182351 (596596), страница 7
Текст из файла (страница 7)
ßê ïîêàçóº àíàë³ç ñòðóêòóðíèõ äàíèõ òàáë.2.3 – 2.4 :
à) Îñê³ëüêè âëàñíèé êàï³òàë ÏÏ “Ìîíîëèò Ïëàñò” íå ³ìîá³ë³çîâàíèé â íåîáîðîòíèõ êîøòàõ (âèêîðèñòîâóºòüñÿ ñèñòåìà îðåíäîâàíèõ ñêëàä³â ÷è òîð-ã³âëÿ «ç êîëåñ»), äæåðåëàìè îáîðîòíèõ êîøò³â ï³äïðèºìñòâà º ÿê îáîðîòíèé âëàñíèé êàï³òàë òàê ³ êîðîòêîñòðîêîâ³ áàíê³âñüê³ êðåäèòè òà êðåäèòîðñüêà çàáîðãîâàí³ñòü , òîáòî êîìåðö³éí³ êðåäèòè;
â) Îáîðîòí³ êîøòè ï³äïðèºìñòâà ïðåäñòàâëåí³ â ìàòåð³àëüí³é ôîðì³ ó âè-ãëÿä³ çàïàñ³â òîâàð³â íà ñêëàä³ (45-50%) òà ó ãðîøîâ³é ôîðì³ ó âèãëÿä³ äåá³òîð-ñüêî¿ çàáîðãîâàíîñò³ çà ðåàë³çîâàí³ òîâàðè (45-50%) òà ñóìè ãîò³âêîâèõ ãðîøåé â êàñ³ òà íà ðîçðàõóíêîâîìó ðàõóíêó â áàíêó (5,0 –6,0%);
Ñòðóêòóðà îáîðîòíèõ êîøò³â òà äæåðåë ¿õ ðåñóðñ³â º õàðàêòåðíîþ äëÿ îï-òîâèõ òîðãîâèõ ï³äïðèºìñòâ áåç çíà÷íèõ îñíîâíèõ ôîíä³â, äæåðåëà îáîðîòíèõ êîøò³â äóæå íåñò³éê³ ³ áàíêðóòîçàãðîçëèâ³, ùî ïîòðåáóº äóæå ÷³òêîãî óïðàâ-ë³ííÿ ñòðîêàìè óïðàâë³ííÿ ïîãàøåííÿì äåá³òîðñüêî¿ çàáîðãîâàíîñò³ òà ñòðî-êàìè çîáîâ’ÿçàíü ïî ïîãàøåííþ êðåäèòîðñüêî¿ çàáîðãîâàíîñò³.
Åêîíîì³÷íèé àíàë³ç âïëèâó íîðìóâàííÿ îáîðîòíèõ êîøò³â íà ô³íàí-ñîâó ñò³éê³ñòü ï³äïðèºìñòâà ïðîâîäèòüñÿ îïåðàòèâíèì ðîçðàõóíêîì àáñîëþò-íèõ ïîêàçíèê³â ô³íàíñîâî¿ ñò³éêîñò³ (êîåô³ö³ºíòó ïîêðèòòÿ çàïàñ³â îáîðîòíèìè êîøòàìè) âàðò³ñòü çàïàñ³â (Ç) ïîð³âíþºòüñÿ ç ïîñë³äîâíî ïîøèðþâàíèì ïåðåë³-êîì òàêèõ äæåðåë ô³íàíñóâàííÿ [18]:
âëàñí³ îáîðîòí³ êîøòè (ÍÂÎÊ);
âëàñí³ îáîðîòí³ êîøòè ³ äîâãîñòðîêîâ³ êðåäèòè òà ïîçèêè (ÍÂÎÊ + Äï);
âëàñí³ îáîðîòí³ êîøòè, äîâãî- òà êîðîòêîñòðîêîâ³ êðåäèòè ³ ïîçèêè (ÍÂÎÊ + Äï + ÄÔÇ).
³äïîâ³äíî äî çàáåçïå÷åíîñò³ çàïàñ³â çãàäàíèìè âàð³àíòàìè ô³íàíñóâàííÿ ìîæëèâ³ ÷îòèðè òèïè ô³íàíñîâî¿ ñò³éêîñò³ [18].
