142480 (598770), страница 4
Текст из файла (страница 4)
1) повышающие производительность труда, к их числу можно отнести: совершенствование организации труда, экономию рабочего времени, комплексное использование сырья, мотивация работников и др.;
2) понижающие производительность труда, в состав которых включаются: недостатки в организации труда, перебои в материально-техническом обеспечении рудового процесса, неблагоприятные природно-климатические условия, плохая трудовая дисциплина и др.
По уровню влияния выделяют внешние и внутренние факторы производительности труда. Внешние связаны с изменением ассортимента продукции в соответствии с изменяющимся спросом на рынке, изменяющиеся социально-экономические условия в обществе, уровень кооперации с другими предприятиями и др. Внутренние факторы связаны с уровнем технической вооруженности процесса труда, с эффективностью систем стимулирования труда, то есть это те факторы, которые обусловлены качеством организации предпринимательской деятельности.
По внутреннему содержанию все факторы принято объединять в следующие основные группы:
1) материально-технические факторы: механизация и автоматизация производства; освоение и применение прогрессивных технологий; сокращение затрат живого труда; экономия всех видов ресурсов; углубление специализации оборудования и др.;
2) организационные факторы. Среди них выделим основные: организация материально-технического снабжения; организационно-техническая подготовка производства; рациональное разделение и кооперация труда; улучшение условий труда; рациональная расстановка и эффективное использование кадров предприятия и др.;
3) социально-экономические факторы: уровень квалификации работников, их мотивация к активному труду; отношение работников к труду и трудовая дисциплина; изменение форм собственности на средства производства; развитие производственной демократии на предприятии;
4) экономико-правовые и нормативные факторы, которые призваны регулировать систему социально-трудовых отношений и быть методической основой роста производительности труда.
На производительность труда оказывают влияние еще два важнейших фактора, которые требуют особого внимания. Это интенсивность и напряженность труда.
Интенсивность труда представляет собой скорость расходования человеческой энергии, и измеряется затратами нервной и мускульной энергии человека в единицу рабочего времени.
Напряженность труда представляет собой степень интенсивности труда по отношению к ее максимальной величине, принимаемой за единицу (как границы максимально допустимых возможностей человека).
13. Интенсивность и производительность труда
Важное место в теории производительности труда занимает место вопрос о взаимосвязи и соотношении производительности и интенсивности труда. С одной стороны, это две органические связанные между собой категории, с другой – между ними имеются различия.
Производительность труда – показатель экономической эффективности трудовой деятельности работников. От уровня и динамики производительности руда зависят развитие общества и уровень благосостояния всех его членов. Более того, уровень производительности туда определяет и способ производства.
Интенсивность труда – это количество энергии, расходуемое организмом человека в единицу времени в процессе труда. Она характеризуется расходом калорий в час или сутки.
Взаимосвязь категорий производительности и интенсивности труда проявляется прежде всего в том, что производительность труда всегда предполагает определенную интенсивность и напряженность труда, так как всякий труд независимо от его специфической формы требует затрат физической, умственной и нервной энергии человека. Для выполнения любой работы необходимо приложить определенные усилия, поэтому в производственном процессе производительность и интенсивность неразрывно связаны.
Различие данных категорий состоит в следующем. Производительность труда показывает плодотворность, эффективность труда, а интенсивность труда представляет собой энергии, расходуемое человеком в процессе труда в единицу времени. Повышение производительности труда означает, что та же масса труда воплощается в большом количестве потребительных стоимостей, а повышение интенсивности труда свидетельствует об увеличении расхода человеческой энергии в единицу рабочего времени и следовательно, об увеличении массы труда, затрачиваемой в определенное время.
