97394 (598089), страница 27
Текст из файла (страница 27)
Основными элементами номенклатуры Гармонизированной системы (НГС) являются система классификации и система кодирования. Система кодирования позволяет представить информацию в удобной для сбора, передачи и обработки форме, приспособить закодированную информацию к обработке на ЭВМ, обеспечить использование определенных методов поиска, сортировки и суммирования данных.
Экономические последствия применения таможенных пошлин
Используем анализ спроса и предложения для исследования экономических последствий применения таможенных пошлин.
Последствия импортной пошлины
Рисунок показывает равновесие на рынке какого-либо товара малой страны-импортера (в этом случае никакие изменения внутренних цен данного товара не повлияют на цены в других странах и/или на мировом рынке) в зависимости от различных ситуаций:
• автаркии;
• свободной торговли;
• таможенной защиты.
Линия D обозначает изменение величины потребления товара в зависимости от изменения цены Р. Линия S показывает предложение национальной промышленностью товара Q, в производстве которого страна не обладает сравнительным преимуществом (например, в стране Z — автомобилей).
В условиях автаркии отечественный спрос удовлетворяется исключительно национальным предложением S, внутренняя сбалансированная цена равна Рс, количество проданных и потребленных товаров — OQc.
В условиях свободной торговли мировое предложение описывается горизонтальной прямой, ордината которой — мировая цена Р„. Предположим, что экономика страны Z открыта для мировой торговли и предприниматели другой страны, имеющие сравнительное преимущество в производстве автомобилей и доминирующие на мировом рынке, начали реализовывать свою продукцию в данной стране. В условиях свободной торговли внутренняя цена не отличается от мировой цены Pw. При этой цене внутреннее потребление составит Dw, внутреннее производство S». Разница между двумя этими величинами (D» — S») отражает объем импорта.
Допустим, что речь идет об импорте автомобилей из Японии (все российское автомобилестроение производит автомашин меньше, чем любая японская или американская фирма. Схожая ситуация в тяжелом машиностроении, авиастроении, радиоэлектронике и др. Например, кондитерская фабрика «Красный Октябрь» не может противостоять гиганту «Марс» с его филиалами в десятках стран, чьи расходы только на рекламу и НИОКР превышают валовые обороты нашего акционерного общества). Приобретая товар по относительно низкой мировой цене, потребители получают выигрыш, размер которого может быть измерен как площадь между кривой спроса и линией мировой цены.
В условиях таможенной защиты в стране Z вводится пошлина на каждую единицу импортируемых автомобилей Г, равная Р«Р,. Это будет иметь ряд последствий.
1. Потребительский выигрыш от приобретения товара по мировой цене отражает площадь треугольника АРР». При введении тарифа потребительский выигрыш сокращается до площади треугольника BPPi. И разница между ними отражает потери потребителя от введения тарифа Потребление автомобилей в стране Z упадет с /)„ до D/. Объем этого сокращения может быть различным в зависимости от эластичности внутреннего спроса. Потребители будут платить больше за каждый из закупленных автомобилей D,, который обойдется им теперь по цене Р,. Введение импортного тарифа увеличивает цену на внутреннем рынке, если отечественные и импортные товары являются абсолютными заменителями (либо при несовершенном замещении товаров увеличивает цену на импортный товар сильнее).
2. Производители автомобилей в стране Z, на которых пошлина не распространяется, получат более высокую цену за единицу товара. Повышение цен на продукцию национальных производителей может и не совпасть с их повышением на импортный товар, но логика поведения национальных производителей позволяет предположить совпадение этих цен. Поскольку эта новая цена Р, выше соответствующей цены до введения пошлин или мировой цены Л,, местная промышленность увеличит масштабы отечественного производства автомобилей с S» до S,. Эффект может быть различным в зависимости от эластичности внутреннего предложения. Однако с точки зрения общества расширение местного производства (на величину S»Si) отражает тот факт, что пошлина позволила местным производителям автомобилей изъять средства из других отраслей. Возможно перераспределение ресурсов в неверном направлении. Введение тарифа увеличивает доходы производителей на величину области а. Их выигрыш не перекрывает потери потребителей (области а + b + с + d). Это связано с тем, что производители получают преимущество за счет повышения цен только в отношении отечественных товаров, тогда как потребители вынуждены платить дороже за весь приобретаемый товар — отечественный и импортный. Местные производители воспользуются как более высокой ценой, так и увеличившимся объемом продаж. Это объясняет их интерес в лоббистской деятельности по поддержке защитных пошлин.
