129925 (593424), страница 8
Текст из файла (страница 8)
Больше всего ответов в): вы склонны к изучению психологии и вынуждены сочетать самопознание, которое постоянно отнимает большую часть свободного времени, с работой и учебой по другой специальности. Лучше все-таки заняться психологией всерьез и профессионально изучать те проблемы, которые вас волнуют. Вам трудно решиться на какое-то практическое действие, постоянно одолевают сомнения, но зато вы достигли многого в созерцании своего внутреннего мира и в интуитивном понимании сути человеческой психики, ее сложности, противоречивости. Чувствительность и умение замечать тончайшие движения души могут сочетаться у вас с грубыми ошибками, конфликтами и практическим неумением строить комфортные взаимоотношения с окружающими. Самопознание — скорее ваша судьба, чем сознательный выбор, но в перспективе вы сможете успешно решать волнующие вас проблемы.
Больше всего ответов г): вы — профессиональный психолог или психотерапевт, возможно — писатель. Во всяком случае, независимо от профессии у вас есть основания считать себя «знатоком человеческих душ», и вы полагаете, что знаете даже слишком много о человеке вообще и о себе в частности. Но эта уверенность может иногда подвести вас в самых простых ситуациях.
Задание 2. Иллюстрация к теме «Я-концепция личности» (по Р. Бернсу)
Инструкция: внимательно ознакомьтесь со схемой «Шкала самовосприятия» (см. таблицу 1). Определите, какие из приведенных характеристик вы могли бы отнести к себе. Отметьте те из них, которые являются, на ваш взгляд, наиболее устойчивыми.
Теперь распределите выделенные характеристики по трем столбцам, выражающим ваше отношение к собственным качествам.
Много ли нашлось характеристик, которые вас удовлетворяют?
Будем надеяться, что большинство. В результате вы получили набросок собственного портрета (весьма условный и фрагментарный), в котором отразились какие-то грани вашей Я-концепции.
Не являясь в полной мере строго научным, данный тест заставляет задуматься о понятии «Я-концепция» и придает ему довольно конкретные очертания.
Теперь давайте проанализируем то, что вы делали, работая с этой схемой. Во-первых, вы описали себя, пользуясь определенным набором характеристик; во-вторых, пытались выразить, довольно элементарно, свое эмоциональное отношение к собственным качествам. Описательную составляющую Я-концепции называют Образом Я. Составляющую, связанную с отношением к себе или к своим отдельным качествам, называют самооценкой, Я-концепция определяет не только то, что собой представляет человек, но и то, что он о себе думает, как смотрит на свое деятельное начало и возможности развития в будущем.
Таблица 1
Шкала самовосприятия
| Качества | Меня это радует | Мне это безразлично | Мне это неприятно |
| Я счастливый | |||
| У меня ничего не ладится | |||
| У меня все получается | |||
| Я тугодум | |||
| Я зануда | |||
| Я неуклюжий | |||
| Я неудачник | |||
| Я добросовестный | |||
| Я обманщик | |||
| Я интроверт | |||
| Я фантазер | |||
| Я оптимист | |||
| Я человек надежный | |||
| Я раздражительный | |||
| Я хороший друг | |||
| Я подвержен настроению | |||
| Я общительный | |||
| Я религиозный | |||
| Я умный | |||
| Я слабовольный | |||
| Я опрометчивый |
Задание 3.
Выявление различных составляющих Я-концепции при помощи проективной методики «Символические задания на выявление «Социального Я» (по Б. Лонгу, Р. Зиллеру, Р. Хендерсону)
Инструкция: предлагается ряд заданий, где люди изображены в виде кружков. Последовательно читая дальнейшие инструкции, выберите кружки, которые обозначают вас и людей из вашего близкого окружения.
Самооценка. Посмотрите на строку, где изображено 8 кружков (рис. 1). Каждый кружок обозначает какого-либо человека. Выберите кружок, символизирующий вас лично, другие кружки будут обозначать близких людей: родителей, друзей, педагогов и т. п.
Рис. 1
Интерпретация: чем левее отмечен кружок, означающий вас, тем выше самооценка испытуемого.
Сила Я. Перед вами кружки, расположенные в виде кольца, в центре находится кружок, обозначающий ваше Я, остальные кружки должны обозначать ваших родных и близких: отца, мать, братьев, сестер, друзей, педагогов (рис. 2).
Рис. 2
Интерпретация: сила Я определяется как превосходство, равенство или подчинение в отношении к определенным авторитетным фигурам. Люди, попавшие в верхние кружки, воспринимаются как превосходящие вас; в нижние кружки — подчинены вашему Я, в боковых кружках помещаются, как правило, люди, равные по силе Я.
Индивидуация — переживаемое мыслимое сходство с другими людьми или отличие от других людей. Ниже группы кружков расположены два кружка, символически обозначающих вас. Определите, какой из этих двух кружков ваш (рис. 3).
Рис. 3
Интерпретация: если вы выбрали кружок, штриховка которого совпадает со штриховкой группы кружков, означающих людей, то вы переживаете сходство с ними. Если вы выбрали кружок, штриховка которого не совпадает со штриховкой группы кружков, то вы переживаете отличие от других людей.
Социальная заинтересованность — восприятие себя «частью группы» или «отдельным» от других. Посмотрите на кружки, составляющие треугольник, — это другие люди. Нарисуйте кружок, означающий вас, где угодно (вне или внутри треугольника) (рис. 4).
Рис. 4
Интерпретация: если кружок, означающий Я, будет нарисован внутри треугольника, испытуемый воспринимает себя как часть целого.
Идентификация. Посмотрите на ряды кружков по горизонтали. В каждом ряду левый кружок означает кого-либо из родных и близких людей: мать, отца, друга, педагога и т. п. Теперь в каждом ряду выберите кружок, означающий вас (рис. 5).
