осушать. Вследствие этого механическая вентиляция, как приточная так и вытяжная, получила весьма широкое применение особенно в промышленности.
Приточные системы механической вентиляции состоят из следующих конструктивных элементов: 1) воздухоприемного устройства, через которое наружный воздух поступает в приточную камеру; 2) приточной камеры с оборудованием для обработки воздуха и подачи его в помещения; 3) сети каналов и воздуховодов, по которым воздух вентилятором распределяется по отдельным вентилируемым помещениям; 4) приточных отверстий с решетками или специальных приточных насадков, через которые воздух из приточных каналов поступает в помещения; 5) регулирующих устройств в виде дроссель клапанов или задвижек, устанавливаемых в воздухоприемных устройствах, на ответвлениях воздуховодов и в каналах.
Вытяжные системы механической вентиляции обычно состоят из следующих элементов: 1) жалюзийных решеток и специальных насадков, через которые воздух из помещений поступает в вытяжные каналы; 2) вытяжных каналов, по которым воздух, извлекаемый из помещений, транспортируется в сборный воздуховод; 3) сборных воздуховодов, соединенных с вытяжной камерой; 4) вытяжной камеры, в которой установлен вентилятор с электродвигателем; 5) оборудования для очистки воздуха, если удаляемый воздух сильно загрязнен; 6) вытяжной шахты, служащей для отвода в атмосферу воздуха, извлекаемого из помещений; 7) рейдирующих устройств (дроссель-клапанов или задвижек).
Отдельные приточные и вытяжные системы механической вентиляции могут не иметь некоторых из перечисленных элементов. Например, приточные системы вентиляции не всегда комплектуются фильтрами для очистки воздуха.
В настоящее время в общественных и производственных зданиях устраивают преимущественно механическую вентиляцию, в которой воздух перемещается по сети воздуховодов и другим элементам системы с помощью радиальных и осевых вентиляторов, приводимых в действие электродвигателями.
Контрольные вопросы:
-
Каким образом можно усилить естественную вентиляцию
-
Расскажите кратко о конструктивных элементах канальной системы естественной вентиляции
-
Какую роль играют «теплые» чердаки зданий
-
Назовите конструктивные основные элементы приточных и вытяжных систем вентиляции
-
Какие типы вентиляторов применяются в системах вентиляции
-
Что понимают под местной приточной вентиляцией
Рекомендуемая литература
1. Тихомиров К.В., Сергиенко З.С. Теплотехника, теплоснабжение и вентиляция: Учебник для вузов. – М.: Стройиздат, 1991. – 475 с., ил.
-
Внутренние санитарно-технические устройства в 3 ч. Ч.1. Отопление. Ю.Н.Саргин и др. / Под редакцией И.Г.Староверова и Ю.И.Шиллера. 4-е изд. – М.: Стройиздат, 1989. – 346 с., ил. (Спр. Проект.)
-
Богословский В.Н., Сканави А.Н. Отопление. Учебник для вузов. – М.: Стройиздат, 1991. – 735 с., ил.
-
Грудзинский М.М., Ливчак В.И., Поз М.Я. Отопительно-вентиляционные системы повышенной этажности.-М.:Стройиздат, 1982
Лекция 10
Тема: Газоснабжение (1 час)
План лекции
-
Газовые распределительные сети. Устройство и оборудование
-
Техника безопасности при строительстве и монтаже газопроводов
По газовым распределительным сетям, проложенным на территории города или другого населенного пункта, газ подается к потребителям.
В зависимости от максимального рабочего давления, МПа, газораспределительные сети согласно СНиП 2.04.08—87 «Газоснабжение» подразделяются на газопроводы
высокого давления 1 категории . св. 0,6 до 1,2,
то же, для сжиженных углеводородных газов; св. 0,6 до 1,6
высокого давления II категории; св. 0,3 до 0,6
среднего давления , св. 0,005 до 0,3
низкого давления до 0,005 включительно.
Рисунок 3.2 - Трехступенчатая схема снабжения газом города
1 — ГРС (газораспределительная станция); 2 — газгольдерная станция;
3
— ГРН (газорегуляторный пункт) среднего давления; 4 — ГРП низкого давления; 5 — газопровод высокого давления; 6 — газопровод среднего давления; 7 — газопровод низкого давления; 8 магистральный газопровод от источника газоснабжения
К газопроводам низкого давления подключаются жилые и общественные здания и мелкие коммунально-бытовые предприятия. Газопроводы среднего и высокого давления II категории ризб до 0,6 МПа служат для питания газовых распределительных сетей низкого давления через газорегуляторные пункты (ГРП), а также крупных потребителей газа (производственных предприятий, хлебозаводов, бань и др.).
По числу ступеней давления, применяемых в газовых сетях, системы газоснабжения подразделяются на двухступенчатые, трехступенчатые и многоступенчатые. Применение той или иной схемы определяется величиной населенного пункта, планировкой его застройки, расположением жилой (селитебной) и промышленных зон и расходом газа отдельными потребителями.
В небольших населенных пунктах с малым расходом газа и в средних городах применяются главным образом двухступенчатые системы, а в крупных — трехступенчатые или многоступенчатые, так как при больших расходах газа промышленными и коммунально-бытовыми предприятиями с подаче его на значительные расстояния работа на низком давлении требует увеличения диаметра газопроводов и затрудняет поддержание проходимого давления у отдаленных от ГПР потребителей. Трехступенчатая схема снабжения газом города включает в себя газопроводы высокого, среднего и низкого давления. По этой схеме весь газ, поступающий от источника газоснабжения, подается по транзитным газопроводам высокого давления к ГРС и газгольдерным станциям, откуда после соответствующего снижения давления он поступает в распределительные сети среднего давления с последующей подачей через ГРП в сети низкого давления.