Лобби — термин, которым обозначается система разного рода организаций (предпринимательских, профессиональных, религиозных, культурных и др.), воздействующих на принятие решений законодательной или исполнительной властью с помощью выступлений в комитетах и комиссиях парламента, организации давления массовыми потоками писем, финансированием избирательных кампаний кандидатов, прямым подкупом и т.д. Лобби отличается от политических партий тем, что не ставит целью завоевать власть, а ограничивается давлением на нее. Первоначально термин «лобби» (от англ. lobby — кулуары) применялся для обозначения вестибюля и двух коридоров в здании палаты общин британского парламента, куда депутаты уходили голосовать и где могли встретиться с другими лицами, не допускавшимися на пленарные заседания. Лоббирование — услуги по взаимодействию с государственными органами с целью создания оптимальных условий для деятельности фирмы, отрасли, группы отраслей и т.п. Оно осуществляется с помощью соответствующих механизмов, технологий и методов, обеспечивающих принятие законодательными и исполнительными органами решений, адекватных интересам определенных общественных групп. В России активные позиции в рассматриваемом отношении занимают Торгово-промышленная палата Российской Федерации, Российский союз промышленников и предпринимателей, Федерация товаропроизводителей России, Ассоциация российских банков. Отношения лоббирования возникают, например, по поводу принятия конкретных законов и иных хозяйственно-правовых актов, выделения кредитов и дотаций, выдачи лицензий и квот.
3. Пострадают иностранные производители. Внутренняя цена на их автомобили стала выше на величину P„Pi, но эта разница отчисляется в бюджет страны Z. Мировая цена после установления пошлины и, следовательно, поштучный доход зарубежных конкурентов сохранятся на уровне Р» , в то время как объемы их экспорта упадут с SwDw до S,D,.
4. Из-за сократившихся экспортных продаж зарубежные партнеры получат меньше валюты страны Z для закупки ее товаров. Как следствие, в экспортных отраслях страны Z сократится производство. Речь идет о сегментах экономики, имеющих сравнительное преимущество, дающее возможность эффективно действовать на мировых рынках.
5. Пока тариф ограничивает импорт лишь частично, т.е. не является запретительным, он приносит доход государству. Размер этого дохода равняется произведению ставки тарифа Р»Р, и объема ввозимого товара, им облагаемого S,D, (область с). Доходы от таможенных тарифов представляют собой выигрыш для страны в целом.
Доход государства от взимания тарифа остается в пределах страны. Это должно приниматься во внимание при расчете последствий для импортирующей страны от тарифного заслона наряду с выигрышем предпринимателей и потерями потребителей. Однако убытки потребителей {а + b + с + d) все равно превышают суммарную величину выигрыша производителей (а) и импортных сборов, идущих в доход государства (с). Потери потребителей, заключенные в областях b + d, не оборачиваются ничьим выигрышем. Эти области отражают чистые национальные потери. Потери страны от тарифной защиты определяются с учетом ставки тарифа PwPi и величины сокращения импорта S»Dw — S,Di. Они связаны с неэффективной деятельностью производителей, выпускающих больше товаров без увеличения конкурентоспособности, и с тем, что вследствие обложения иностранного товара импортной пошлиной потребитель вынужден либо тратить на его приобретение большую сумму денег, либо приобретать его в меньших количествах, либо и то и другое одновременно.
Область b называют производственным эффектом тарифа. Она отражает сокращение потребительского спроса в результате его переключения с более дешевой импортной на более дорогую отечественную продукцию. Область d называют потребительским эффектом тарифа. Она отражает ущерб, нанесенный потребителям импортирующей страны в результате вынужденного снижения потребления.
Внутренний спрос крупной страны может повлиять на мировые цены, если он занимает важную часть мирового спроса. Так, сокращение внутреннего спроса, вызванное введением таможенных пошлин, способно снизить мировые цены на данный товар. Он теперь будет импортироваться по новой, более низкой мировой цене и после взимания пошлины продаваться на внутреннем рынке по возросшей цене. Пошлина в этом случае приведет к улучшению условий обмена для страны-импортера, поскольку мировые цены ниже до начисления пошлины, чем после.
Выигрыш от лучших условий обмена может даже превышать чистые потери от введения таможенных пошлин. Общее положение такой страны-импортера улучшается (в ущерб стране-экспортеру), поэтому страны пытаются найти оптимальный тариф, который максимально увеличил бы чистый доход за счет разницы между выигрышем и чистыми потерями.
Такая ситуация характерна для ряда сельскохозяйственных товаров, обладающих низким уровнем эластичности потребления. Поставщик после введения импортной пошлины, опасаясь потерять большой экспортный рынок, может пойти на снижение цены, превышающее величину вводимого налога. Такое явление называется «парадоксом Мецлера», его можно представить графически.