1. Àáñîëþòíà ñò³éê³ñòü - äëÿ çàáåçïå÷åííÿ çàïàñ³â (Ç) äîñòàòíüî âëàñíèõ îáîðîòíèõ êîøò³â; ïëàòîñïðîìîæí³ñòü ï³äïðèºìñòâà ãàðàíòîâàíà: Ç < ÍÂÎÊ
2. Íîðìàëüíà ñò³éê³ñòü – äëÿ çàáåçïå÷åííÿ çàïàñ³â êð³ì âëàñíèõ îáîðîòíèõ êîøò³â çàëó÷àþòüñÿ äîâãîñòðîêîâ³ êðåäèòè òà ïîçèêè; ïëàòîñïðîìîæí³ñòü ãàðàíòîâàíà:Ç < ÍÂÎÊ+Äï
3. Íåñò³éêèé ô³íàíñîâèé ñòàí – äëÿ çàáåçïå÷åííÿ çàïàñ³â êð³ì âëàñíèõ îáîðîòíèõ êîøò³â òà äîâãîñòðîêîâèõ êðåäèò³â ³ ïîçèê çàëó÷àþòüñÿ êîðîòêî-ñòðîêîâ³ êðåäèòè òà ïîçèêè; ïëàòîñïðîìîæí³ñòü ïîðóøåíà, àëå º ìîæëèâ³ñòü ¿¿ â³äíîâèòè: Ç < ÍÂÎÊ + Äï + ÄÔÇ
4. Êðèçîâèé ô³íàíñîâèé ñòàí – äëÿ çàáåçïå÷åííÿ çàïàñ³â íå âèñòà÷ຠ“íîðìàëüíèõ” äæåðåë ô³íàíñóâàííÿ; ï³äïðèºìñòâó çàãðîæóº áàíêðóòñòâî: Ç > ÍÂÎÊ + Äï + ÄÔÇ
Çàáåçïå÷åí³ñòü çàïàñ³â äæåðåëàìè ôîðìóâàííÿ º ñóòí³ñòþ ô³íàíñîâî¿ ñò³éêîñò³, ¿¿ çîâí³øí³ì ïðîÿâîì, à íàñë³äêîì º ïëàòîñïðîìîæí³ñòü (ë³êâ³äí³ñòü).
Òàáëèöÿ 2.5
Àãðåãîâàí³ ñòàòò³ áàëàíñó ÏÏ “Ìîíîëèò Ïëàñò”
 òàáë.2.5 – 2.6 íàâåäåí³ ðåçóëüòàòè îïåðàòèâíîãî ðîçðàõóíêó ñòóïåí³ ïîêðèòòÿ íîðìîâàíèõ çàïàñ³â â îáîðîòíèõ àêòèâàõ äæåðåëàìè ðåñóðñ³â.
ßê ïîêàçóþòü ðåçóëüòàòè ðîçðàõóíê³â â òàáë.2.6 â ÏÏ “Ìîíîëèò Ïëàñò” â³äñóòíº ô³íàíñîâå óïðàâë³ííÿ íîðìóâàííÿì îáîðîòíèõ àêòèâ³â, ùî ïðèâîäèòü äî ïîñò³éíî-êðèçîâîãî ñòàíó ïîêðèòòÿ íîðìîâàíèõ îáîðîòíèõ êîøò³â (çàïàñ³â) ïðè ïîâí³é â³äñóòíîñò³ âëàñíîãî îáîðîòíîãî êàï³òàëó.
Òàáëèöÿ 2.6
Ðåçóëüòàòè ðîçðàõóíêó ñò³éêîñò³ ÏÏ “Ìîíîëèò Ïëàñò” ïî ïîêðèòòþ çàïàñ³â
 òàáë. Ä.1- Ä.4 Äîäàòêó Ä íàâåäåí³ àëãîðèòìè ðîçðàõóíê³â ïîêàçíèê³â ô³íàíñîâî¿ ä³ÿëüíîñò³ ï³äïðèºìñòâà [21] ç âèêîðèñòàííÿì ôîðì ô³íàíñîâî¿ çâ³òíîñò³ – Ôîðìà 1 “Áàëàíñ” òà Ôîðìà 2 “Çâ³ò ïðî ðåçóëüòàòè ô³íàíñîâî¿ ä³ÿëüíîñò³”.
 òàáë.Å.1 - Å.5 Äîäàòêó Å íàâåäåí³ ðåçóëüòàòè ðîçðàõóíê³â êîåô³ö³ºíò³â ä³ÿëüíîñò³ ï³äïðèºìñòâà çà àëãîðèòìàìè , íàâåäåíèìè â òàáë.Ä.1 – Ä.4 Äîäàòêó Ä.
