20590 (597046), страница 7
Текст из файла (страница 7)
Проводная связь в зависимости условии обстановки и наличия сил и средств может быть организована по направлению или по оси.
Направление проводной связи – способ организации связи между двумя пунктами управления (командирами, штабами) (Рис. 24).
Рисунок 24 Организация проводной связи по направлениям
Проводная связь, организованная по направлениям, по сравнению со связью по оси придает большую устойчивость всей системе связи, так как при повреждении какой-либо одной линии связь нарушается только с одним из пунктов управления. Кроме того, такой способ организации проводной связи обычно обеспечивает большую пропускную способность всей системы связи в целом. Однако организация связи проводными средствами по направлениям замедляет установление связи, требует повышенного расхода сил и средств и исключает маневр каналами связи между направлениями.
Ось проводной связи – способ организации связи, при котором связь старшего пункта управления (командира, штаба) с несколькими подчиненными пунктами управления (командирами, штабами) осуществляется по одной проводной линии, проложенной в направлении перемещения своего пункта управления или одного из пунктов управления подчиненных соединений (частей) Рис. 25.
Рисунок 25 Организация проводной связи по оси
На оси проводной связи обычно оборудуются опорные (вспомогательные) узлы связи, от которых прокладываются линии привязки к пунктам управления старшего штаба и подчиненных соединений (частей, подразделений).
По сравнению со связью по направлению проводная связь по оси дает значительную экономию в силах и средствах, обеспечивает более быстрое установление связи и позволяет обеспечивать маневр каналами. Недостатком этого способа является зависимость связи с несколькими пунктами управления от состояния осевой линии. Пропускная способность оси зависит от емкости осевой линии.
Проводная связь по направлениям имеет более широкое применение в обороне, в исходном положении для наступления и при расположении войск на месте.
При прокладке линий связи для предохранения их от повреждений используются складки местности, траншеи, ходы сообщения, а на подходах к узлам связи и пересечениях с маршрутами движения транспорта и танков линии зарываются в землю или укладываются в ровики.
1.5.4 Связь подвижными средствами
В качестве подвижных средств связи используются вертолеты, бронетранспортеры, автомобили и мотоциклы.
Подвижные средства применяются для обеспечения фельдъегерско-почтовой связи с вышестоящим штабом, между пунктами управления подчиненных частей (подразделений) во всех видах боевых действий, при передвижении и расположении войск на месте.
Фельдъегерско-почтовая связь обеспечивает доставку штабам соединений, частей и подразделений практически неограниченного количества подлинных боевых документов – приказов, распоряжений, донесений и других секретных и служебных документов, а также постоянное общение личного состава между собой и населением страны путем доставки (пересылки) почтовых отправлений. Доставка документов в подлинном виде исключает возможность искажения сообщений и обеспечивает высокую скрытность их содержания.
При организации фельдъегерско-почтовой связи следует учитывать: характер местности; состояние и загруженность маршрутов, скорость и проходимость подвижных средств; местонахождения пунктов управления и посадочных площадок; необходимость охраны фельдъегерей, доставляющих почтовые отправления.
В зависимости от условий обстановки, местности, а также от наличия и состояния подвижных средств фельдъегерско-почтовая связь может быть организована по направлениям, по круговым маршрутам и по осям.
Направление фельдъегерско-почтовой связи – способ организации связи подвижными средствами между двумя пунктами управления (командирами, штабами) при котором секретные и почтовые отправления доставляются по проложенному между ними маршруту (Рис. 26).
Рисунок 26 Организация фельдъегерско-почтовой связи по направлениям
Этот способ применяется для организации фельдъегерско-почтовой связи с соединениями и частями, выполняющими наиболее важные задачи, и обеспечивает более быструю по сравнению с другими способами доставку всех видов секретных и почтовых отправлений, но требует большого количества подвижных средств и личного состава. Организация ФПС по направления находит широкое применение в оперативных объединениях и соединениях.
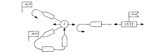
Круговой маршрут фельдьегерско-почтовой связи – способ организации связи подвижными средствами старшего пункта управления (командира, штаба) с двумя и более подчиненными пунктами управления (командирами, штабами), при котором секретные и почтовые отправления доставляются одним рейсом последовательно (поочередно) в зависимости от проложенного между ними маршрута (Рис. 27).
Рисунок 27 Организация фельдъегерско-почтовой связи по круговому маршруту
Этот способ применяется обычно при ограниченном количестве подвижных средств связи и обеспечивает доставку всех видов секретных и почтовых отправлений в более продолжительные сроки по сравнению со связью по направлениям. Он обычно находит широкое применение в соединениях и частях, а также в оперативном тылу.