На рис. 2 линия WS характеризует динамику предложения товара на мировом рынке до введения таможенного тарифа; линия WSn — тенденцию предложения на рынке к моменту установления тарифа Т, когда поставщики, опасаясь потерять рынки, снизили цену Р на величину р|л, превышающую величину тарифа Т; линия WSn + Т— предложение товара на рынке после установления тарифа. Параметры q, Qi, Qi показывают соответствующее количество приобретенного товара, а линия D — потребность в импортном товаре, изменяющуюся в зависимости от цены.
Последствия оптимального тарифа
При снижении цен объем расходов потребителей в связи с общим увеличением поставок с Qi до Qi будет определяться площадью прямоугольника PtDiQiQ вместо величины, равной площади PiDiQiO, а выгода для потребителей составит сумму областей a + Ь + с. Обязательным условием, при котором экспортеры оказываются готовыми пойти на такое снижение цены, выступает большая величина потребления в импортирующей стране, вводящей новые таможенные пошлины.
В качестве примера возникновения «парадокса Мецлера» могут служить поставки масла из Новой Зеландии в Великобританию — основного потребителя новозеландского масла. Вступление Великобритании в Общий рынок и последовавшее за этим увеличение ввозных пошлин заставило новозеландских поставщиков резко снизить цену даже за счет уменьшения прибыли с целью сохранения большей части английского рынка.
Таможенный тариф, как было показано, приносит дополнительный выигрыш производителям продукции, конкурирующей с импортом, и, следовательно, защищает их интересы. Однако, для того чтобы объективно оценить уровень этой защиты, следует принять во внимание, что различные производства могут быть технологически взаимосвязаны. Это означает, что, охраняя таможенным тарифом одну отрасль, государство одновременно защищает и связанные с ней отрасли производства (например, использующие ее продукцию в качестве сырья, полуфабриката для дальнейшей обработки и т.д.). Поэтому фактический уровень таможенной защиты, которой пользуется та или иная отрасль, может существенно отличаться от того номинального тарифа, которым облагается конкурирующий импорт.
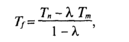
Фактический уровень таможенной защиты может быть определен по формулам:
где Т/— фактический уровень таможенной защиты, %;
V, — внутренняя добавленная стоимость после введения импортной пошлины;
V» — внутренняя добавленная стоимость при мировых ценах;
где Tf— фактический уровень таможенной защиты, процентные пункты;
Г„ — номинальный уровень таможенной пошлины на импорт конечного продукта;
Т» — номинальный уровень таможенной пошлины на компоненты материальных затрат;
Х — доля стоимости импортных компонентов материальных затрат в цене конечного продукта при отсутствии таможенного тарифа (0 <Х< 1).
Фактическая степень таможенной защиты той или иной отрасли будет совпадать с номинальным уровнем тарифа на конкурирующую импортную продукцию в случае, когда в материальных затратах этой отрасли нет импортных компонентов или когда ставка таможенной пошлины на конечную продукцию отрасли и на компоненты материальных затрат одинакова. Фактическая степень таможенной защиты будет выше номинального уровня тарифа, если ставка тарифа на конечную продукцию больше, чем на импортные компоненты материальных затрат. Кроме того, фактическая степень таможенной защиты будет тем выше, чем больше доля импортных компонентов материальных затрат в стоимости конечной продукции. Другими словами, больше защищены таможенными пошлинами те отрасли, где относительно меньше созданная добавленная стоимость. Даже если отрасль защищена таможенным тарифом, фактическая степень ее защиты может оказаться отрицательной, если ставка пошлины на компоненты материальных затрат значительно превышает ставку пошлины на конечную продукцию. Расчет фактического уровня таможенной защиты позволяет принимать решения в области внешнеторговой политики, делая ее более селективной, защищая одни отрасли и стимулируя конкуренцию в других.
Для обобщающей оценки уровня тарифных барьеров в национальной экономике используются показатели средненоминального и средневзвешенного таможенного тарифа: средне номинальный тариф на ввозимые товары исчисляется в виде среднего арифметического всех тарифных ставок. Он определяет формальный уровень импорта таможенных барьеров; средневзвешенный тариф на ввозимые товары базируется на размерах действительно взимаемых пошлин в привязке к объемным и структурным показателям фактического импорта. Он определяет реальный уровень таможенного барьера, показывающий степень защищенности внутренних рынков от иностранных товаров.
