От городских распределительных сетей газ подается к потребителю по отводу (ответвлению), т.е. по той части газопровода, которая идет от распределительной его части до задвижки, устанавливаемой на вводе в домовладение или предприятие. Участок газопровода от отключающей задвижки до ввода в здание называется дворовым (внутриквартальным) газопроводом. Внутри здания газопровод от его ввода до газопотребляющего прибора называется внутридомовым или внутрицеховым.
Газорегуляторные пункты (ГРП) и установки (ГРУ) служат для снижения давления газа и поддержания его на необходимом заданном уровне. ГРП обычно сооружают для питания газом распределительных сетей, а ГРУ — для питания отдельных потребителей. ГРП размещают в отдельно стоящих зданиях или шкафах снаружи здания, ГРУ — в помещениях предприятия, где расположены агрегаты, использующие газ. Расстояния между отдельно стоящими ГРП и другими зданиями и сооружениями приведены в СНиП 2.04.08—87.
ГРП и ГРУ в подвальных и полуподвальных помещениях, а также в жилых и общественных зданиях, детских и лечебных учреждениях и учебных заведениях не устраивают. Здания, в которых располагаются ГРП, должны отвечать требованиям, установленным для производств категории А. Они одноэтажные, I и II степеней огнестойкости, имеют покрытие легкой конструкции и полы из несгораемых материалов.
Двери помещений ГРП открываются наружу. Если применяют трудно-сбрасываемые перекрытия, то общая площадь оконных проемов и световых фонарей должна быть не менее 5000 см2 на 1 м3 внутреннего объема ГРП. Если ГРП размещается в пристройке к зданию, то пристройка отделяется от здания глухой газоплотной стеной и имеет самостоятельный выход.
Помещение ГРП отапливается, так как для нормальной работы установленного в нем оборудования и контрольно-измерительных приборов температура воздуха в помещении должна быть не ниже +15 °С. Отопление может быть водяным от тепловой сети или от индивидуальной котельной, которая отделяется капитальной стеной от помещения, где установлено оборудование, и имеет самостоятельный вход. Для отопления помещения ГРП применяются также печи, заключенные в металлический герметичный кожух с выносом топки наружу. -Вентиляция ГРП осуществляется с помощью дефлектора (вытяжка) и жалюзийной решетки (приток), устроенной внизу двери. Электрическое освещение здания ГРП может быть внутренним во взрывобезопасном исполнении или наружным в обычном исполнении (кососвет).
На рисунке 3.2 показаны план и разрез помещения ГРП с установленным оборудованием. Технологическая схема действия оборудования ГРП заключается в следующем. Газ высокого или среднего давления входит в ГРП и после отключающей задвижки 5 проходит через фильтр 4, где очищается от пыли и механических примесей. После фильтра газ через предохранительно-запорный клапан 3 поступает в регулятор давления 2, где давление газа снижается до заданного. После регулятора газ пониженного давления выходит через задвижку 1 в городскую газораспределительную сеть соответствующего давления. Чтобы во время ремонта оборудования ГРП не было перерыва в газоснабжении, на технологической линии предусматривается обводной газопровод 7 (байпас). При перекрытии задвижек 1 и 5 и открытой задвижке б байпаса газ идет, минуя регулятор давления, в газораспределительную сеть. Для снижения давления газа в этом случае прикрывается задвижка 6.
На выходном газопроводе низкого давления после регулятора давления устанавливают гидравлический предохранительный клапан, который сбрасывает избыток газа в атмосферу, предотвращая повышение давления газа после регулятора. Если избыток газа будет настолько велик, что пропускная способность предохранительного клапана будет недостаточной для его удаления, то срабатывает предохранительно-запорный клапан. Для замера. давления в газопроводе до регулятора и после него служат показывающие и самопишущие манометры, устанавливаемые на щите 8.
Кроме ГРП и ГРУ в системах газоснабжения имеются газораспределительные станции (ГРС), которые подают газ из магистральных газопроводов в городские сети. На ГРС давление газа снижают до величины, необходимой для систем газоснабжения (до 2000—1200— 600—300 кПа), и поддерживают постоянным. Основное отличие ГРС от ГРП и ГРУ состоит в том, что они получают газ из магистральных газопроводов и поэтому их оборудование рассчитывают на рабочее давление в 5,5; 7,5 МПа. ГРС отличается от ГРП также дополнительной обработкой газа (очисткой, одоризацией, подогревом). Чаще всего работа современных ГРС автоматизирована, чтобы обеспечить безвахтенное обслуживание. Для этого ГРС оснащают контрольно-измерительными приборами, защитной автоматикой, дистанционным управлением отключающих устройств и аварийной сигнализацией. Такие ГРС обслуживают два оператора на дому, которые по получении сигнала (звукового или светового) являются на ГРС и устраняют неисправность.
Газопроводы, особенно среднего и высокого давления, являются наиболее опасными из всех видов городских подземных сооружений, так как газ при повреждении газопровода может просочиться через грунт, проникнуть в подвалы зданий, колодцы и каналы (коллекторы) и скопиться там, создавая угрозу взрыва газовоздушной смеси.
Рисунок 3.3 - Газораспределительный пункт (ГРП)
Прокладка наружных газопроводов, независимо от назначения и давления газа, проектируется, как правило, подземной. При выборе трассы необходимо предусматривать прокладку газопровода по возможности дальше от зданий, сооружений и других коммуникаций, особенно работающих неполным сечением (канализация) и проложенных в каналах (тепловая сеть), а также от водопроводных и телефонных колодцев и трамвайных путей.
Надземная прокладка газопроводов допускается на территории промышленных и коммунально-бытовых предприятий, а также внутри жилых кварталов и дворов.
Расстояния по горизонтали между подземными газопроводами, различными сооружениями и другими коммуникациями, предусмотренные правилами безопасности в газовом хозяйстве, указаны в СНиП II-60-75** по проектированию планировки, застройки городов, поселков и сельских населенных пунктов.