Производительность и интенсивность труда оказывают различное влияние на величину стоимости продукта. Повышение производительности труда увеличивает количество произведенных продуктов и соответственно уменьшает стоимость одного изделия, но не изменяет их общей вновь созданной стоимости, в то время как рост интенсивности труда увеличивает количество произведенных продуктов и общую вновь созданную стоимость, но не изменяет стоимости единицы продукции. В процессе труда при росте его интенсивности увеличиваются затраты энергии в единицу времени и соответственно возрастает количество вырабатываемой продукции. Поскольку на единицу продукции приходиться столько же труда, сколько до его интенсификации, поскольку стоимость единицы продукции остается неизменной. Общая же стоимость вновь созданной продукции увеличивается, так как увеличивается количество продукции, т. е. она растет прямо пропорционально повышению интенсивности труда. В случае, когда количество произведенной продукции увеличивается без повышения интенсивности труда, а только за счет снижения затрат труда на единицу продукции, стоимость одного изделия уменьшается, зато общая стоимость продукции остается неизменной.
Производительность труда может повышаться беспредельно. Рост производительности труда обуславливается совершенствованием техники, улучшением организации производства и труда, повышением квалификации работника, развитием науки и применением ее достижений в производстве, т. е. ограничения роста производительности труда практически отсутствую. Что же касается роста интенсивности труда, то он имеет свой предел – некоторые физиологические и социальные границы, за которыми разрушаются все нормальные условия воспроизводства и функционирования рабочей силы.
14. Резервы повышения производительности труда
Резервы роста производительности труда – это возможность более полного использования производительной силы труда, всех факторов повышения его производительности за счет совершенствования техники, технологии, улучшения организации производства, труда и управления. Резервы тесно связаны с факторами роста производительности труда. Если тот или иной фактор рассматривать как возможность, то использование связанного с ним резерва – это процесс превращения возможностей в действительность.
Резервы роста производительности труда объединить в следующие группы:
1) резервы, образующиеся в результате влияния материально-технических факторов (неполное использование средств труда по времени и производственной мощности, недоиспользование возможностей технологии и прогрессивных видов сырья и др.);
2) резервы, связанные с влиянием организационных факторов производства (недостатки в управлении и организации трудом и производством);
3) социальные резервы (неэффективное использование способностей к труду работника, его творческих способностей, низкая мотивация и дисциплина труда).
В зависимости от элементов процесса труда выделяют две группы резервов:
1) резервы улучшения использования живого труда – это все виды резервов связанных с организацией труда, с условиями труда, с кадровой политикой, с мотивацией труда;
2) резервы более эффективного использования средств труда и предметов труда, которые являются основными и оборотными фондами предприятия. В эту группу включаются резервы лучшего использования основных фондов, как по времени, так и по мощности; а также резервы комплексного использования и экономии оборотных фондов.
По признаку возможности использования все резервы делятся на резервы запаса и резервы потерь.
Резервы запаса по своей экономической природе наиболее схожи с понятием резерва вообще, так как и представляют собой неиспользованные возможности более эффективной организации труда. К резервам запаса относится, например, недоиспользование оборудования по времени, которое может быть обусловлено перебоями в загрузки работы оборудования, перебои в энергоснабжении, непроизводительное использование времени работы на этом оборудовании, недостаточная квалификация работника и др.
Резервы потерь включают потери рабочего времени, брак, перерасход всех видов энергии, сырья и материалов. Поэтому эта группа резервов связана с экономным и эффективным использованием материально-вещественных факторов производства.
К потерям рабочего времени относятся производительнее потери рабочего времени в связи с простоями, прогулами, неявками на работу; а также непроизводительные затраты труда обусловленные необходимостью исправить брак или превышающие плановые затраты труда (из-за нарушений технологии).
По месту выявления и использования все резервы делятся на:
1) общегосударственные (рациональное использование занятого населения, комплексное использование природных ресурсов);
2) региональные (возможности лучшего использования производственного потенциала региона);
3) отраслевые и межотраслевые (совершенствование использования связей между отраслями, комбинирование и концентрация производства);
4) внутрипроизводственные (резервы снижения трудоемкости и резервы лучшего использования совокупного рабочего времени).
