147584 (594381), страница 8
Текст из файла (страница 8)
Напруги і коефіцієнти запасу міцності в перетинах кронштейна арки-хобота.
| перетини | Розрахункові положення | ||||
| 1 | 2 | 3 | 4 | ||
| Напруження, кН,см2 | А-А | 6,3 | 4,7 | 5,9 | 6,5 |
| Б-Б | 4,2 | 3,2 | 4 | 2,48 | |
| В-В | 9,9 | 8,5 | 9,4 | 7,5 | |
| Г-Г | 8 | 6,3 | 7,85 | 7,6 | |
| Д-Д | 12 | 10,9 | 11,3 | 7,4 | |
| Коефіцієнт запаса міцності | А-А | 4,4 | 5,95 | 4,7 | 4,3 |
| Б-Б | 6,7 | 8,75 | 7 | 11,3 | |
| В-В | 2,82 | 3,3 | 2,98 | 3,7 | |
| Г-Г | 3,5 | 4,4 | 3,7 | 3,68 | |
| Д-Д | 2,3 | 2,57 | 2,47 | 3,78 | |
З аналізу таблиці 4.10. укладаємо, що максимальні напруги виникають в перетині Д-Д при розрахунковому положенні 1, коефіцієнт запасу міцності при цьому складає 2,3, що допустиме.
Якщо ж замінити матеріал кронштейна на Cт 25Л, у якої σ=24 кН/см2, то коефіцієнт запасу міцності складе:
К=24/12=2, що допустиме.
5. Розрахунок на міцність тягової рами самохідного скрепера ДЗ-87
5.1 Визначення навантажень в перетинах тягової рами скрепера
На тягову раму скрепера діють зусилля NE, QE, в упряжних шарнірах, зусилля S/2 з боку гідроциліндрів приводу ковша (рис 5.1.) Крім того, на тягову раму діють реакції в місцях кріплення з боку арки-хобота. У справжньому розрахунку ці реакції не визначені з причини відсутності інженерної методики їх розрахунку. Тому силові чинники визначені тільки для перетинів, де відсутні кріплення з аркою-хоботом. Визначаємо згинаючі моменти від сил, перпендикулярних площині тягової рами (Мх), від сил, паралельних площині тягової рами (Му), а також моменти, що крутять.
5.1.1. На тягу тягової рами діють тільки згинаючий момент від сил QE, перпендикулярної площини тягової рами, інші силові чинники відсутні.
Мх= QE d4,
де d4 - відстань від упряжного шарніра до місця кріплення тяги з трубою тягової рами, мм d4=2500 мм.
5.1.2 Силові чинники в перетині 8-8 труби
Мх= Му=0;
Мкр= QE d3,
де d3=2660 мм, - відстань від упряжного шарніра до осі труби тягової рами.
5.1.3 Силовиє чинники в перетині 10-10 труби
де d6=210 мм, d7=240 мм – відстань між центрами труби тягової рами і
шарніра кріплення на ній гідроциліндра при вода
ковша, вимірювання перпендикулярне і паралельно
площини тягової рами.
α0, α1 - кути нахилу осі гідроциліндра приводу ковша до вертикалі і від
тягової рами до горизонталі (см. П. 3.1.1.5.);
В1=2710 мм, В2=2380 мм – відстань між осями тяги тягової рами і
між осями гідроциліндрів приводу ковша.
5.1.4. Силові чинники в сесенії 12-12 труби.
де В3=500 мм (см. Рис. 5.1.)
Рис. 5.1. Схема сил, діючих на тяговій рамі
5.1.5 Максимальний згинаючий момент в небезпечному перетині тяги тяговй рами
Мmax=Qmax∙d4
де Qmax=48,6 кН – максимальне значення зусиль QE з розрахункових
положень, представлених в таблиці 3.1.
Знаходимо з цієї таблиці значення подовжньої осі тяги зусилля, відповідного Qmax:
NE=1,11 кH
Мmax=48,6∙2500=121,5 кHм.
5.2. Геометричні харакрерістіки небезпечного перетину тяги тягової рами
Рис. 5.2. Небезпечний перетин тяги тягової рами
Площа перетину: F=2•8,4•0,8+2,36•0,8=71 cм2. Момент інерції перетину:
Момент опору перетину вигину:
W=2•J/36=2•9727/36=540 см3.
5.3 Напруга в небезпечному перетині тяги тягової рами
Тяга тягової рами виготовлена із сталі марки 09Г2, межа текучості якої рівна σТ=31000 Н/см2.
Тобто тяга тягової рами має запас міцності:
К=σТ/σ=1,38.
