48200 (597386), страница 2
Текст из файла (страница 2)
Рис.1.2. Структура цикла «пока»
Рис.1.3. Структура цикла «до»
Рис.1.4. Нахождение суммы трех чисел
Рис.1.5. Нахождение наибольшего из трех чисел.
Эти структуры можно комбинировать одну с другой - как путем организации их следований, так и путем создания суперпозиций (вложений одной структуры в другую) - сколь угодно разнообразно для выражения логики алгоритма решения любой задачи. Используя описанные структуры, можно полностью исключить использование каких-либо еще операторов условного и безусловного перехода, что является важным признаком структурного программирования. Направление выполнения команд часто изображают сверху вниз. На рис.1.24 - 1.26 приведены простейшие примеры структурной реализации алгоритмов работы с величинами.
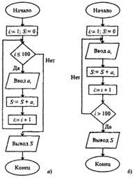
Рис.1.6. Нахождение суммы 100 чисел.
Умение образовывать из базовых структур их суперпозиции в соответствии с условиями конкретной задачи - одно из важнейших в программировании. Допустим, надо ввести в память компьютера 100 чисел и по дороге отсуммировать те из них, которые положительны. Ясно, что ввод - операция циклическая, а внутри этого цикла находится развилка, в которой проверяется знак числа и производится суммирование. Схематически соответствующая суперпозиция изображена на рис.1.27.
Так как выражение, управляющее циклом, проверяется в самом начале, то в случае, если условие сразу окажется ложным, операторы циклической части «a» могут вообще не выполняться. Операторы циклической части «а» должны изменять переменную (или переменные), влияющие на значение логического выражения, иначе программа «зациклится» - будет выполняться бесконечно. Рассмотренная циклическая конструкция называется также цикл «пока», или «цикл с предусловием».
Существует и иная конструкция цикла, которая предусматривает проверку условия, по которому, наоборот, выполнение команд циклической части прекращается, после команд циклической части (см. рис.1.23).
Рис 1.7. Алгоритм типа развилка, вложенная в цикл, для нахождения суммы положительных чисел из 100 возможных.
Схематические изображения нескольких суперпозиций базовых алгоритмических структур представлены ниже на рис.1.28-1.31.
Еще одним важным компонентом структурного подхода к разработке алгоритмов является модульность. Модуль - это последовательность логически связанных операций, оформленных как отдельная часть программы. Использование модулей имеет следующие преимущества:
1) возможность создания программы несколькими программистами;
2) простота проектирования и последующих модификаций программы;
3) упрощение отладки программы - поиска и устранения в ней ошибок;
4) возможность использования готовых библиотек наиболее употребительных модулей.
Но, пожалуй, самым важным достижением структурного подхода к разработке алгоритмов является нисходящее проектирование программ, основанное на идее уровней абстракции, которые становятся уровнями модулей в разрабатываемой программе. На этапе проектирования строится схема иерархии, изображающая эти уровни. Схема иерархии позволяет программисту сначала сконцентрировать внимание на определении того, что надо сделать в программе, а лишь затем решать, как это надо делать. При нисходящем проектировании исходная, подлежащая решению задача разбивается на ряд подзадач, подчиненных по своему содержанию главной задаче. Такое разбиение называется детализацией или декомпозицией.
| Рис. 1.8. Алгоритм типа «цикл, вложенный в неполную развилку» | Рис. 1.9. Алгоритм типа «цикл в цикле» |
| Рис.1.10. Алгоритм типа «развилка в развилке» | Рис. 1.11. Иллюстрация трехкратного вложения одной базовой структуры в другую |
На следующем этапе эти задачи, в свою очередь, разбиваются на более мелкие подчиненные подзадачи и так далее, до уровня относительно небольших подзадач, вторые требуют для решения небольших модулей в 3 - 5 строк. Такой метод роектирования программ позволяет преодолевать проблему сложности разработки программы (и ее последующей отладки и сопровождения).
3. НОВЕЙШИЕ МЕТОДОЛОГИИ РАЗРАБОТКИ ПРОГРАММ ДЛЯ ЭВМ
Структурный подход сыграл огромную роль в программировании и вычислительной технике. С его использованием создан большой запас программного обеспечения, решено множество практически значимых задач. Однако, развитие программирования на этом не остановилось. Сегодня дополняющим структурное программирование, создающим основу для разработки современных аудиовизуаль-программных комплексов стало объектное (иногда говорят объектно-ориентированное) программирование, а противостоящим ему при решении определенных классов задач является декларативное программирование, выраженное двумя разными подходами - функциональным и логическим.
Здесь мы ограничимся кратчайшей характеристикой этих направлений, более детально описанных в гл.3.
Само структурное программирование, наиболее отчетливо выраженное в языке Паскаль (PASCAL), возникло в ходе развития процедурно-ориентированного подхода, заложенного в исторически первом из языков программирования - Фортране (FORTRAN). Во всех языках этого направления разработчик алгоритма (он же, как правило, и программист) описывает, какими действиями следует реализовать процесс. В основе языков этой группы лежат понятия команд (операторов) и данных. Отдельные группы операторов могут объединяться во вспомогательные алгоритмы (процедуры, подпрограммы).
Объект - основное понятие объектного программирования - в первом приближении похож на процедуру. Однако, процедура (подпрограмма)"оживает» лишь внутри той программы, к которой она относится, а объект может вести себя вполне независимо. Он может относиться к иной предметной области нежели основная программа, быть исполненным в ином стиле. Объекты достаточно причудливо связываются друг с другом, могут перенимать свойства друг у друга («наследование»). В объектно-ориентированном подходе исходная задача представляется как совокупность взаимодействующих объектов. Наиболее популярные реализации объектного программирования созданы на основе языков Паскаль, Бейсик (BASIC).
Декларативный подход в разработке компьютерных программ появился в начале 70-х годов. Он не получил столь широкого применения как процедурный, поскольку был направлен на относительно узкий круг задач искусственного интеллекта. При его применении программист описывает свойства исходных данных, их взаимосвязи, свойства, которыми должен обладать результат, а не алгоритм получения результата. Разумеется, для получения результата этот алгоритм все равно нужен, но он должен порождаться автоматически той системой, которая поддерживает декларативно-ориентированный язык программирования. При логическом варианте такого подхода (прежде всего это относится к языку Пролог, PROLOG) задача описывается совокупностью фактов и правил в некотором формальном логическом языке, при функциональном варианте - в виде функциональных соотношений между фактами (язык Лисп, LISP).
Процедурно-ориентированное программирование развивается и в другом направлении - так называемого, параллельного программирования. В привычных алгоритмах и программах действия совершаются последовательно одно за другим. Однако, логика решения множества задач вполне допускает одновременное выполнение нескольких операций, что ведет к многократному увеличению эффективности. Реализация параллельных алгоритмов на ЭВМ стала возможной с появлением многопроцессорных компьютеров, в которых специалисты видят будущее вычислительной техники.
