Рис. 5
Интерпретация: чем больше кружков между Я и Другим, тем слабее чувство Мы; и, наоборот, чем ближе кружки Я и Другой, тем сильнее Мы.
Эгоцентричность — восприятие себя фигурой или фоном. Перед вами большой круг. Расположите маленький кружок, означающий Я, и кружок, означающий Другого (мать, отца, друга, педагога и т.п.), внутри большого круга (рис. 6)
Рис. 6
Интерпретация: если свой кружок располагается ближе к центру, чем кружок Другого, это свидетельствует о вашей эгоцентричности.
По результатам выполнения всех заданий можно собрать свой целостный портрет и попытаться в письменном виде объяснить полученную картину.
Задание 4.
Изучение самооценки при помощи методики ранжирования
Инструкция:
1. Внимательно прочтите набор из 20 качеств личности: аккуратность, доброта, жизнерадостность, настойчивость, ум, правдивость, принципиальность, самостоятельность, скромность, общительность, гордость, добросовестность, равнодушие, лень, зазнайство, трусость, жадность, подозрительность, эгоизм, нахальство.
2. В первый столбик «идеал» под рангом (номером) 1 запишите качество из указанных, которое вы больше всего цените в людях, под рангом 2 — то качество, которое цените чуть меньше, и т.д. в порядке убывания значимости. Под рангом 13 укажите то качество — недостаток, который вы легче всего могли бы простить людям (ведь, как известно, идеальных людей не бывает, у Каждого есть недостатки, но какие-то вы можете простить, а какие-то — нет); под рангом 14 — тот недостаток, который простить труднее, и т.д., под рангом 20 — самое отвратительное, с вашей точки зрения, качество людей.
3. Во второй столбик Я под рангом 1 запишите то качество (из указанных), которое лично у вас сильнее всего развито (независимо от того, достоинство это или недостаток), под рангом 2 — то качество, которое развито у вас чуть меньше, и т.д. в убывающем порядке; последние ранги отводятся тем качествам, которые у вас менее всего развиты или отсутствуют.
Обработка результатов
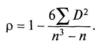
1. Подсчитываем по формуле
D = (– R2)
где R1 – ранг (номер) 1-го качества в 1-м столбце; R2 – ранг 1-го качества во 2-м столбце; D – разность рангов 1-го качества в столбиках.
Возводим D в квадрат. Подсчитаем все D, возведенные в квадрат, их должно быть 20. Предположим, что первое слово в столбике 1 – «ум» (R1 = 1), а в столбике 2 это слово находится на пятом месте, т.е. R2 = 5, тогда по формуле вычисляем (1 – 5) = -4, возводим в квадрат, получается 16, и т.д. для всех n слов по порядку (n – количество анализируемых качеств, n = 20).
2. Затем полученные D2 складываем, умножаем на 6, делим произведение на (n х n х n – - n) = (20 х 20 х 20 – 20) = 7980 и наконец от 1 отнимаем частное, т.е. находим коэффициент ранговой корреляции:
3. Полученный коэффициент ранговой корреляции сравниваем с психодиагностической шкалой (табл. 2).
Таблица 2
Психодиагностическая шкала
| Уровни самооценки | ||||||
| очень низкий | низкий | ниже среднего | средний | выше среднего | высокий | очень высокий |
| (-0,2)-0 | 0-0,2 | 0,21-0,3 | 0,31-0,5 | 0,51-0,65 | 0,66-0,8 | свыше 0,8 |
Задание 5
Осознание сильных и слабых сторон своей личности.
Обучение самопринятию (по В.Г.Маралову)
Инструкция: разделите лист бумаги пополам, в левую графу впишите 5 своих сильных качеств, в правую – 5 слабых качеств (табл. 3). Сильные и слабые качества – это не обязательно положительные или отрицательные. Сильные свойства личности – те, которые помогают в жизни, слабые – те, что мешают.
Например, один человек свою эмоциональность может считать достоинством, сильным качеством, другой – слабым качеством.
Таблица 3
Качества личности
| Сильные качества личности | Слабые качества личности |
| 1 2 3 4 5 | 1 2 3 4 5 |
На отдельном листе бумаги нарисуйте четыре концентрические (т. е. с общим центром) окружности. Обозначим внутреннюю окружность за первую, внешнюю — за четвертую. Разместите в Них свои качества, там, где пожелаете (где «захочет» рука). Вернитесь к прежде составленному списку качеств, подчеркните самое сильное свойство, адекватное положительным эмоциональным переживаниям, и самое слабое свойство, вызывающее отрицательные эмоции. Проанализируйте, как расположились качества на листе бумаги с окружностями. Анализ свободен от строгой интерпретации, можно предложить лишь его условную схему. Чаще как сильные, так и слабые стороны собственной личности, которые внутренне принимаются, попадают в два центральных круга. Те качества, которые недооцениваются или не принимаются, располагается в нижней части 3-го или 4-го круга. Свойства, которые переоцениваются, обычно помещаются в верхней части 3-го или 4-го круга; в правую часть этих кругов попадают качества, связанные с «настоящим образом действия либо с будущим, либо с тем и другим. В 3-й или 4-й круг левой части листа попадают качества, связанные с эмоциональными переживаниями, либо с прошлыми 1 событиями в жизни человека, либо с тем и другим вместе.
Особое внимание следует обратить на слабое качество, вызывающее отрицательные переживания. В какую часть листа оно попало? Практика показывает, что именно данное свойство чаще попадает в нижнюю часть, хотя и не всегда. Решите самостоятельно, какое слабое качество вас тревожит и как вы преодолеваете его.