Розрахунки силових чинників в перетинах труби тягової рами вироблені по формулах п.5.1.2…5.1.4 для всіх розрахункових положень.
Початкові дані для розрахунку приймаємо з таблиці 3.1. З причини однотипності розрахунків обмежимося ліш розрахунком для положення 1. З таблиці 3.1 знаходимо S=43,83 кН; QЕ=40,46 кН; NE=67,9 кН.
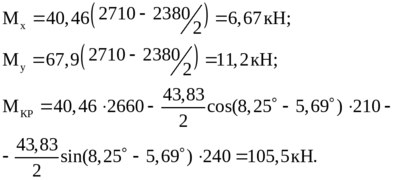
5.3.1 Силові чинники в перетині 8-8 труби тягової рами
Мх=Му=0;
5.3.3 Силові чинники в перетині 12-12 труби тягової рами
5.3.4 Знаходимо приведені моменти для всіх перетинів труби по формулі
З рис.5.2 видно, що епюра моменту, що крутить, в сечені 10-10 зазнає стрибок, тому для перетину 10-10 визначаємо 2 значення приведеного моменту.
Аналогічно розраховуємо силові чинники для перетинів труби тягової рами при інших розрахункових положеннях. Результати розрахунку зведені в таблицю 5.1. З таблиці 5.1 вибираємо максимальне значення приведеного моменту: Мпр=130,4 кНм, яке є в перетині 12-12 при розрахунковому положенні 1.
5.4 Геометричні характеристики небезпечного перетину труби тягової рами
де d=32,5 см – зовнішній діаметр труби;
S=0,8 см – товщина стінки труби.
Таблиця 5.1
Моменти в перетинах труби тягової рами.
| Розрахункове положення | 1 | 2 | 3 | 4 |
| Мкр8 | 107,6 | 0,58 | 17,8 | 129,3 |
| Мх10 | 6,67 | 0,04 | 1,1 | 8 |
| Му10 | 11,2 | 5,7 | 5,4 | 0,18 |
| Мкр10 | 105,5 | 4,52 | 16 | 113,7 |
| Мх12 | 20,5 | 19,9 | -1,7 | -24,2 |
| Му12 | 73,9 | 39,3 | 35,5 | -4,7 |
| Мкр12 | 105,5 | 4,52 | 16 | 113,7 |
| Мпр8 | 107,6 | 0,58 | 17,8 | 129,3 |
| М’пр10 | 106,3 | 5,73 | 16,9 | 113,9 |
| M”пр10 | 108,4 | 7,3 | 18,6 | 129,5 |
| Мпр12 | 130,4 | 44,28 | 38,9 | 116,3 |
Момент опору труби вигину
W=2J/d=2•10014/32,5=616 см3.
5.5 Приведені напруги в небезпечному перетині труби тягової рами
σ=Μοπ/W=130,4•102/616=21,16 кН/см2.
Напруга матеріалу туби, що допускається, складає σ=21,6 кН/см2. Таким чином, труба тягової рами має запас міцності:
К=σр/σ=21,6/21,16=1,02.
5.6 Розрахунок на міцність проушини тяги тягової рами
5.5.1 З таблиці 3.1 знаходимо максимальне значення зусилля на упряжному шарнірі
REmax=79 кН, що відповідає 1 розрахунковому положенню.
5.6.2 Тиск у внутрішній поверхні проушини
де В=5 см – ширина проушини;
r=4,5 см – внутрішній радіус проушини,
5.6.3 Еквівалентна напруга в проушине
де R=7 см – зовнішній радіус проушини.
Проушина виготовлена з відливання 25Л-I меж текучості якої σТ=24000 Н/см2, таким чином коеффіциентзапаса міцності складає:
К=σТ/σ=24000/5982=4.
5.7 Розрахунок на міцність пальця упряжного шарніра
Дотична напруга на пальці:
τ=REmax/πr2=79000/3,14•3,52=2053,8 Н/см2.
Палець виготовляється із сталі 45Б, межа текучості якої на зрушення 18000 Н/см2.
Таким чином, коефіцієнт запасу міцності складає:
6. Розрахунок передньої заслінки ковша скрепера
6.1 Зусилля, діючі на заслінку
Приймаємо, що найбільше зусилля відкриття заслінки виникають, коли ківш завантажений з шапкою. При відкритті заслонки необхідно подолати тиск грунту знаходиться під заслінкою, тертя грунту об грунт, вагу заслінки.
6.1.1 Визначимо силу тяжіння грунту знаходиться під заслінкою
















