101419 (598146), страница 4
Текст из файла (страница 4)
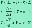
Введем понятие передаточной функции как модели динамической системы. По определению передаточная функция - это отношение выхода ко входу
Передаточная функция звена первого порядка имеет вид
.
Тогда, используя определение передаточной функции, имеем
, где "p" - значок производной (
).
Далее получим:
В разностном виде уравнение можно записать как (Yi+1 - Yi)*T+Yi*dt = k*Xi*dt. Или выразив настоящее через прошедшее Yi+1 = А* Xi +В* Yi. Здесь А и В весовые коэффициенты. А указывает на вес компоненты Х, определяющей влияние внешнего мира на систему, В указывает на вес Y, определяющей память системы, влияние на ее поведение истории.
В частности, если В=0, то Yi+1 = А* Xi и мы имеем дело с безинерционной системой, мгновенно реагирующей на входной сигнал Y=k*X и увеличивающей его в k раз. Если В=0.5, то нетрудно получить, что при постоянном входном сигнале Х, Yi+1 = А* Xi +0.5* Yi = А* Xi +0.5( А* Xi-1 +В* Yi-1) = ... = А*(1+0.5+0.52+...+0.5n)*Хi-n+0.5n+1*Yi-n = 2*A*Xi-n = k*Xi-n или, изображая на графике, получим затухающую экспоненту. Y стремится к значению входного сигнала X, умноженному на коэффициент усиления k.
Если еще усилить влияние прошлого B=1, то система начнет интегрировать саму себя (выход подан на вход системы)
Yi+1 = А* Xi + Yi добавляя все время входной сигнал, что соответствует экспоненциальному неограниченному росту выходного сигнала. По смыслу это соответствует положительной обратной связи. При B=-1, имеем модель Yi+1 = А* Xi - Yi по смыслу соответствующую отрицательной обратной связи. При определении модели требуется найти неизвестные коэффициенты k и T.
Рассмотрим звено второго порядка.
Звено второго порядка имеет три параметра.
Характеристика: плавный выход из нуля, точка перегиба и бесконечное продвижение к установившемуся состоянию.
Модель - это материальный или мысленно представляемый объект, замещающий в процессе изучения объект-оригинал, и сохраняющий значимые для данного исследования типичные его черты. Процесс построения модели называется моделированием.
Процесс моделирования состоит из трех стадий - формализации (переход от реального объекта к модели), моделирования (исследование и преобразования модели), интерпретации (перевод результатов моделирования в область реальности).
16. Модель модели. Первое определение модели. Второе определение модели
Модель - объект или описание объекта, системы для замещения (при определенных условиях предложениях, гипотезах) одной системы (т.е. оригинала) другой системы для изучения оригинала или воспроизведения его каких - либо свойств. Модель - результат отображения одной структуры на другую.
Модели, если отвлечься от областей, сфер их применения, бывают трех типов: познавательные, прагматические и инструментальные.
Познавательная модель - форма организации и представления знаний, средство соединение новых и старых знаний. Познавательная модель, как правило, подгоняется под реальность и является теоретической моделью.
Прагматическая модель - средство организации практических действий, рабочего представления целей системы для ее управления. Реальность в них подгоняется под некоторую прагматическую модель. Это, как правило, прикладные модели.
Инструментальная модель - является средством построения, исследования и/или использования прагматических и/или познавательных моделей.
Познавательные отражают существующие, а прагматические - хоть и не существующие, но желаемые и, возможно, исполнимые отношения и связи.
По уровню, "глубине" моделирования модели бывают эмпирические - на основе эмпирических фактов, зависимостей, теоретические - на основе математических описаний и смешанные, полуэмпирические - использующие эмпирические зависимости и математические описания.
Математическая модель М описывающая ситему S (x1,x2,...,xn; R), имеет вид: М=(z1,z2,...,zm; Q), где ziÎZ, i=1,2,...,n, Q, R - множества отношений над X - множеством входных, выходных сигналов и состояний системы и Z - множеством описаний, представлений элементов и подмножеств X, соответственно.
Основные требования к модели: наглядность построения; обозримость основных его свойств и отношений; доступность ее для исследования или воспроизведения; простота исследования, воспроизведения; сохранение информации, содержавшиеся в оригинале (с точностью рассматриваемых при построении модели гипотез) и получение новой информации.
Проблема моделирования состоит из трех задач: построение модели (эта задача менее формализуема и конструктивна, в том смысле, что нет алгоритма для построения моделей); исследование модели (эта задача более формализуема, имеются методы исследования различных классов моделей); использование модели (конструктивная и конкретизируемая задача).
Модель М называется статической, если среди xi нет временного параметра t. Статическая модель в каждый момент времени дает лишь "фотографию" сиcтемы, ее срез.
Модель - динамическая, если среди xi есть временной параметр, т.е. она отображает систему (процессы в системе) во времени.
Модель - дискретная, если она описывает поведение системы только в дискретные моменты времени.
Модель - непрерывная, если она описывает поведение системы для всех моментов времени из некоторого промежутка времени.
Модель - имитационная, если она предназначена для испытания или изучения, проигрывания возможных путей развития и поведения объекта путем варьирования некоторых или всех параметров xi модели М.
Модель - детерминированная, если каждому входному набору параметров соответствует вполне определенный и однозначно определяемый набор выходных параметров; в противном случае - модель недетерминированная, стохастическая (вероятностная).