При пересечении газопровода с другими коммуникациями расстояние между ними по вертикали должно быть не менее 150 мм, а с электрическими или телефонными кабелями — не менее 0,5 м. При пересечении газопровода с трамвайными путями или при вынужденной прокладке газопровода поперек какого-либо канала применяют футляры из стальных труб, на концах которых устанавливают контрольные трубки.
Газопроводы выполняют из стальных труб, соединяя их электросваркой. В местах установки газовых приборов, арматуры и другого оборудования применяют фланцевые и резьбовые соединения. Глубина заложения газопроводов зависит от состава транспортируемого газа. При влажном газе глубину заложения труб принимают ниже средней глубины промерзания грунта для данной местности. Газопроводы для осушенного газа можно укладывать в зоне промерзания грунта, но заглубление их должно быть не менее 0,8 м от поверхности земли. Газопроводы прокладывают с уклоном не менее 2 мм на 1 м, что обеспечивает отвод конденсата из газа в конденсатосборники и предотвращает образование водяных пробок.
Для выключения отдельных участков газопровода или отключения потребителей устанавливают запорную арматуру, размещаемую в колодце. При изменении температурных условий на газопроводе появляются растягивающие усилия, которые могут разорвать сварной стык или задвижку. Чтобы избежать этого, на газопроводе, и особенно у задвижек, устанавливают линзовые компенсаторы, воспринимающие эти усилия. Кроме восприятия температурных деформаций компенсаторы позволяют легко демонтировать и заменять задвижки и прокладки, так как компенсатор с помощью особых приспособлений можно сжать или растянуть.
Рисунок 3.4 - Газовый колодец
а — из бетонных колец; б — бетонный монолитный: 1 — верхнее кольцо; 2 съемная плита; 3 — ковер; 4 — скосы; 5 — среднее кольцо; 6 — днище; 7 - настил из досок; 8 — шлаковая вата; 9 — люк
Линзовые компенсаторы устанавливают в одном колодце с задвижками, располагают их после задвижек по ходу газа (рисунок 3.4).
Управление задвижками в газовом колодце выведено на поверхность земли с помощью штока, защищенного в верхней части механическим колпаком (ковером).
Защита газопроводов от коррозии, вызываемой окружающей средой и блуждающими токами, проектируется и выполняется в соответствии с требованиями ГОСТ 9.015—74* и СНиП 1.04.08—87*.
Устройство внутренних газопроводов.
Вводы газопровода в жилые здания устраивают в лестничных клетках, кухнях или коридорах. На вводе газопровода в здание устанавливают запорную арматуру.
Вводы газопроводов в насосные и машинные отделения, вентиляционные и лифтовые камеры и шахты,
Рисунок 3.5 - Вводы газопроводов в здание
/—крышка футляра; 2 — футляр для наружной части газопровода; 3 — стальная гильза; 4— дверка люка; 5 — битумное заполнение; 6 — пробка; 7 —крючок; 8 — соединение сваркой
Рисунок 3.6 - Схема внутридомовой газовой сети
/ — газовая плита; 2 — газовая колонка; 3 — газовый счетчик; 4 — краны пробочные; 5 — газопровод; 6 ввод газопровода; 7 —вытяжная вентиляция
помещения мусоросборников, электрораспределительных устройств, складские помещения не устраивают.
Газ подается в квартиры верхних этажей жилых зданий по стоякам, которые прокладывают в кухнях, на лестничных клетках или в коридорах. В жилых помещениях, ванных комнатах и санитарных узлах их не прокладывают. Если газопровод проходит через стену или
При строительстве и монтаже газопроводов, газовых приборов и агрегатов должны соблюдаться требования техники безопасности в строительстве, а также нормы и правила строительного производства, утвержденные Госстроем СССР. К газоопасным относятся работы, выполняемые при наличии в окружающей среде газа или при возможности его появления. Работы, связанные с присоединением к действующим газовым сетям, ликвидацией утечек газа, ремонтом оборудования на действующих газопроводах, ГРП и ГРУ, производятся в газоопасной среде. Работы в газоопасных местах выполняют не менее чем два слесаря. Место газоопасных работ ограждают и охраняют. Рабочих снабжают противогазами: при работе в колодцах и котлованах — шланговыми, при работе в помещениях — изолирующими.
При выполнении работ в колодцах и котлованах рабочие надевают пояса с веревками, концы которых держат наверху наблюдающие за производством работ. Работы по присоединению к действующим газопроводам выполняют организации, эксплуатирующие газовое хозяйство города, поселка, предприятия.
Газовую резку и сварку на действующих газопроводах при ремонте или присоединении к ним новых газопроводов выполняют при давлении газа 200—1200 Па, которое проверяют в течение всего времени работы. Если давление становится ниже или выше указанных пределов, резку или сварку необходимо прекратить.
Внутренние газопроводы испытывает монтажная организация в присутствии представителя заказчика. Газопроводы низкого давления в жилых и общественных зданиях испытывают воздухом на прочность при давлении 5 кПа с подключенными приборами, но без счетчиков. Газопровод считается выдержавшим испытание на плотность, если падение давления в нем в течение 5 мин не превышает 200 Па. Внутренние газопроводы среднего давления до 300 кПа подвергают испытанию на прочность и плотность воздухом, а газопроводы высокого давления — выше 300 и до 1200 кПа — испытывают на прочность водой, а на плотность — воздухом.
Нормы и продолжительность испытания на прочность и плотность внутренних газопроводов среднего и высокого давления приведены в СНиП 2.04.08—87. Выявленные при испытании дефекты устраняют только после снижения давления в газопроводе до атмосферного.
Газовую сеть принимает в эксплуатацию комиссия, назначаемая заказчиком. Комиссия проверяет соответствие газовой сети проекту и техническим условиям, качество работ, наличие актов на скрытые работы и проведенные испытания, а также состояние арматуры и оборудования. Приемка в эксплуатацию оформляется актом специальной формы, к которому должна быть приложена соответствующая документация.
Контрольные вопросы
1. Какова роль газа в топливном балансе страны?
-
Из каких основных звеньев со стоят магистральные газопроводы?