Àíàë³ç ðåçóëüòàò³â âòîðèííî¿ (êîåô³ö³ºíòíî¿) ñòàòèñòè÷íî¿ îáðîáêè áà-ëàíñîâèõ çâ³ò³â òà çâ³ò³â ïðî ô³íàíñîâ³ ðåçóëüòàòè ä³ÿëüíîñò³ ÏÏ “Ìîíîëèò Ïëàñò” çà 2003 – 2005 ðîêè, íàâåäåíèé â òàáë. Å.1 – Å.5 Äîäàòêó Å òà íà ðèñ.2.4 – 2.7.
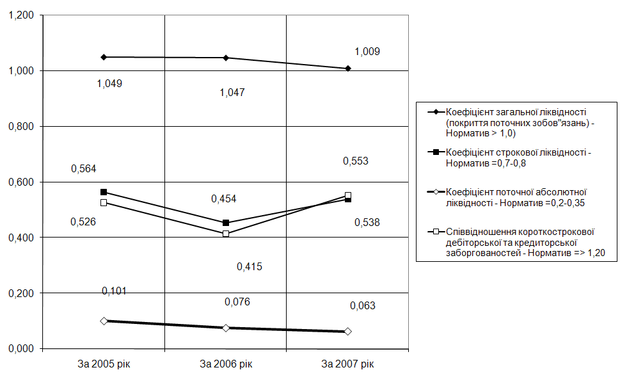
Ðèñ.2.4. Äèíàì³êà ïîêàçíèê³â ë³êâ³äíîñò³ áàëàíñó ÏÏ „Ìîíîëèò Ïëàñò”
Àíàë³ç ãðàô³ê³â, íàâåäåíèõ íà ðèñ.2.4 ïîêàçóº, ùî ó ÏÏ “Ìîíîëèò Ïëàñò”:
- ó 2005-2007 ðîêàõ ð³âåíü çàãàëüíî¿ ë³êâ³äíîñò³ íàáëèæàâñÿ äî íèæíüî¿ ìåæ³ íîðìàòèâíîãî ä³àïàçîíó, àëå òàê ¿¿ ³ íå äîñÿãàº, òîáòî çàãàëüíà ë³êâ³äí³ñòü â ï³äïðèºìñòâ³ çíàõîäèòüñÿ íà ìåæ³ ñò³éêîãî ä³àïàçîíó;
- ó 2005 –2007 ðîêàõ ð³âåíü øâèäêî¿ (ñòðîêîâî¿) ë³êâ³äíîñò³ çíàõîäèâñÿ íà 50% íèæ÷å íîðìàòèâíîãî ä³àïàçîíó, ùî ñâ³ä÷èòü ïðî ïðîáëåìè ñòðîêîâî¿ ïëàòîñïðîìîæíîñò³ ó ï³äïðèºìñòâà;
- ó 2005 –2007 ðîêàõ ð³âåíü àáñîëþòíî¿ ë³êâ³äíîñò³ çíàõîäèëèñÿ çíà÷íî íèæ÷å íîðìàòèâíîãî ä³àïàçîíó, ùî ñâ³ä÷èòü ïðî êàòàñòðîô³÷í³ ïðîáëåìè çàáåçïå÷åííÿ ìîìåíòàëüíî¿ ïëàòîñïðîìîæíîñò³ ó ï³äïðèºìñòâà;
- ó 2005 – 2007 ðîêàõ ïîêàçíèê â³äíîøåííÿ êîðîòêîñòðîêîâî¿ äåá³òîðñüêî¿ òà êðåäèòîðñüêî¿ çàáîðãîâàíîñòåé áóâ ñóòòºâî íèæ÷å çíà÷åííÿ ñò³éêîãî ä³àïà-çîíó (á³ëüøå 1,0), òîìó äëÿ ðîçðàõóíê³â ç êðåäèòîðàìè íåîáõ³äíî áóëî íå ò³ëüêè îòðèìàòè êîøòè äåá³òîðñüêî¿ çàáîðãîâàíîñò³ çà â³äïóùåí³ òîâàðè, àëå ³ ðåàë³çó-âàòè ÷àñòèíó ïðîäóêö³¿, ÿêà çíàõîäèëàñü â òîâàðíèõ çàïàñàõ òà ùå íå áóëà ïðîäàíà;
Òàêèì ÷èíîì, ó 2005 – 2007 ðîêàõ ï³äïðèºìñòâî ÏÏ “Ìîíîëèò Ïëàñò” ïî÷àëî ³ ïðîäîâæóº ñâîþ ä³ÿëüí³ñòü â â êðèçîâ³é ïîëîñ³ íåë³êâ³äíîñò³ áàëàíñó â êîðîòêîñòðîêîâèõ òà äîâãîñòðîêîâèõ ïåð³îäàõ, ùî çàô³êñîâàíî ó ðàí³øå âêàç-àíîìó ôàêò³ âèêîðèñòàííÿ ó 2005 - 2007 ðîö³ ãðîøîâî¿ ìàñè íà çàêóï³âëþ òî-âàðíèõ çàïàñ³â.