По времени использования все резервы делятся на текущие и перспективные, основой реализации которых являются масштабные капитальные вложения на техническое перевооружение, реконструкцию или модернизацию действующего предприятия. Реализация перспективных резервов довольно длительный процесс, требующий большой подготовительной работы.
15. Показатели и методы производительности труда
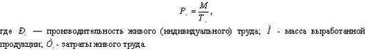
Производительность живого (индивидуального) труда выражается через затраты рабочего времени на производство единицы продукции, и рассчитывается по формуле:
Производительность труда, рассчитанная с учетом совокупных затрат труда, называется общественной производительностью труда. Общественная производительность руда рассчитывается по формуле:
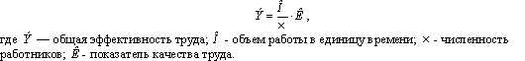
Эффективность труда обеспечивает учет качества труда и необходимость его экономного использования. Для расчета общего показателя эффективности труда можно использовать формулу:
Эффективность труда будет тем выше, чем выше производительность труда и чем меньше трудозатраты при неизменном объеме работы.
Методами измерения производительности труда являются качественно обособленные системы ее измерения.
Наиболее простым и наглядным методом измерения производительности труда является натуральный метод. Объем производимой продукции определяется в натуральных единицах (штуках, тоннах, метрах и т. п.) Уровень произведенных работ в натурально-вещественном измерении является наиболее объективным и достоверным показателем производительности труда. Посредством этого метода можно измерять и сравнивать производительность труда отдельных работников и бригад, планировать их численность, определять профессиональный и квалификационный состав, сопоставлять производительность труда разных предприятий.
Натуральный метод измерения производительности труда отличается простотой и наглядностью расчетов. Однако им нельзя пользоваться на тех участках, где производится разнородная продукция, например машины и инструменты. Кроме того, он не учитывает изменение запасов незавершенного производства.
Условно-натуральный метод расчета производительности труда удобен для применения, так как производство (продажу) многих разнообразных товаров (услуг) можно выразить через коэффициенты пересчета затрат и привести в сопоставимый вид. Такой метод также удобен, нагляден и прост в расчетах.
Трудовой (нормативный) метод измерения производительности труда состоит в том, что объем продукции или работ, выработку работника определяют в трудовом выражении, то есть в неизменных нормо-часах. Для этого объемы работ умножаются на соответствующие нормы времени, а результаты суммируются. Преимуществом трудового метода является возможность его применения ко всем видам работ и услуг. Недостатком этого метода является необходимость разработки и постоянного пересмотра норм времени в зависимости от расширения ассортимента выпускаемой продукции или изменения условий производства.
При стоимостном методе измерения производительности труда объем работы приводится в денежное выражение, путем умножения объемных показателей производства на оптовые цены соответствующих видов продукции. Стоимостной метод позволяет сравнивать производительность труда работников разных профессий, квалификаций. Достоинством этого метода являются простота исчисления, возможность сравнения уровней продуктивности труда разных производств, а также определения его динамики в разные периоды времени. Недостатком метода является влияние ценовых факторов: конъюнктуры рынка, инфляции, материалоемкости работ.
16. Сущность заработной платы и ее формирование
Заработная плата – это вознаграждение за труд в зависимости от квалификации работника, сложности, количества и условий выполняемой работы, а также выплаты компенсационного и стимулирующего характера.
В социально-экономической жизни общества заработная плата выполняет важную роль: в качестве личного дохода служит основным материальным источником жизнеобеспечения работников и их семей и в качестве совокупного платежного спроса – одним из факторов поддержания и развития производства. В условиях рыночной экономики на величину заработной платы влияет ряд рыночных и нерыночных факторов. В результате чего складывается определенный уровень оплаты труда. Определяющими факторами, влияющими на величину заработной платы, являются взаимодействие спроса на труд и его предложение, а также уровень техники, технологии и организации производства, эффективность государственной политики в этой области, степень влияния профсоюзов и др.
