-
Как подразделяются газопроводы в зависимости от давления транспортируемого газа?
-
Какие виды работ относятся к газоопасным?
5. С соблюдением каких условий проводится работа в газоопасных местах?
Рекомендуемая литература
| 1. Тихомиров К.В., Сергиенко З.С. Теплотехника, теплогазоснабжение и вентиляция: Учебник для вузов. – М.: Стройиздат, 1991. – 475 с., ил. |
|
|
Контрольные задания для СРС
Целью самостоятельной работы студентов является закрепление теоретических знаний в проектировании инженерных систем жилых и общественных зданий.
1. Расчет системы водоснабжения и канализации специальных зданий (бань, прачечных, фонтанов, бассейнов)
2. Определить фактическое естественное давление в циркуляционных кольцах системы отопления. Коэффициент полезного действия изоляции главного стояка и трубопроводов, проходящих через неотапливаемые помещения =0,7.
3. Проверить напряжение на изгиб при самокомпенсации трубопровода системы отопления диаметром d=25 мм в месте его поворота, если температура теплоносителя 115оС.
4. Рассчитать воздуховоды системы естественной вытяжной вентиляции, обслуживающей врачебные кабинеты двухэтажного здания поликлиники. Воздух удаляется из верхней зоны помещений на высоте 0,5м от потолка. Высота этажей, включая толщину перекрытия 3,3м. Высот чердака под коньком крыши 3,6м.
4 Методические указания для выполнения практических (семинарских занятий)
Цель проведения практических занятий: закрепление теоретических знаний и приобретение практических навыков в расчете и проектировании систем водоснабжения и канализации, теплогазоснабжения, вентиляции.
Тематика практических занятий составлена в соответствии с рабочим учебным планом специальности 050420–Архитектура.
-
Проектирование системы водоснабжения и канализации здания
-
Системы водяного отопления. Системы парового отопления
3. Естественная вентиляция, аэрация зданий. Системы механической вентиляции.
Практическое занятие 1 (8 часов)
Тема: Проектирование и расчет системы внутреннего водоснабжения и канализации здания
Выполняемые работы:
-
Изучить основные теоретические положения по тематике практических занятий
-
Произвести расчеты
Начертить аксонометрическую схему водопроводной сети и ввода. Показать ответвления от стояков.
Произвести гидравлический расчет водопроводной сети по участкам расчетного направления от диктующего водоразборного устройства до места присоединения ввода к наружной сети.
Расчетные расходы воды определять по новой методике СНиП П-30—76. Весь расчет свести в таблице 1.
Т
аблица. 1 Форма записи расчета внутреннего водопровода
Количество квартир пкв; количество подводок к водоразборной арматуре ппод в квартире.
Средняя заселенность одной квартиры ucp=F/f, где F— жилая площадь, м, f— санитарная норма (9 м /чел).
Принимается по графику или по приложению 1 и 2 СНиПа.
График для определения .
Расчетные секундные в часовые расходы можно определять по формулам 2.1 и 2.2. Чтобы определить значение =f(NP), следует найти вероятность действия водоразборных устройств по. таблице 2.2 или по формуле
Расчетный секундный расход подсчитывают по формуле
Диаметр труб предварительно подбирают по таблице приложения 11 учебника при скоростях движения в магистралях н стояках в пределах 1 —1.5 м/с. Необходимый (требуемый) напор определяют по формуле
где Нг — геометрическая высота подачи воды от ввода до отметки диктующего водоразбора, м; h bb — потери напора во вроде (до водосчетчикаа), м; hвод — потери напора водосчетчика, м; hТ— потеря напора в трубах по расчетному направлению; hM—потери на местные сопротивления в арматуре и фасонных частях (принимают в размере 30% от рт), м; НР — рабочий напор у диктующего водоразбора, м.
Потери напора водосчетчика определяют по формуле
hвoд=S-qH2,
где qB — расчетный расход воды, л/с;
S — сопротивление водосчетчика, принимаемое по таблице 5.
Суточные расходы воды определяют по табл.3.
Потери напора в крыльчатых водосчетчиках при хозяйственно-питьевых расходах не должны превышать 2,5 м, а турбинных водосчетчиках— 1 м.
Если гарантийного Нгар напора не хватает, то можно на отдельных участках сети увеличить диаметры, что приведет к уменьшению
где Q4 — норма расхода воды (л/ч) на одного потребителя (см. табл.3);
U— число потребителей, чел.;
N— число подводок к водоразборным устройствам;
qo — удельный наибольший расход воды из числа водоразборов (см. табл.).
Д
ля подбора оборудования (насосов, бака водосчетчика) определяют по формуле
Таблица 2
Таблица 3
Здесь ч, следует найти для значения NP4 , где Рч-Р/К и Ки — коэффициент
использования прибора с максимальным удельным расходом qo. Значения Ku,qo принимают из табл.
Практическое занятие 2 (8 часов)
Тема: Проектирование и расчет системы водоотведения
Выполняемые работы:
-
Изучить основные теоретические положения по тематике практических занятий
-
Произвести расчеты
На плане следует показать выпуски от стояков до смотровых колодцев из дворовой сети. Длину выпуска (от стены здания) принимают равной 3—5 м. На выпусках указывают диаметр, длину и уклон труб.
Диаметры стояков принимают: 50 мм при расходах 0,8; 1,21 и 1,4 л/с и угле присоединения к ним поэтажных отводов соответственно 90; 60 и 45°, 100 мм при расходах 4,3; 6,4 и 7.4 л/с (отводах диаметром 50 мм) или 3,2; 4,87 и 5,5 л/с (отводах 100 мм).
Для поворота стояка на выпуск применяют пологое колено или два отвода по 135°. На разрезе по выпуску должны быть указаны: смотровой колодец, его номер, глубина, отметки лотка труб, поверхности земли и пола подвала, а также диаметр, длина и уклон выпуска. Нормальный уклон 0,035 для d=50 мм и 0,02 для d== 100 мм.