Îñê³ëüêè íà ï³äïðèºìñòâ³ ÏÏ ”Ìîíîëèò Ïëàñò” â³äñóòí³é ô³íàíñîâèé â³ää³ë, à âñ³ºþ ä³ÿëüí³ñòþ ï³äïðèºìñòâà óïðàâëÿâ â 2005 – 2007 ðîêàõ äèðåêòîð, â³í æå ãîëîâíèé áóõãàëòåð çà ñóì³ñíèöòâîì, óâàãà áóëà ñêîíöåíòðîâàíà íà ìåíåäæìåíò³, õàðàêòåðíîìó äëÿ ïðèâàòíèõ ï³äïðèºìñòâ – õàîòè÷íèé ïîøóê êðåäèòîð³â òà ïîêóïö³â áåç äåòàëüíîãî àíàë³çó ô³íàíñîâîãî ñòàíó ï³äïðèºìñòâà.
Àíàë³ç ðåíòàáåëüíîñò³ àêòèâ³â òà âëàñíîãî êàï³òàëó ÏÏ „Ìîíîëèò Ïëàñò” ïîêàçóº, ùî ä³ÿëüí³ñòü ìîæå áóòè îõàðàêòåðèçîâàíà íàñòóïíèìè òåíäåíö³ÿìè :
1. Îáîðîòè âèðó÷êè â³ä ðåàë³çàö³¿ íà ð³âí³ 0,5 ìëí.ãðí. çà ð³ê ïðè ñòàòóò-íîìó êàï³òàë³ ÏÏ “Ìîíîëèò Ïëàñò” â 500 – 2000 ãðí. äàþòü åôåêò íàäçâè-÷àéíî¿ ä³¿ îïåðàö³éíîãî òà ô³íàíñîâîãî âàæåë³â :
ÿêùî ðåíòàáåëüí³ñòü àêòèâ³â ïî âàëîâîìó ðåàë³çàö³éíîìó ïðèáóòêó ñòàíîâèòü 2 –3 %, ùî â³äïîâ³äຠð³çíèö³ ö³í ì³æ ïîêóïêîþ òà ïðîäàæåì òîâàð³â; òî ðåíòàáåëüí³ñòü âëàñíîãî êàï³òàëà ïî âàëîâîìó ðåàë³çàö³éíîìó ïðèáóòêó äîñÿãຠ180 –200 %
2. Ðåíòàáåëüí³ñòü âëàñíîãî êàï³òàëà ïî ÷èñòîìó ïðèáóòêó ï³ñëÿ îïîäàò-êóâàííÿ çíèçèëàñü ç ð³âíÿ 133% (ó 2005 ðîö³) äî 32 % ó 2006 ðîö³ òà ï³äâèùè-ëàñü çíîâ äî ð³âíÿ 135% ó 2007 ðîö³, òîáòî çíà÷íî ïåðåâèùóº ð³âåíü àëüòåð-íàòèâíî¿ äîõîäíîñò³ – äåïîçèòíî¿ ñòàâêè êîìåðö³éíèõ áàíê³â â 12 – 16 % ð³÷íèõ.
Òàêèì ÷èíîì, âèñîêîðèçèêîâà ä³ÿëüí³ñòü ÏÏ “Ìîíîëèò Ïëàñò” ç òî÷êè çîðó íåë³êâ³äíîñò³ áàëàíñó äຠâèñîê³ ð³âí³ ïðèáóòê³â, ùî â³äïîâ³äຠðèíêîâ³é ìîäåë³ “ðèçèê – äîõîäí³ñòü á³çíåñó”.
