50420 (597478), страница 4
Текст из файла (страница 4)
На той же закладке диалогового окна (Положение) установите привязку рисунка не к абзацам текста, а к полям страницы: для свойств Положение по вертикали/по горизонтали выберите вариант «От поля» (рис. 1.14).
Рис. 1.14. Параметры положения рисунка, жестко закрепляющие его на странице
Оформление первого рисунка завершено. Для вставки второго рисунка выполните следующие действия:
-
Добавьте в документ рисунок из файла REKL2.GIF.
-
Уменьшите размер рисунка.
-
Переместите второй рисунок примерно в то место, где он должен быть.
-
Обрежьте у рисунка белые области.
-
Нужно, чтобы размеры рисунков были одинаковы. Как это сделать? Выделите первый рисунок и выберите команду Формат рисункаРазмер. Запишите значения высоты и ширины первого рисунка. Теперь выделите второй рисунок и установите те же самые значения высоты и ширины.
-
Назначьте рисунку Обтекание текстом по контуру.
-
На закладке Обтекание установите Расстояние от текста слева и справа по 0,1 см.
-
Отключите у рисунка флажок перемещения вместе с текстом и на закладке Положение установите привязку «Положение по вертикали/по горизонтали» типа «От поля» (рис. 1.14).
-
Переместите второй рисунок так, чтобы он накладывался на первый рисунок. Если потребуется, измените размеры рисунков одинаковым способом.
Аналогичным образом вставьте в документ два оставшихся рисунка.
1.4.3 Добавление надписей
В рекламном листе есть две надписи – графических объекта в виде рамок с текстом. Внутри объекта-надписи можно поместить любое количество абзацев текста. Надпись является графическим объектом, расположенным поверх текста.
Ниже подробно описано, как сделать надпись в центральной части рекламного листа.
Если панель инструментов Рисование отсутствует, включите ее (команда ВидПанели инструментов). Выберите инструмент Надпись (рис. 1.15) и нарисуйте прямоугольник слева от последнего рисунка. Размеры надписи можно будет изменить в любой момент. Назначьте надписи параметры обтекания текстом так же, как делали это для рисунков.
Рис. 1.15. Кнопка Надпись на панели инструментов Рисование
Внутри надписи напечатайте текст шрифтом 11 пт, полужирный, курсив. Выровняйте абзац по ширине.
Подберите размеры и расположение надписи. На небольшие расстояния выделенную надпись удобно перемещать клавишами курсора.
С помощью объектного меню надписи вызовите окно свойств (щелкните правой кнопкой на рамке надписи и выберите команду Формат надписи). В окне свойств на закладке Цвета и линии установите серый цвет заливки и увеличьте толщину линии обрамления до 1,5 пт.
Теперь сделайте вторую надпись в нижней части рекламного листа. Слова «Предложения по сотрудничеству» внутрь надписи можете перенести из нижней части документа с помощью буфера обмена (командами ПравкаВырезать / ПравкаВставить). Выровняйте абзац внутри надписи по центру.
Завершение оформления
Сравните свой документ с образцом в режиме предварительного просмотра. Устраните различия. Если документ не помещается на одном листе, возможно, следует уменьшить размеры рисунков и надписей.
2. Работа с Microsoft Excel
2.1 Основы работы в MS Excel
Знакомство с приложением MS Excel. Приобретение элементарных навыков работы в среде пакета. Ввод и редактирования данных.
Основные принципы ввода и редактирования данных изложены во многих книгах по основам работы в MS Excel. Рассмотрим работу в среде пакета на конкретном примере.
Пример 2.1.
-
Ввести данные указанные в таблице на первый рабочий лист.
| I | II | III | |
| a | 5,4 | 1,9 | 1,7 |
| b | 5 | 3 | 7 |
| c | 4,2 | 15,1 | 3,72 |
| m | 0,35 | 0,36 | 0,73 |
| n | 23,73 | 14,78 | 11,23 |
-
Добавить заголовок, расположив его по центру таблицы, шапку таблицы набрать полужирным шрифтом, первый столбец – курсивом. Шапку и первый столбец выполнить в цвете (шрифт и фон). Оформить таблицу с помощью обрамления.
-
Переименовать лист книги по смыслу введенной информации.
-
Скопировать таблицу на второй лист книги, дальнейшие действия выполнять на втором листе книги.
-
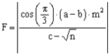
Выполнить вычисления по формуле:
-
Используя «Мастер функций» вычислить сумму и среднее арифметическое для трех наборов данных.
-
Увеличить размер шрифта в полученных результатах вычислений.
-
Сохранить файл.
2.1.1 Реализация поставленной задачи
Введем исходные данные на первый рабочий лист MS Excel. Для этого в ячейки A2, A3, A4, A5 и A6 введем имена переменных: a, b, c, n и m. В ячейки B1, С1 и D1 введем номера наборов данных: I, II, III. Затем заполним ячейки B2:D6 в соответствии с заданной таблицей. Фрагмент рабочего листа MS Excel будет иметь вид, изображенный на рис. 2.1.
Рис. 2.1
Для того, чтобы можно было добавить к полученной таблице заголовок, необходимо вначале добавить пустую строку. Установим курсор в ячейку А1 и выполним команду Вставка
Строки или команду контекстного меню Добавить ячейки…, выполнение которой влечет за собой появление окна изображенного на рис. 2.2.