Канализационные выпуски проверяют на выполнение условия
, при этом наполнение h/d должно быть не менее 0,3 и не более 0,5, а скорость движения жидкости — не менее 0,7 м/с.
Определяется расход по формуле qK-5qo(K) и табл. 2.4.
Для ориентировочных расчетов qK—qe +1.6 л/с (где qB — по формуле 1).
Расчеты заносят в таблицу 2.6.
Практическое занятие 3 (8 часов)
Тема: Системы водяного отопления. Системы парового отопления.
Выполняемые работы:
1.Изучить основные теоретические положения по тематике практических занятий
2.Решить задачи
Задача 1. Две вертикальные трубы центрального отопления соединены горизонтапьным участком , на котором установлена задвижка диаметром d. Температура воды в правой вертикальной трубе tn = 80 С , а в левой - tn = 20 С. Найти разность суммарных давлений на задвижку справа и слева . Высота воды в вертикальных трубах h над уровнем горизонтальной трубы.
А
В в месте ее крепления к цилиндрической части последнего. Внутреннее давление в котле р = ЗО«1О Н/м 3 , диаметр цилиндрической части котла D = 2 м.
Задача 2. Найти потери давления на трение при движении воды с температурой t = 20 ° С в стальной цельносварной трубе , бывшей в употреблении , с внутренним диаметром d = 0,500 м . Расход воды
Q
= 0,60 м3/ с , длина трубы l = 500 м .
Задача 3. Вода при температуре t = 20 ° С протекает в количестве
Q=800 л/мин в горизонтальной трубе кольцевого сечения, состоящей из двух концентрических оцинкованных стальных труб. Внутренняя труба имеет наружный диаметр d = 100 мм, а наружная труба имеет внутренний диаметр D = 120 мм .Найти потери напора на трение на длине трубы 1 = 500 м .
Рекомендуемая литература
1. Тихомиров К.В., Сергиенко З.С. Теплотехника, теплоснабжение и вентиляция: Учебник для вузов. – М.: Стройиздат, 1991. – 475 с., ил
2. Внутренние санитарно-технические устройства в 3 ч. Ч.1. Отопление. Ю.Н.Саргин и др. / Под редакцией И.Г.Староверова и Ю.И.Шиллера. 4-е изд.
– М.: Стройиздат, 1989. – 346 с., ил. (Спр. Проект.)
Практическое занятие 4 (6 часов)
Тема: Естественная вентиляция, аэрация зданий. Системы механической вентиляции.
Выполняемые работы:
-
Изучить основные теоретические положения по тематике практических занятий
-
Произвести расчеты по примерам
Пример 1. Рассчитать воздуховоды системы естественной вытяжной вентиляции, обслуживающей врачебные кабинеты двухэтажного здания поликлиники. Воздух удаляется из верхней зоны помещения на высоте 0,5м от потолка. Высота этажей, включая толщину перекрытия 3,3м. Высота чердака под коньком крыши 3,6м.
Пример 2. Рассчитать калориферную установку для нагревания воздуха в количестве L = 28000 м3/ч с начальной температурой tн= ––18ОС до конечной требуемой tк= +20ОС. Теплоноситель – вода tг= 150ОС и tо= 70ОС.
Контрольные задания для СРС
1. Расчет системы водоснабжения и канализации специальных зданий (бань, прачечных, фонтанов, бассейнов)
2. Определить фактическое естественное давление в циркуляционных кольцах системы отопления. Коэффициент полезного действия изоляции главного стояка и трубопроводов, проходящих через неотапливаемые помещения =0,7.
3. Рассчитать воздуховоды системы естественной вытяжной вентиляции, обслуживающей врачебные кабинеты двухэтажного здания поликлиники. Воздух удаляется из верхней зоны помещений на высоте 0,5м от потолка. Высота этажей, включая толщину перекрытия 3,3м. Высот чердака под коньком крыши 3,6м.
Рекомендуемая литература
1. Тихомиров К.В., Сергиенко З.С. Теплотехника, теплоснабжение и вентиляция: Учебник для вузов. – М.: Стройиздат, 1991. – 475 с., ил
2. Внутренние санитарно-технические устройства в 3 ч. Ч.1. Отопление. Ю.Н.Саргин и др. / Под редакцией И.Г.Староверова и Ю.И.Шиллера. 4-е изд.
– М.: Стройиздат, 1989. – 346 с., ил. (Спр. Проект.)
5 Методические указания для выполнения лабораторных работ
Лабораторные работы по данной дисциплине не предусмотрены
6 Тематический план самостоятельной работы студента с преподавателем
| Наименование темы СРСП | Цель занятий | Формат проведения занятия | Содержания занятия | Рекомендуемая литература |
| 1 Системы водоснабжения. Классификация, нормы водопотребления, расчет потребности в воде | Углубление знаний по данной теме | Практическое занятие | Самостоятельно изучить особенности водоснабжения | 1,2,3 |
| 2 Проектирование и расчет системы внутреннего водоснабжения здания | Приобретения практических навыков | Практическое занятие | Расчетные (аксонометрические) схемы водоснабжения | 1,3,6,7 |
| 3 Преобразователи гидравлической энергии. Насосы, насосные станции | Приобретение практических навыков в выборе насосов | Практические занятия | Последовательное и параллельное соединение центробежных насосов | 1,2 |
| 4 Системы водоотведения проектирования и расчета | Углубление знаний по теме | Практическое занятие | Построение продольных профилей дворовой канализации | 1,3,8 |
| 5 Теплопередача, закон Фурье, теплопроводность, конвекция, излучение | Углубление знаний по теме | Семинар | Теплопроводность, конвекция, излучение | 4,5 |
| 6. Теплопередача через сложную стенку | Приобретения практических навыков | Практическое занятие | Расчет потерь через сложные стенки | 4,5,6,7 |
| 7. Общие сведения об отоплении и требования к системе отопления | Углубление знаний по теме | Семинар | Требования, предъявляемые в системе отопления | 4,5 |
| 8 Системы водяного отопления. Системы парового отопления. | Углубление знаний по теме | Семинар | Преимущества и недостатки водяной и паровой систем отопления | 4,5,6 |
| 9. Естественная вентиляция, аэрация зданий. Системы механической вентиляции | Углубление знаний по теме | Семинар | Преимущества системы механической вентиляции | 6,7,8 |
| 10.Газоснабжение | Углубление знаний по теме | Семинар | Устройство и оборудование | 4 |
7 Материалы для контроля знаний студентов в период рубежного контроля и итоговой аттестации
7.1 Тематика контрольных работ
1. Расчет системы водоснабжения [1] – тема 2
2. Расчет системы водоотведения [3] – тема 3
3.Расчет и проектирование системы водяного отопления
4.Расчет теплопотерь через ограждающие конструкции
5.Расчет воздуховодов систем вентиляции
7.2 Вопросы для самоконтроля
1 Потери давления на преодоление местных сопротивлений определяются по формуле, Па:
2 Потери давления на преодоления трения на участке трубопровода с постоянным расходом воды определяются:
3 Основной тип насосов применяемый в системе водоснабжения:
поршневые.