Íà ðèñ.2.6 íàâåäåí³ õàðàêòåðèñòèêè ä³ëîâî¿ àêòèâíîñò³ (øâèäêîñò³ îáîðî-òó îêðåìèõ õàðàêòåðíèõ àãðåãàò³â àêòèâ³â òà ïàñèâ³â áàëàíñó) ÏÏ „Ìîíîëèò Ïëàñò”.
Ðèñ. 2.6 Õàðàêòåðèñòèêè äèíàì³êè ïîêàçíèê³â ä³ëîâî¿ àêòèâíîñò³ ÏÏ „Ìîíîëèò Ïëàñò” ó 2005 -2007 ðîêàõ
ßê ïîêàçàíî ãðàô³êàìè ðèñ.2.6 ó 2006 ðîö³ â³äíîñíî 2005 ðîêó ç íàðîùåí-íÿì îáñÿã³â îïåðàö³é ïåð³îä îáîðîòó îáîðîòíèõ àãðåãàò³â çð³ñ â 1,4 – 2,5 ðàçè, ùî ï³äíÿëî â³äïîâ³äíî ñòðîê ô³íàíñîâîãî òà îïåðàö³éíîãîöèêëó òà ñâ³ä÷èòü ïðî çíèæåííÿ òåìï³â ä³ëîâî¿ àêòèâíîñò³ ï³äïðèºìñòâà ïðè íàðîùåíí³ îáñÿã³â ä³ÿëü-íîñò³. Ó 2007 ðîö³ â³äíîñíî 2006 ðîêó ç ïîäàëüøèì íàðîùåííÿì îáñÿã³â îïåðà-ö³é ïåð³îä îáîðîòó îáîðîòíèõ àãðåãàò³â çíèçèâñÿ çíîâ 1,4 – 2,5 ðàçè äî ð³âíÿ îáîðîòíîñò³ 2005 ðîêó, òîáòî ï³äïðèºìñòâî çíàéøëî ñò³éêèé ðèíîê çáóòó òà ð³çêî â³äíîâèëî òåìïè ä³ëîâî¿ àêòèâíîñò³ ïðè íàðîùåíí³ îáñÿã³â ä³ÿëüíîñò³.
 òîé æå ÷àñ, ñë³ä â³äì³òèòè, ùî ñòðîê îáîðîòó äåá³òîðñüêî¿ çà áîðãîâà-íîñò³ ïðàêòè÷íî â 2 ðàçè ìåíøèé, í³æ ñòðîê îáîðîòó êðåäèòîðñüêî¿ çà áîðãîâà-íîñò³, ùî êîìïåíñóº íåâèêîíàííÿ íîðìàòèâó â³äíîøåííÿ äåá³òîðñüêî¿ äî êðå-äèòîðñüêî¿ çàáîðãîâàíîñòåé .
Íà ðèñ.2.7 íàâåäåí³ ðåçóëüòàòè àíàë³çó äæåðåë ïîêðèòòÿ çàïàñ³â â ÏÏ “Ìîíîëèò Ïëàñò”.
Ðèñ.2.7. Äèíàì³êà ïîêàçíèê³â ïîêðèòòÿ çàïàñ³â äæåðåëàìè ðåñóðñ³â â ÏÏ “Ìîíîëèò Ïëàñò” ó 2005 -2007 ðîêàõ
ßê âèäíî ç ãðàô³ê³â ðèñ. 2.7 â 2005 –2007 ðîêàõ ïî ïîêðèòòþ çàïàñ³â â ÏÏ “Ìîíîëèò Ïëàñò" ô³êñóºòüñÿ êðèçîâèé ñòàí ç ïîêðèòòÿì çàïàñ³â, îñê³ëüêè â íå-îáîðîòíèõ êîøòàõ ³ìîá³ë³çîâàí³ íå ò³ëüêè âëàñíèé êàï³òàë,àëå ³ çàëó÷åí³ êîøòè áàíê³âñüêîãî êðåäèòó, òîìó áåç ï³äíÿííÿ ð³âíþ âëàñíîãî êàï³òàëó ï³äïðèºìñòâó çàãðîæóº íåë³êâ³äí³ñòü çà ðàõóíîê ìîæëèâî¿ íåë³êâ³äíîñò³ íàêîïëåíèõ çàïàñ³â.
