47406 (597337), страница 7
Текст из файла (страница 7)
Для нахождения G необходимо знать общее число N оценок дисперсий и так называемое число степеней свободы
, связанных с каждой из них, причем
Опыты считаются воспроизводимыми, когда выполняется условие
Если опыты невоспроизводимы, то можно попытаться достигнуть воспроизводимости путем выявления и устранения источников нестабильности эксперимента, а также за счет использования более точных измерительных приборов.
Наконец, если никакими способами невозможно обеспечить воспроизводимость, то математические методы планирования к такому эксперименту применять нельзя.
Если при проведении эксперимента опыты дублируют и пользуются средними значениями функции отклика
то при обработке экспериментальных данных следует использовать
В тех случаях, когда из-за недостатка времени, большой трудоемкости или высокой стоимости эксперимента опыты не дублируют, при обработке экспериментальных данных используют
Таким образом, вычисления, связанные с проверкой воспроизводимости опытов, достаточно просты. Для их проведения достаточно использовать микрокалькулятор.
Полный факторный эксперимент
Под математическим описанием технологического процесса обычно понимают систему уравнений, связывающих функции отклика с влияющими факторами. В простейшем случае это может быть одно уравнение. Часто математическое описание называют математической моделью.
С помощью математических методов планирования эксперимента можно получить математическую модель технологического процесса даже при отсутствии сведений о механизме его протекания. Это в ряде случаев бывает очень полезно.
Рис. 21 Введение кодированных переменных
На основе планирования эксперимента возможно моделировать химический состав продукта, его выход, усвояемость и др. показатели качества продукта или правильным термином «факторы».
Математические модели, получаемые с помощью методов планирования эксперимента, принято называть экспериментально-статистическими.
Метод полного факторного эксперимента дает возможность получить математическое описание пищевого технологического процесса в некоторой области факторного пространства, лежащей в окрестности выбранной точки с координатами
где
- число факторов).
Перенесем начало координат факторного пространства в данную точку рис. 21. С этой целью введем новые переменные величины
где
— выбранный нами масштаб по оси
Величины
не имеют размерностей и называются кодированными переменными.
С помощью полного факторного эксперимента ищут математическое описание технологического процесса в виде уравнения
В него входит свободный член
члены в виде произведений коэффициентов регрессии
на
и члены, содержащие парные произведения кодированных переменных. Таким образом, это — неполное квадратное уравнение.
Все факторы в ходе полного факторного эксперимента варьируют на двух уровнях, соответствующих значениям кодированных переменных
и
.
В табл. 13 приведены условия опытов полного двухфакторного эксперимента. Часть таблицы, обведенная штриховыми линиями, называется матрицей планирования.
Таблица 13 Условия полного двухфакторного эксперимента
| Номер опыта | Факторы | Функция отклика | |
| X | X2 | ||
| 1 | -1 | -1 | y1 |
| 2 | +1 | -1 | y2 |
| 3 | -1 | +1 | y3 |
| 4 | +1 | +1 | y4 |
Матрица содержит полный набор всех возможных комбинаций уровней варьирования факторов. Отсюда полный факторный эксперимент получил свое название.
Как следует из рис. 22, результаты опытов, приведенные в табл. 13, соответствуют на факторной плоскости вершинам квадрата с центром в начале координат.
Рис. 22. Полной двухфакторной эксперимент на плоскости
В табл. 14 приведены условия опытов полного трехфакторного эксперимента. Эти опыты соответствуют в факторном пространстве вершинам куба с центром в начале координат.
Основные принципы построения матриц планирования полного факторного эксперимента: 1) уровни варьирования первого фактора чередуются от опыта к опыту; 2) частота смены уровней варьирования каждого последующего фактора вдвое меньше, чем у предыдущего.
Таблица 13 Условия полного трехфакторного эксперимента
| Номер опыта | Факторы | Функция отклика | |||
| X1 | X2 | X3 | |||
| | - 1 | - 1 | -1 | y1 | |
| | + 1 | - 1 | - 1 | y2 | |
| | - 1 | + 1 | - 1 | y3 | |
| | + 1 | + 1 | - 1 | y4 | |
| | - 1 | - 1 | + 1 | y5 | |
| | + 1 | -1 | + 1 | y6 | |
| | - 1 | + 1 | + 1 | y7 | |
| | + 1 | + 1 | + 1 | y8 | |
Общее число опытов полного факторного эксперимента:
где n — число факторов.
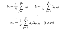
На основании результатов полного факторного эксперимента вычисляют коэффициенты регрессии, пользуясь следующими формулами:
Некоторые из коэффициентов регрессии могут оказаться пренебрежимо малыми - незначимыми. Чтобы установить, значим коэффициент или нет, необходимо прежде всего вычислить оценку дисперсии, с которой он определяется:
Следует отметить, что по результатам полного факторного эксперимента все коэффициенты определяются с одинаковой погрешностью.
Принято считать, что коэффициент регрессии значим, если выполнено условие
где
— значение критерия Стьюдента, взятое из табл. 15.
Для пользования табл. 15 необходимо знать число степеней свободы
связанное с оценкой дисперсии
Таблица 15 Значения критерия Стьюдента
| f | t |
| 1 | 12,71 |
| 2 | 4,30 |
| 3 | 3,18 |
| 4 | 2,78 |
| 5 | 2,57 |
| 6 | 2.45 |
| 7 | 2,36 |
| 8 | 2,31 |
| 9 | 2,26 |
| 10 | 2,23 |
Если проверка показала, что коэффициент регрессии незначим, то соответствующий член можно исключить из уравнения.
Получив уравнение регрессии, следует проверить его адекватность, то есть способность достаточно хорошо описывать поверхность отклика и прогнозировать результаты опытов. Для проверки адекватности вычисляют оценку дисперсии адекватности по формуле
Здесь
— число значимых коэффициентов регрессии;
— экспериментальное и расчетное значение функции отклика в
опыте;
— число опытов полного факторного эксперимента.
С оценкой дисперсии адекватности связано число степеней свободы
Затем находят расчетное значение критерия Фишера:
Уравнение регрессии считается адекватным, если выполняется условие
где
— критическое значение критерия Фишера табл. 16.
Для пользования табл. 19 необходимо знать числа степеней свободы, связанных с числителем и знаменателем отношения
Методом дробного факторного эксперимента
С увеличением числа учитываемых факторов резко возрастает число опытов полного факторного эксперимента.
Для нахождения коэффициентов регрессии не всегда требуется много опытов. В таких случаях можно уменьшить объем экспериментальных работ, воспользовавшись методом дробного факторного эксперимента, который известен также под названием метода дробных реплик.
1