4 Что достигается при параллельном соединении центробежных насосов?
5 Что достигается последовательным соединением центробежных насосов?
6 Отчего зависит коэффициент местных сопротивлений?
7 Необходимое особое условие для успешного запуска центробежного насоса:
8 Назначение предохранительного клапана:
9 Какие параметры потока жидкости изменяются при гидроударе?
10 Назначение "ревизии" на канализационном стояке:
11 Глубина заложения водопроводной сети (Н3) в зависимости от глубины промерзания грунта (Нп):
12 Наиболее рациональный способ соединения водопроводных труб при внутренней разводке:
13 Основной рабочий элемент пружинного манометра:
14 Чем обусловлено ограничение минимальной скорости движения сточных вод в трубопроводах?
15 Для чего применяются сифоны при установке санитарных приборов?
16 Как предохранить водонапорные трубы внутренней разводки от конденсата?
17 Глубина заложения выпуска канализации из здания (Нк):
18 Критическое значение числа Рейнольдса для воды:
19 Чем должен заканчиваться канализационный стояк в многоэтажном доме?
20 Что обеспечивает вентиляцию канализационных труб и коллекторов?
21 Назначение обратного клапана:
22 Минимальное время выдержки при гидравлическом испытании водопроводных трубопроводов:
23 Максимальное давление на которое испытываются системы внутреннего водопровода:
24 Где должен быть установлен канализационный стояк в жилом здании?
25 Какие из перечисленных насосов позволяют получить максимальное рабочее давление?
26 Что означает выражение водопроводная труба диаметром 1 дюйм?
27 Минимальный уклон при горизонтальной прокладке канализационных труб:
28 Наиболее экономичная скорость движения воды в водопроводных трубах:
29 Что такое диктующий прибор в расчетной схеме водоснабжения здания?
30 Максимальная величина уклона трубопроводов канализационной сети диаметром 150мм:
31 Минимальное значение самоочищающей скорости для бытовых сточных вод, м/с:
32 Величина максимальной разности давления на проводках горячей и холодной воды в смесителях, МПа:
33 Максимальное давление водовоздушной смеси при промывке трубопроводов, МПа:
34 Необходимая температура воды в системе горячего водоснабжения, °С:
35 Причины возникновения шума в трубопроводах систем водоснабжения:
36 Способ устранения распространения шума от насоса по трубопроводам:
37 Способ борьбы с конденсацией паров на поверхности водопроводных труб:
38 Нормативный срок службы водозаборной арматуры, годы:
39 Нормативный срок службы холодного водопровода не оцинкованного, годы:
40 Нормативный срок службы холодного водопровода оцинкованного, годы
41 Нормативный срок службы чугунных канализационных труб, годы:
42 Основной расчетный параметр инженерных сетей:
43 Какой параметр ограничивается во всех инженерных системах?
44 Какая инженерная система является самотечной?
45 Минимальный свободный напор у бытовых приборов, м:
46 Место установки канализационного стояка:
47 Прочистки устанавливаются:
48 Таблицы Щевелева предназначены для:
49 Величина коэффициента местных сопротивлений зависит от:
50 Величина давления развиваемого центробежным насосом определяется:
51 Единицы измерения норм хозяйственно-питьевого водоснабжения:
52 Единицы измерения кинетической вязкости:
53 Отчего зависит коэффициент местных сопротивлений?
54 Способ устранения распространения шума от насосов по трубопроводам:
55 Минимальный уклон при горизонтальной прокладке канализационных труб:
56 Какая зависимость является характеристикой сети?
57 Расстояние между гидрантами на городской сети водоснабжения, м:
58 Расход воды на противопожарную защиту здания, на 1 м2 площади пола:
59 Минимальное значение температуры горячей воды в точках водоразбора, С:
60 Минимальный уклон для трубопроводов горячего водоснабжения:
61 Удельное водоотведение в механизированных районах л/сут на 1 человека:
62 Санитарно-защитная зона для сливных станций, м:
63 Наименьший диаметр труб самотечных уличных сетей, мм:
64 Расчетное наполнение каналов прямоугольного поперечного сечения принимать в зависимости от высоты h:
65 Расстояние между смотровыми канализационными колодцами при диаметре трубы 200 мм:
66 Диаметр круглых канализационных колодцев при трубопроводах диаметром до 600 мм:
67 Число вторичных отстойников на очистном сооружении:
68 Назначение редукционных клапанов:
69 Высота установки ревизии (от пола), м
70 Диаметр горловины канализационных колодцев:
71 Какие насосы находят наибольшее применение в инженерных сетях?
72 Водосливом называется:
73 На каком явлении основан гидротаран?
74 Каким коэффициентом характеризуется движение жидкости в открытых руслах?