Ось фельдъегерско-почтовой связи – способ организации связи подвижными средствами старшего пункта управления ' (командира, штаба) с двумя и более подчиненными пунктами управления (командирами, штабами), при котором секретные и почтовые отправления доставляются через обменный пункт, развернутый вышестоящим штабом в районе дислокации подчиненных частей (Рис. 28).
Рисунок 28 Организация фелъдъегерско-почтовой связи по оси
Этот способ применяется обычно при обеспечении ФПС с группировкой войск, действующих на отдельных направлениях, или с войсками, находящимися на значительном удалении.
Секретные и почтовые отправления доставляются фельдъегерями (посыльными) и воинскими почтальонами. Подвижные средства связи пользуются правом преимущественного движения по всем дорогам и переправам и должны иметь установленный опознавательный знак (пропуск), а фельдъегеря – удостоверения установленного образца.
При нахождении ПУ в движении станция ФПС должна быть готова принять все секретные и почтовые отправления, в том числе и доставляемые самолетами (вертолетами). С этой целью устанавливается определенный порядок обозначения станций ФПС.
Порядок адресования всех видов секретных и почтовых отправлении определяется особыми положениями. Каждому соединению (части) выдается почтовый аттестат, предназначенный для приписки с узлами и станциями ФПС или к предприятиям МС. Воинские части, входящие в состав соединения, приписываются к станции ФПС своего соединения. Части, нс входящие в состав соединения, приписываются к станциям ФПС по указанию старшего начальника связи.
1.6 Режимы работы средств связи. Дисциплина связи
В целях повышения скрытности связи и создания благоприятной электромагнитной обстановки на УС устанавливаются режимы работы излучающих средств связи и порядок использования средств связи (очередность ввода в действие линий радио-, радиорелейной, тропосферной и космической связи).
Порядок использования и режимы работы излучающих средств связи определяются командиром (начальником штаба) с учетом условии обстановки, замысла действий и указаний вышестоящего штаба (распоряжения по связи вышестоящего штаба).
Режимами работ излучающих средств связи могут быть: полное запрещение работы на передачу (режим радиомолчания); частичное разрешение работы; работа без ограничений.
В ходе подготовки боевых действий, как правило, сохраняется режим работы всех средств связи, ранее развернутых в данном районе. Полное запрещение работы излучающих средств связи на передачу (режим радиомолчания) применяется обычно по прибытии войск в новый район и в период подготовки к боевым действиям. Частичное разрешение работы средств связи на передачу означает, что в отдельных радиосетях (радионаправлениях) и т.п. допускается работа на передачу на определенное время и в определенном районе. Вводится частичное разрешение обычно при перегруппировках (выдвижении) войск, на завершающем периоде подготовки боевых действий, при отражении внезапного нападения воздушного противника и др. случаях. Необходимые ограничения и разрешения в использовании средств связи устанавливаются распоряжением по связи штаба соединения (части) в зависимости от конкретных условий обстановки, характера боевых действий войск, потребностей системы управления и проводимых мероприятий оперативной (войсковой) маскировки. Режим работы без ограничений означает, что любое излучающее устройство может работать на передачу по мере необходимости. С началом боевых действий работа средств связи осуществляется без ограничений.
Важнейшим условием обеспечения скрытности управления войсками является строгое поддержание дисциплины связи.
Дисциплина связи – есть строгое и точное соблюдение установленных режимов работы, правил установления связи и ведения переговоров (передач) по каналам связи.
Дисциплина связи достигается: твердым знанием и четким выполнением личным составом правил установления связи, ведения обмена и переговоров по средствам связи; соблюдением установленного режима работы излучающих средств связи, порядка их использования и мероприятий по радиомаскировке; высоким уровнем личной подготовки командиров, офицеров штабов по скрытому управлению войсками и использованию средств связи; установлением действенного контроля за использованием всех средств связи, особенно радио- и радиорелейных; воспитанием личного состава частей и подразделений связи в духе высокой бдительности.
Командиры и начальники всех степеней обязаны немедленно принимать меры к пресечению нарушений дисциплины связи и правил скрытого управления войсками.
1.7 Узлы и линии связи
Узлы связи (УС) являются важнейшими элементами системы связи. От их работы зависит непрерывность и устойчивость управления войсками.
УС – организационно-техническое объединение сил и средств связи и автоматизированного управления, развернутых на пункте управления или в пункте распределения (коммутации) каналов (сообщений), для обмена информацией в процессе управления войсками.
УС классифицируются по назначению, степени мобильности и степени автоматизации.
