165817 (595649), страница 3
Текст из файла (страница 3)
3. Примеры применения молекулярного моделирования
3.1 Определение механизма взаимодействия медиатора и рецептора с использованием молекулярного моделирования на примере ГАМК
Пытаясь объяснить роль ГАМК в нервной системе встречается одна из центральных проблем - выяснением механизма передачи импульсов в нервной системе. В ткани головного мозга содержатся химические вещества (медиаторы, передатчики), которые участвуют в создании контактов между нервными клетками осуществляют перенос импульса как в периферической, так и в центральной нервной системе. Решение этой центральной проблемы в настоящее время тесно связано с детальным изучением пространственного строения взаимодействующих медиаторов и рецепторов.
Взаимодействие ГАМК с нервной клеткой осуществляется когда нервный импульс достигает нервного окончания, он вызывает освобождение медиатора в синаптическую щель. ГАМК диффундирует через синаптическую щель (шириной 20—50 нм) и взаимодействует со специальными рецепторами в постсинаптической мембране. В результате такого взаимодействия изменяется мембранная проводимость для ионов, находящихся по обе стороны мембраны. Изменение проводимости связано со структурными изменениями мембраны и открытием в ней узких гидрофильных каналов для прохождения катионов или анионов и зависит от структурных особенностей ГАМК.
ГАМК имеет неплоскую структуру. ГАМК является гибкой цвиттер-ионной молекулой, которая может существовать в разных конформациях. Методами рентгеноструктурного анализа, изучением действия синтетических аналогов с жестко фиксированным строением и ряда природных агонистов и антагонистов ГАМК было надежно установлено, что наиболее предпочтительной для получения тормозящего эффекта является вытянутая конформация ГАМК (расстояние между заряженными атомами N+ и О- составляет в этом случае 5,4 ± 0,4 А; для свернутой конформации оно находится в пределах 3,9-4,2 А).
В кристаллах ГАМК находится полностью в вытянутой конформации. Однако в растворах ее молекулы, вероятно, существуют в различных конформациях. Прямое экспериментальное определение структуры ГАМК в момент ее взаимодействия с рецептором пока невозможно.
Для установления пространственного строения активной молекулы ГАМК и участка ее рецептора была изучена связь структуры с физиологической активностью некоторых аналогов ГАМК, имеющих в отличие от гибкой молекулы ГАМК жесткую структуру. Так, мусцимол, 4-аминотетрловая и 4-аминокротоновая кислоты имеют определенную конформацию благодаря наличию циклической структуры двойных и тройных связей. Различное действие мусцимола и других аналогов ГАМК, на спинные нейроны, а также структурные характеристики ряда ингибиторов захвата ГАМК показывают, что в процесс поглощения ГАМК нервными структурами и взаимодействия ее с постсинаптическими рецепторами она может иметь как вытянутую, так и свернутую конформацию.
Методами молекулярного моделирования были получены модели молекулы ГАМК и ГАМК-рецептора. Модель молекулы ГАМК была получена в программе HyperChem v6.0 методом оптимизации PM3. Пример модели молекулы ГАМК приведен на рисунке 4.
Рисунок 4 – Модели молекулы ГАМК. а) оптимизация молекул ГАМК в воде; б) вытянутая конформация; в) свернутая конформация.
Была выдвинута гипотеза, что взаимодействие молекулы ГАМК и рецептора обусловлено конформацией молекулы ГАМК. Положение ионов N+ и О- и расстояние между ними обуславливает образование комплекса между рецептором и медиатором. Образованный комплекс изменяет проводимость мембраны за счет образования пор.
Для проверки гипотезы была построена модель рецептора по аминокислотной последовательности, полученной из базы данных RCSB.PDB (Protein Data Bank), в специализированной программе DeepView – TheSwissPdbViewer v3.7. Построенная модель приведена на рисунке 5.
Рисунок 5 - Модель рецептора ГАМК.
Как видно из модели ГАМК-рецептора в центре есть канал для связывания с молекулами ГАМК. Размеры канала составляют 6,65 Ао, а размер комплекса из трех молекул вытянутой конформации ГАМК составляет 6,012 Ао, что позволяет предположить что взаимодействие происходит именно поэтому месту [11].
3.2 Определение биологической активности при помощи программы PASS
Объектом является химическое соединение – дикаин.
Структурная формула дикаина:
Температура плавления 147-150
. Соединение представляет белый кристаллический порошок без запаха. Легко растворим в воде и спирте. Дикаин сильное местноанестезирующее средство, обладающее высокой токсичностью. Применяют в глазной и оториноларингологической практике при некоторых оперативных вмешательствах, а также для анестезии.