75 Основной недостаток шестеренных машин:
76 ”Слабый узел” силового цилиндра:
77 По какой зависимости строится напорная линия потока?
78 По какой зависимости строится линия пьезометрического напора?
79 Что такое гидравлический уклон
80 Гидравлически гладкая труба-
81 Какой вид насадка позволяет получить максимальный расход?
82 Какой насадок имеет максимальный коэффициент местных сопротивлений?
83 Какая зависимость называется формулой Шези?
84 Какая зависимость называется формулой Н Н Павловского?
85 Что называется фильтрацией?
86 Что характеризует коэффициент фильтрации?
87 Гидравлический радиус это:
88 Минимальный уклон для трубопроводов горячего водоснабжения
89 Кратность воздухообмена что это
90 Расход воды на противопожарную защиту здания, на 1 м3 площади пола
91 На какое рабочее давление рассчитывается арматура хозяйственно-питьевого водопровода, МПа
92 Минимальное значение температуры горячей воды в точках водоразбора, оС
93 Какая зависимость является характеристикой сети?
94 Расстояние между гидрантами на городской сети водоснабжения, м
95 Максимальная скорость сточных вод в металлических трубах, м/с
96 Максимальная скорость сточных вод в неметаллических трубах
97 Дроссель в гидросистеме
98 Принцип гидравлического замка
99 Какая принципиальная схема насоса позволяет получить максимальный КПД по расходу
100 Какая цель достигается при последовательном соединении насосов и при параллельном включении насосов
101 Прибор для определения наносов отрытом русле
102 Какой трубопровод работает под давлением, ниже атмосферного?
103 Что такое нижний бьеф
7.3 Экзаменационные билеты (тесты)
1 Отчего зависит коэффициент местных сопротивлений?
A) режима движения жидкости
B) свойств жидкости
C) скорости движения жидкости
D) конструктивных параметров элементов
E) гидростатического давления
2 Критическое значение числа Рейнольдса для воды:
А) 2000;
В) 3500;
С) 4000;
D) 3750;
Е) 2320.
3 Таблицы Щевелева предназначены для:
A)определения вязкости жидкости;
B)расчета потерь на трение;
C)расчета потерь на местных сопротивлениях;
D)определения коэффициента трения;
E)определения шероховатости трубопровода.
4 Единицы измерения кинетической вязкости:
A)Пуаза;
B)м2 в час;
C)м/с2;
D)м2/с;
E)с/м.
5 Каким коэффициентом характеризуется движение жидкости в открытых руслах?
A) Дарси
B) Вейсбаха
C) Рейнольдса
D) Шези
E) Ньютона
6 Гидравлический уклон это:
A) Разность между геодезическими отметками
B) Отношение перепада высот к длине
C) Отношение потерь на трение к длине
D) Соотношение между общими потерями и длиной
E) Отношение средней скорости к длине
7 Гидравлически гладкая труба-
A) Труба с ламинарным потоком жидкости
B) Труба с шероховатостью менее 0,01 мм
C) Труба с эквивалентной шероховатостью менее 0,02 мм
D) Труба, в которой отсутствуют потери на трение
E) В практике не существует
8 Какой вид насадка позволяет получить максимальный расход?
A) Цилиндрический внешний
B) Цилиндрический внутренний
C) Конический сходящийся
D) Конический расходящийся
E) Коноидальный
9 Что называется фильтрацией?
-
Движение воды в пористой среде
-
Движение воды под действием атмосферного давления
-
Движение грунтовых вод
-
Движение воды за счет сил гравитации
-
Естественное движение воды в грунте
10 Гидравлический радиус это:
-
Отношение смоченного периметра к площади живого сечения
-
Отношение площади живого сечения к смоченному периметру
-
Отношение площади сечения к средней скорости
-
Эквивалентный диаметр
-
Условие понятия
11 Что описывает уравнение Бернулли
A) характер режима движения
B) давление внутри жидкости
C) энергию потока жидкости
D) внутреннюю энергию жидкости
E) тепловой режим
12 Что такое кавитация
A) схлопывание пузырьков растворенного воздуха
B) резкое повышение давления
C) изменение направления потока
D) падение температуры
E) повышение скорости
13 Безнапорным называется поток жидкости если
A) параметры потока не меняются по длине
B) параметры потока не меняются во времени
C) Re > 2320
D) Re < 2320
E) поток имеет свободную поверхность
14 Равномерное движение если
A) параметры потока не меняются по длине
B) параметры потока не меняются во времени
C) Re > 2320
D) Re < 2320
E) поток имеет свободную поверхность
15 Установившееся движение если
A) параметры потока не меняются по длине
B) параметры потока не меняются во времени
C) Re > 2320
D) Re < 2320
E) поток имеет свободную поверхность
16 Единицы измерения кинетической вязкости жидкости
A) Пуаза
B) градус/мин
C) м2/с
D) м3/с
E) кг/с2
18 Прибор для измерения скорости движения воды в открытом русле
A) расходомер Вентури
B) трубка Пито
C) анеометр
D) пьезометр
E) барометр
19 Что является основным внешним признаком задвижки
A) фланцевое соединение
B) винтовой шток
C) ручка поворота
D) форма корпуса
E) габаритные размеры
20 Наиболее эффективный способ борьбы с гидроударом в трубопроводах
A) установка предохранительного клапана
B) применение редукционных клапанов
C) применение гидравлических аккумуляторов
D) увеличение продолжительности срабатывания запорной арматуры
E) уменьшение давления
21 Простой длинный трубопровод это
A) сифон
B)дюкер
C)трубопровод только одного диаметра
D) система только с последовательным соединением участков разных размеров
E) система с параллельным соединением трубопроводов
22 Чем объясняется сопротивление жидкости растягивающим усилиям?
-
Вязкостью
-
Внутренней энергией
-
Силами молекулярного взаимодействия
-
Поверхностным натяжением
-
Плотностью
23 Какой трубопровод работает под давлением, ниже атмосферного?