Можно говорить о различных режимах использования моделей - об имитационном режиме, о стохастическом режиме и т. д.
Модель включает в себя: объект О, субъект (не обязательный) А, задачу Z, ресурсы B, среду моделирования С: М=.
Свойства любой модели таковы:
конечность: модель отображает оригинал лишь в конечном числе его отношений и, кроме того, ресурсы моделирования конечны; упрощенность: модель отображает только существенные стороны объекта; приблизительность: действительность отображается моделью грубо или приблизительно; адекватность: модель успешно описывает моделируемую систему; информативность: модель должна содержать достаточную информацию о системе - в рамках гипотез, принятых при построении модели.
Жизненный цикл моделируемой системы:
-
Сбор информации об объекте, выдвижение гипотез, предмодельный анализ;
-
Проектирование структуры и состава моделей (подмоделей);
-
Построение спецификаций модели, разработка и отладка отдельных подмоделей, сборка модели в целом, идентификация (если это нужно) параметров моделей;
-
Исследование модели - выбор метода исследования и разработка алгоритма (программы) моделирования;
-
Исследование адекватности, устойчивости, чувствительности модели;
-
Оценка средств моделирования (затраченных ресурсов);
-
Интерпретация, анализ результатов моделирования и установление некоторых причинно - следственных связей в исследуемой системе;
-
Генерация отчетов и проектных (народно - хозяйственных) решений;
-
Уточнение, модификация модели, если это необходимо, и возврат к исследуемой системе с новыми знаниями, полученными с помощью моделирования.
17. Множественность моделей систем. Определение понятия «проблема», «цель», «система»
Одним из основополагающих принципов моделирования сложных систем является принцип множественности моделей, заключающийся, с одной стороны, в возможности отображения многих различных систем и процессов с помощью одной и той же модели и, с другой стороны, в возможности представления одной и той же системы множеством различных моделей в зависимости от целей исследования. Использование этого принципа позволяет отказаться от подхода, когда для каждой исследуемой системы разрабатывается своя модель, и предложить новый подход, при котором разрабатываются абстрактные математические модели разного уровня (в основном базовые и локальные), используемые для исследования систем различных классов. При этом задача моделирования сводится к грамотной параметризации моделей и интерпретации полученных результатов.
Цель представляет собой сложное сочетание различных противоречивых интересов. Цель является системообразующим, интегрирующим фактором, объединяющим отдельные предметы и процессы в целостность, в систему. Это объединение происходит, исходя из того, что разрозненные предметы далеко не всегда могут служить достаточными средствами для достижения целей человека. А в объединенном виде они приобретают новое, системное, интегральное качество, которое является достаточным для реализации целей.
Система есть средство достижения цели.
Первое определение системы дополняется вторым, характеризующим ее внутреннее строение.
Общее определение системы формулируется следующим образом: «Системой называется совокупность взаимодействующих между собой элементов, выделенных из окружающей среды с определенной целью».
Проблемой называется ситуация, характеризующаяся различием между необходимым (желаемым) выходом и существующим выходом. Выход является необходимым, если его отсутствие создает угрозу существованию или развитию системы. Существующий выход обеспечивается существующей системой. Желаемый выход обеспечивается желаемой системой. Проблема есть разница между существующей и желаемой системой. Проблема может заключаться в предотвращении уменьшения выхода или же в увеличении выхода. Условие проблемы представляет существующую систему («известное»). Требование представляет желаемую систему.
18. «Черный ящик». Модель, свойства, трудности построения модели. Условия полезности модели «черного ящика»
Построение модели "черного ящика" может быть сложной задачей из-за множественности входов и выходов системы (это обусловлено тем, что всякая реальная система взаимодействует с окружающей средой неограниченным числом способов). При построении модели из них надо отобрать конечное число. Критерием отбора является целевое назначение модели, существенность той ли иной связи по отношению к этой цели. Здесь, конечно, возможны ошибки, как раз не включенные в модель связи (которые все равно действуют) могут оказаться важными. Особое значение это имеет при определении цели, т.е. выходов системы. Реальная система вступает во взаимодействие со всеми объектами окружающей Среды, поэтому важно учесть все наиболее существенное. В результате главная цель сопровождается заданием дополнительных целей.
Пример: автомобиль не только должен перевозить определенное количество пассажиров или иметь необходимую грузоподъемность, но и не создавать слишком сильного шума при движении, иметь не превышающую норму токсичность выхлопных газов, приемлемый расход топлива, ... Выполнение только одной цели недостаточно, невыполнение дополнительных целей может сделать даже вредным достижение основной цели.
Модель черного ящика иногда оказывается единственно применимой при изучении систем.
Пример: исследование психики человека или влияние лекарства на организм мы воздействуем только на входы и делаем выводы на основании наблюдений за выходами в сигнал времени для пользователя, т.к. каждые часы показывают состояние своего датчика, то их показания постепенно расходятся. Выход состоит в синхронизации всех часов по показаниям некоего эталона времени (сигналы "точного времени" по радио). Включать эталон в состав часов как системы или рассматривать каждые часы как подсистему в общей системе указания времени?
19. Модель свойства системы. Элемент, подсистем, причины построения разных моделей разными экспертами
Система есть совокупность взаимосвязанных элементов, обособленная от среды и взаимодействующая с ней как единое целое.