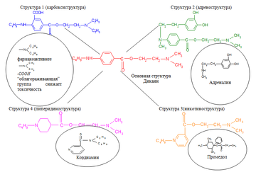
Были предложены варианты новых структур для компьютерного дизайна молекулы дикаина с целью снижения его токсичности с сохранением или даже усилением анестезирующих свойств.
Введение в бензольное кольцо «облагораживающей» карбоксильной группы и замена диметиламиногруппы на более фармакоактивную диэтиланиногруппу позволит снизить токсичность соединения, облегчить гидролиз сложноэфирной связи с высвобождением антигистаминного фрагмента - диэтиламиноэтанола.
Алифатический радикал н-бутил в структуре дикаина усиливает фармакологический эффект. При замене его на адреналиновый фрагмент ожидается получить более яркое анестезирующее действие.
К настоящему времени известно, что биологические системы не делают различия между плоскими кольцами, поэтому при замене ароматической основы н-аминобензойной кислоты на никотиновую (или изоникотиновую) кислоту изменяется полярность молекулы, облегчается задача введения различных заместителей в ароматическое кольцо. К тому же, аминопроизводные никотиновой кислоты (кордиамин) являются стимуляторами центральной нервной системы.
Один из наиболее эффективных анестетиков, промедол, содержит в структуре вместо ароматического пиридинового кольца пиперидиновое, что является предпосылкой для модификации молекулы дикаина.
Условно новым структурам дали названия:
1) Структура 1 – карбоксиструктура;
2) Структура 2 – адреноструктура;
3) Структура 3 – никотиноструктура;
4) Структура 4 – пиперидиноструктура.
Примеры структур приведены на рисунке 6.
Рисунок 6 – Предложенные структуры.
При помощи программы HyperChem была доказана возможность существования данных соединений путем оптимизации молекул и построения графиков потенциальной энергии. По графикам были обнаружены максимумы и минимумы, что подтверждает существования молекулы по квантовым расчетам.
После доказательства существования молекулы была проведена проверка биологической активности на программе PASS. Сводный анализ биологической активности дикаина и новых структур приведены в таблице 1.
Современная версия компьютерной системы предсказания спектра биологической активности PASS C&T (Prediction of Activity Spectra for Substances: Complex & Training) реализована в 1998 году. Она включает в себя обучающую выборку, содержащую более 45000 биологически активных веществ с известной биологической активностью, и охватывает более 400 фармакологических эффектов, механизмов действия, а также мутагенность, канцерогенность, тератогенность и эмбриотоксичность[12].
Таблица 1 Таблица биологической активности ряда веществ
| Характеристика фармакологической активности | Основная структура | Модифицированные структуры | |||
| Дикаин
| Структура 1 Карбоксиструктура | Структура 2 Адреноструктура
| Структура 3 Никотиноструктура | Структура 4Пиперидноструктура
| |
| 1. Спазмолтик | 0,603 0,023 | 0,591 0,025 | 0,620 0,021 | 0,683 0,017 | 0,680 0,015 |
| 2. Сосудорасширяющее средство | 0,511 0,048 | 0,367 0,095 | 0,472 0,059 | 0,548 0,031 | 0,537 0,042 |
| 3. Антагонист кальциевых каналов | 0,405 0,015 | 0,264 0,051 | 0,362 0,020 | 0,326 0,026 | 0,411 0,014 |
| 4. Антигипер-тензивный | 0,350 0,107 | 0,301 0,142 | 0,237 0,211 | 0,364 0,098 | 0,402 0,078 |
| 5. Агонист β-адренорецепторов | 0,114 0,098 | 0,113 0,101 | 0,139 0,043 | ||
| 6. Токсичный | 0,323 0,166 | 0,331 0,160 | 0,291 0,188 | ||
| 7. Тератоген | 0,219 0,214 | 0,233 0,195 | 0,243 0,182 | ||
| 8. Антагонист β-адрено-рецепторов | 0,092 0,091 | 0,092 0,09 | |||
| 9. Диуретик | 0,211 0,144 | ||||
| 10. агонист
| 0,144 0,041 | ||||
| 11. Агонист α-адренорецепторов | 0,133 0,119 | 0,253 0,075 | |||
| 12. Антагонист | 0,233 0,051 | ||||
3.3 Поиск физиологически активных аналогов ССК-4
