-
Простой
-
Сложный
-
Дюкер
-
Сифон
-
Короткий
24 Наивыгоднейшее сечение канала
-
Прямоугольное
-
Трапецеидальное
-
Треугольное
-
Полукруг
-
Квадрат
25 Какой вид теплообмена в твердых телах:
A) конвекция;
B) теплопроводность;
C) тепловое излучение;
D) теплопередача;
E) теплоусвоение;
26 В жилых помещениях t принимается для стен:
A) 2;
B) 4;
C) 6;
D) 8;
E) 10.
27 Расчет теплопотерь через наружные ограждающие конструкции проводится по следующей зависимости
A) Q=FK (tв-t1);
B) Q=FK(tB-t1)a e ;
C) Q=R0F(tB-t1)n;
D) Q=FK(tB-t1)n;
E) Q=FK(tH-t1)n;
28 Расчет теплопотерь по укрупненным показателям:
A) Q=FK(tB.cp-t1)
;
B) Q=(F(tв.cр-t1)a)/Ro;
C) Q=q0 (tВ.ср-t,)n;
D) Q=q0Vc(tB.cр-t1)n;
E) Q=q0Vc(tВ.ср-t1).
29 Назначение элеватора:
A) снизить температуру теплоносителя;
B) повысить давление;
C) уменьшить количество подаваемого в здание тепла;
D) снизить количество подаваемого в здание тепла;
E) снизить давление в трубопроводе здания;
30 Площадь поверхности нагревательного прибора определяется по формуле, ЭКМ:
A) F=Q/K(t1-ta);
B) F=(Q12)/K(t1-ta );
C) F=(Q12)/q1;
D) F=(Q1234)/K(tfl6-ta);
E) F=(Q34)/K(tfi6-ta);
31 Расширительный сосуд предназначен для:
A) удаления избыточного количества воды;
B) удаления воздуха и компенсации изменяющегося объема воды при нагревании
C) создания перепада давления в системе;
D) заполнения системы водой;
E) удаление пара;
32 Системы водяного отопления называются вертикальными, когда:
A) имеют вертикальные трубы;
B) имеют расширительный сосуд;
C) установлен воздухосборник;
D) нагревательные приборы присоединены по горизонтали;
E) нагревательные приборы присоединены по вертикали;
33 По схеме питания нагревательных приборов системы отопления бывают двухтрубные, когда:
-
имеется два горячих стояка;
-
один горячий стояк;
-
приборы присоединены к стояку с двух сторон;
-
теплоноситель поступает в прибор из одной трубы и возвращается из него в эту же трубу;
E) теплоноситель поступает в прибор из одной трубы а возвращается в другую трубу;
34 Системы парового отопления называются открытыми, когда:
-
теплоноситель используется на другие нужды;
-
конденсатопровод имеет связь с атмосферой;
-
конденсат используется для технологических нужд;
-
конденсатопровод не имеет связи с атмосферой;
E) паропровод имеет связь с атмосферой через предохранительный клапан;
35 Аэрация это:
-
естественная неорганизованная вентиляция
-
искусственная вентиляция
-
комбинированная
-
естественная организованная
E) вентиляция с применением каналов и воздуховодов
36 Вентиляция локализирующая когда:
-
воздух подается в месте выделения вредностей;
-
воздух удаляется из места выделения вредностей;
-
воздух подается и удаляется независимо от места выделения вредностей;
-
воздух подается или удаляется из места выделения вредностей;
E) при работе вентиляции предотвращается распространение вредностей по всему объему помещения;
37 Тепловые сети называются закрытые, когда:
А) имеют связь с атмосферой;
В) теплоноситель идет на горячее водоснабжение;
С) весь теплоноситель возвращается к месту выработки;
D) теплоноситель используется на внутренние нужды по месту выработки;
Е) теплоноситель используется на технологические нужды.
38 К конвективным системам отопления относятся системы оборудованные следующими нагревательными приборами:
A) ребристыми трубами
B) регистры
C) гладкотрубные
D) змеевиками
E) подвесные панели
39 По схеме питания нагревательных приборов системы отопления бывают однотрубные, когда:
A) имеется два горячих стояка;
B) один горячий стояк;
C) приборы присоединены к стояку с двух сторон;
D) теплоноситель поступает в прибор из одной трубы и возвращается из него в эту же трубу;
E) теплоноситель поступает в прибор из одной трубы и возвращается в другую трубу.
40 Системы водяного отопления называются с попутным движением, когда:
А) теплоноситель движется за счет работы насоса;
В) направление движения теплоносителя в стояках совпадают;
С) движение теплоносителя в стояках направлено в разные стороны;
D) движение теплоносителя в магистральных трубопроводах внутри здания направлены в разные стороны;
Е) движение теплоносителя в магистральных трубопроводах внутри здания имеют одинаковое направление.
41 Система парового отопления называется разомкнутой, когда:
А) пар поступает в нагревательные приборы через редукционный клапан;
В) конденсат в котел поступает из конденсатного бака;
С) конденсат в котел поступает из конденсатопровода;
D) система имеет напорный конденсатопровод;
Е) пар поступает в приборы без редукционного клапана.
42 Канальная вентиляция:
A) естественная неорганизованная вентиляция;
В) искусственная вентиляция;
С) комбинированная;
D) естественная организованная;
Е) вентиляция с применением каналов и воздуховодов.
43 Местная вентиляция, когда:
А) воздух подается в месте выделения вредностей;
В) воздух удаляется из места выделения вредностей;
С) воздух подается и удаляется независимо от места выделения вредностей;
D) воздух подается или удаляется из места выделения вредностей;
Е) при работе вентиляции предотвращается распространение вредностей по всему объему помещения.
44 К лучистым системам отопления относятся системы отопления оборудованные:
A) ребристыми трубами;
B) регистрами;
C)гладкотрубные;
D) змеевики;
E) подвесные панели.
45 Регистры изготавливают из:
A) труб;
2300>0>