По назначению УС подразделяются на УС ПУ, опорные (ОУС) и вспомогательные узлы связи (БУС), узлы фельдъегерско-почтовой связи (УФПС) и узлы контроля безопасности связи (УКБС).
УС ПУ является его элементом и предназначен для обмена информацией с другими ПУ и обеспечения внутренней связи.
ОУС предназначены для привязки к ним УС ПУ или вспомогательных узлов связи, образования, распределения (коммутации) каналов (сообщений) и передачи их на УС ПУ иВУС.
ВУС предназначены для обеспечения связи с соединениями, частями, подразделениями и учреждениями, действующими в отрыве от основной группировки, а также для создания обходных направлений и повышения устойчивости системы связи.
УФПС – организационное объединение подвижных сил и средств связи, обеспечивающих фельдъегерско-почтовую связь (прием, обработку и доставку секретных и служебных документов, всех видов почтовых отправлений). В качестве подвижных средств связи могут использоваться автомобили, бронетранспортеры, мотоциклы, вертолеты и самолеты связи, почтовые вагоны, катера связи и другие транспортные средства.
УКБС предназначены для осуществления радиоконтроля, а также контроля за использованием связи и выполнением мероприятий по обеспечению безопасности связи, охране и обороне элементов системы связи.
По степени мобильности УС подразделяются на стационарные и подвижные.
Стационарные узлы связи (Ст.УС) оборудуются в защищенных и незащищенных сооружениях и предназначены для обеспечения управления войсками как в мирное, так и в военное время. Они должны иметь линии привязки к загородным пунктам выделения каналов государственной сети связи и стационарной опорной сети связи объединения.
Подвижные УС предназначены для обеспечения управления войсками в полевых условиях как на месте, так и движении и способны перемещаться. Они обеспечивают управление войсками в ходе боевых действий, в мирное время – при выходе войск в районы сосредоточения и на учениях. Подвижные УС оборудуются: полевые – на автомобилях, бронетранспортерах, кораблях, в железнодорожных вагонах, специальных прицепах и контейнерах, воздушные – на вертолетах и самолетах.
По степени автоматизации УС подразделяются на автоматизированные и неавтоматизированные.
Автоматизированные УС – узлы связи, на которых процессы передачи сообщений, коммутации каналов и сообщений, а также управление узлом связи автоматизированы. Неавтоматизированные УС – узлы связи, на которых коммутация каналов (линий) и абонентов производится вручную.
УС ПУ должны отвечать следующим основным требованиям: быть в постоянной готовности к передаче (приему) всех видов информации (обеспечению переговоров) в заданные сроки, с требуемой достоверностью и безопасностью; обеспечивать максимальные удобства пользования средствами связи и автоматизации; обладать высокой живучестью, разведзащищенностью и надежностью; удовлетворять требованиям электромагнитной совместимости радиоэлектронных средств, развертываемых на пункте управления; обладать высокой мобильностью и обеспечивать устойчивую связь в движении.
Средства связи и автоматизации на УС организационно и технически объединяются в отдельные элементы (группы), в основу организационно-технического построения узлов связи положены два основных принципа: объединение средств связи в отдельные элементы по типам и назначению в системе связи (по видам и родам связи); объединение разнотипных средств связи в отдельные элементы в соответствии их оперативно-тактическим предназначениям (направлснческие группы по информационным направлениям).
Организационная структура и состав УС определяется их предназначением. В состав УС ПУ соединения (части) могут входить следующие элементы: группа командно-штабных машин (КШМ); телефонная станция (ТФСт.); телеграфная станция (ТГСт.);
группа каналообразования (ГКО); группа радиостанций средней мощности (ГРСтСМ);
экспедиция; электропитающая станция (ЭПСт.); группа технического обслуживания (ГТО).
В зависимости от принадлежности, предназначения УС и условий боевой обстановки некоторые элементы могут отсутствовать или объединяться с другими элементами УС.
Группа КШМ предназначена для обеспечения связи должностными лицами ПУ непосредственно с их рабочих мест.
Телефонная станция предназначена для обеспечения абонентам засекреченной и открытой телефонной связи по каналам, образованным различными средствами, а также внутренней связи на пункте управления.
Телеграфная станция предназначена для обеспечения засекреченной и открытой телеграфной связи.
Группа каналообразования предназначена для образования каналов на линиях прямой радиорелейной, тропосферной, космической связи и приема каналов первичном сети от ОУС старшего штаба.
Группа радиостанций средней мощности предназначена для образования телефонных, телеграфных (буквопечатающих, слуховых) радиоканалов.
