Рис. 2.2
Отметим, что для того, чтобы добавить пустой столбец можно воспользоваться командами Вставка
Строки или Добавить ячейки…
Введем фразу «Лабораторная работа» в ячейку А1, которая теперь свободна, т. к. вся таблица сместилась вниз на одну строку. Для оформления заголовка выделим ячейки А1:D1 (см. рис. 2.3). Затем выполним команду Формат
Ячейки
Выравнивание и установим опции «Объединение ячеек» и «По центру» , либо воспользоваться соответствующими кнопками на панели инструментов
,
.
Рис. 2.3
Для обрамления таблицы необходимо выделить всю таблицу и в контекстном меню выбрать пункт Формат ячеек…, а в открывшемся диалоговом окне вкладку Граница, либо воспользоваться кнопкой «Границы»
на панели инструментов.
Изменение шрифта осуществляется с помощью пункта меню Формат
Ячейки…
Шрифт, либо с помощью кнопок «Полужирный», «Курсив», «Подчеркивание» на панели инструментов
.
Изменение цвета шрифта и фона выполняется с помощью пункта меню Формат Ячейки…
Шрифт, Формат
Ячейки…
Вид, либо с помощью кнопок «Цвет заливки», «Цвет шрифта» на панели инструментов
.
Изменение типа, фона и цвета шрифта происходит в текущей ячейке или в выделенной области. Например, в нашем случае, для изменения типа шрифта необходимо выделить диапазон A1:D2 и воспользоваться кнопкой «Полужирный», затем выделить диапазон А3:А7 и нажать кнопку «Курсив».
Переименовать лист можно несколькими способами:
-
с помощью пункта меню Формат
Лист
Переименовать; -
щелкнуть правой клавишей мыши на ярлыке листа, в появившемся контекстном меню выбрать пункт Переименовать;
-
щелкнуть дважды левой клавишей мыши на ярлыке листа.
Копирование (перенос) таблицы на активный, или любой другой лист данной рабочей книги, можно выполнить несколькими способами, предварительно выделив необходимый диапазон ячеек (в нашем случае это А1:D10):
-
с помощью пункта главного меню Правка
Копировать (Правка
Вырезать) -
с помощью пункта контекстного меню Копировать (Вырезать)
-
воспользовавшись кнопкой «Копировать»
(«Вырезать»
) на панели инструментов
Затем необходимо установить курсор в ячейку, в которой будет находиться левый верхний угол копируемой (перемещаемой) области и выполнить одну из команд:
-
пункт главного меню Правка
Вставить -
пункт контекстного меню Вставить
-
воспользоваться кнопкой «Вставить»
на панели инструментов.
Для нашего примера последовательность действий будет выглядеть следующим образом:
-
выделим область А1:D7;
-
выполним команду Правка
Копировать; -
перейдем на Лист 2, щелкнув по ярлыку листа левой кнопкой мыши;
-
установим курсор в ячейку А1 на Листе 2;
-
выполним команду Правка
Вставить.
Чтобы вычислить значения F, S и SR для первого набора данных в ячейки А8:А10 введем соответствующие имена переменных (см. рис. 2.4). Затем введем следующие формулы:
В8=(COS (ПИ()/3)*(B3-B4)*B6^2)/(B5-B7^0,5), для вычисления значения F по заданной формуле;
В9=СУММ (B3:B7), для вычисления сумы значений первого набора данных;
В10=СРЗНАЧ (B3:B7), для вычисления среднего значения первого набора данных;
Рис. 2.4
Вычисление значений F, S и SR для двух других наборов данных произойдет автоматически, если формулы из ячеек В8, В9 и В10 скопировать в следующие по строке ячейки. Сделать это можно при помощи маркера автозаполнения – черная точка в нижнем правом углу ячейки. Например, для копирования формулы из ячейки В8, ее необходимо выделить, затем установить курсор в маркер автозаполнения (добиться того, чтобы он принял вид черного крестика) и удерживая левую кнопку мыши заполнить необходимый диапазон, в нашем случае это ячейки С8 и D8. Копирование формул из ячеек В9 и В10 происходит аналогично (см. рис. 2.4).
Для того чтобы изменить размер шрифта можно воспользоваться командой главного меню Формат
Ячейки…
Шрифт, командой контекстного меню Формат ячейки…
Шрифт или соответствующей кнопкой на панели инструментов
. В нашем случае необходимо выделить диапазон А8:D10, выполнить одну из перечисленных выше команд и установить необходимый размер шрифта.
Сохранить созданный файл можно нескольким способами:
-
при помощи команды главного меню Файл
Сохранить; -
при помощи команды контекстного меню Сохранить;
Если файл сохраняется впервые, то на экране появится диалоговое окно, в котором пользователю будет предложено указать имя, под которым будет храниться файл. При всех последующих сохранениях, в файл вносятся соответствующие изменения, и он сохраняется под тем же именем.
Для того, чтобы открыть уже созданный файл, можно использовать один из следующих способов:
-
выполнить команду главного меню Файл
Открыть; -
выполнить команду контекстного меню Открыть;
-
использовать соответствующую кнопку на панели инструментов
.
Выполнение одной из этих команд приведет к появлению диалогового окна, в котором можно будет указать или выбрать из списка имя необходимого файла.
2.2 Создание и редактирование таблиц, построение диаграмм
Изучение возможностей пакета MS Excel при создании и редактировании таблиц. Приобретение навыков работы с таблицами и формулами.