2.2 Çàãàëüíà ïîñòàíîâêà çàäà÷³ óïðàâë³ííÿ çàïàñàìè ï³äïðèºìñòâà ÏÏ «Ìîíîëèò Ïëàñò» (ÀÂÑ+XYZ – ìåòîäîëîã³ÿ)
Àíàë³ç ABC - öå ñïîñ³á ðåñóðñíîãî äîñë³äæåííÿ, ùî ïîëÿãຠâ ïîä³ë³ ïðîäóêö³¿ íà êàòåãî𳿠A, B ³ C, ùî ñêëàäàþòü ó ñòðóêòóð³ ïðîäàæ³â 80, 15 ³ 5% â³äïîâ³äíî, ³ ïðîïîíóâàíí³ ð³çíèõ ï³äõîä³â äî êåðóâàííÿ öèìè òîâàðíèìè ãðóïàìè.
Ìåòîä ÀÂÑ çàñíîâàíèé íà øèðîêî ðîçïîâñþäæåíèì ó ïðàêòèö³ ñïîñîá³ àíàë³çó, â³äîìèì, ÿê «ïðàâèëî 80/20», ùî âïåðøå îá´ðóíòóâàâ Â.Ïàðåòî (1897ð.) [14].
Ñóòü ìåòîäó ÀÂÑ ïîëÿãຠâ òîìó, ùî â³äïîâ³äíî äî ìåòè àíàë³çó âèáèðà-ºòüñÿ êëàñèô³êàö³éíà îçíàêà. Äàë³ çä³éñíþºòüñÿ ðàíæèðóâàííÿ â ïîðÿäêó óáó-âàííÿ ö³º¿ êëàñèô³êàö³éíî¿ îçíàêè. Äî ãðóïè À â³äíîñÿòüñÿ íàéìåíóâàííÿ â ñïèñêó, ïî÷èíàþ÷è ç ïåðøîãî, ñóìà íàêîïè÷åíèõ âàðòîñòåé ÿêèõ ñêëàäຠ70-80% â³ä ñóìàðíî¿ âàðòîñò³ âñ³õ ðåàë³çîâàíèõ çà öåé ïåð³îä òîâàð³â. Äîñâ³ä ïîêàçóº, ùî çâè÷àéíî â öþ ãðóïó ïîïàäຠ10-20% óñüîãî àñîðòèìåíòó òîâàð³â.
Ó ãðóïó  ïîïàäàþòü ïðèáëèçíî òðåòèíà íàéìåíóâàíü òîâàð³â, ñóìà âàðòîñòåé ÿêèõ ñêëàäຠ15-20%.
Äî ãðóïè Ñ â³äíîñÿòüñÿ âñ³ ïîçèö³¿ àñîðòèìåíòà òîâàð³â, ùî çàëèøèëèñÿ, ñóìàðíà âàðò³ñòü ÿêèõ ñêëàäຠëèøå 5-10%. Ïðè öüîìó âàðòî íå çàáóâàòè ïðî «ÿê³ðí³ ïîçèö³¿», â³äñóòí³ñòü ÿêèõ ìîæå ïðèâåñòè äî âòðàòè ïðîäàæ³â ó ãðóï³ À àáî Â. Íà ïðàêòèö³, òàê³ ïîçèö³¿ øòó÷íî ïåðåíîñÿòü ó â³äïîâ³äí³ ãðóïè ìàñîâî¿ ÷àñòêè «çâ'ÿçàíèõ» ïîçèö³é. (ßêùî á³ëüø³ñòü çâ'ÿçàíèõ ïîçèö³é â À, òî ïåðåíî-ñÿòü â À)
³äïîâ³äíî äî ïðèíöèïó Ïàðåòî, òîâàðè ãðóïè À ï³äëÿãàþòü á³ëüø ðå-òåëüíîìó îáë³êîâ³, ïîïèò íà íèõ ïðîãíîçóºòüñÿ çà äîïîìîãîþ á³ëüø ñêëàäíèõ ìåòîäèê, á³ëüø ÷àñòî é óâàæí³øå êîíòðîëþºòüñÿ ñâîº÷àñíå ïîïîâíåííÿ öèõ çàïàñ³â öèõ òîâàðíèõ ïîçèö³é â àñîðòèìåíò³. Ó òîé ÷àñ ÿê ïîòðåáà â àêòèâíèõ òîâàðàõ âèçíà÷àºòüñÿ á³ëüø òî÷íèì ìåòîäîì ïðîãíîçóâàííÿ çáóòó, ïîòðåáà â ìàëîàêòèâíèõ òîâàðàõ ìîæå âèçíà÷àòèñÿ ìåíø òî÷íèì ³ á³ëüø äåøåâèì ñïîñîáîì îáë³êó ìèíóëîãî äîñâ³äó. Íåîïòèìàëüíå êåðóâàííÿ ìàëîàêòèâíèìè òîâàðàìè ñëàáêî âïëèâຠíà çàãàëüí³ ïîêàçíèêè êåðóâàííÿ çàïàñàìè. Ç îãëÿäó íà öå, ï³äïðèºìñòâà ÷àñòî ìîæóòü çä³éñíþâàòè çàêóï³âë³ â³äðàçó ð³÷íî¿ ïîòðåáè ïî íîìåíêëàòóð³ ìàëîàêòèâíèõ òîâàð³â.
Òàáëèöÿ 2.7
Ðîçðàõóíîê ïîêàçíèê³â ÀÂÑ-àíàë³çó ïî ðåàë³çàö³¿ àñîðòèìåíòíèõ ãðóï ïðîäóêö³¿ ÏÏ «Ìîíîëèò Ïëàñò» ó 2005 -2007 ðîêàõ (ïî îáñÿãàì ðåàë³çàö³¿)
Òàêèì ÷èíîì, âèêîðèñòàííÿ ïðèíöèïó Ïàðåòî â êåðóâàíí³ òîâàðíèìè çà-ïàñàìè îçíà÷àº, ùî âñÿ íîìåíêëàòóðà ïîä³ëÿºòüñÿ íà ãðóïè çà êðèòåð³ºì àêòèâ-íîñò³ òà âàðòîñò³ ïðîäàæ³â. Ãðóïà À, ÿê "íàéá³ëüø àêòèâíà", ï³ääàºòüñÿ ñàìîìó ðåòåëüíîìó êîíòðîëåâ³, ãðóï³ Â âèÿâëÿºòüñÿ ìåíøå óïðàâë³íñüêî¿ óâàãè, à ãðóïà Ñ îáñëóãîâóºòüñÿ "íàéìåíø àêòèâíî".
XYZ-àíàë³ç äîçâîëÿº êëàñèô³êóâàòè òîâàðíèé àñîðòèìåíò ïðîäàæ³â òîâàð³â, ðîçãëÿíóòèé ïðè ïðîâåäåíí³ ÀÂÑ-àíàë³çà, ó çàëåæíîñò³ â³ä õàðàêòåðó ¿õ ïðîäàæ ³ òî÷íîñò³ ïðîãíîçóâàííÿ çì³í ó ¿õí³é ïîòðåá³, ùî îñîáëèâî âàæëèâî äëÿ òîðãîâåëüíèõ êîìïàí³é.
Óãðóïîâàííÿ òîâàðíîãî àñîðòèìåíòó ïðè ïðîâåäåíí³ XYZ-àíàë³çó çä³é-íþºòüñÿ â ïîðÿäêó çðîñòàííÿ êîåô³ö³ºíòà âàð³àö³¿.
Äî êàòåãî𳿠X â³äíîñÿòü ðåñóðñè, ùî õàðàêòåðèçóþòüñÿ ñòàá³ëüíîþ âåëè-÷èíîþ îáñÿã³â ïðîäàæó, íåçíà÷íèìè êîëèâàííÿìè â îáñÿãàõ ¿õ ïðîäàæ ³ âèñîê³é òî÷íîñò³ ïðîãíîçó.
Êàòåãîð³ÿ Y - öå ðåñóðñè, ïðîäàæ ÿêèõ õàðàêòåðèçóºòüñÿ â³äîìèìè òåí-äåíö³ÿìè (íàïðèêëàä, ñåçîííèìè êîëèâàííÿìè) ³ ñåðåäí³ìè ìîæëèâîñòÿìè ¿õíüîãî ïðîãíîçóâàííÿ.
Òîâàðè ÿê³ â³äíîñÿòüñÿ äî êàòåãî𳿠Z, ïðîäàþòüñÿ íåðåãóëÿðíî, òî÷í³ñòü ¿õíüîãî ïðîãíîçóâàííÿ íåâèñîêà.















