129811 (593420), страница 10
Текст из файла (страница 10)
где с - количество условий;
n - Количество испытуемых;
T2j - суммы рангов по каждому из условий.
Определим χ2r для данного случая:
χ2r = ((12/6*3*(3+1))*(100 +256 + 100)) – 3*6*(3+1) = 4
Поскольку в данном примере рассматриваются три задачи, то есть 3 условия, с=3. Количество испытуемых n=6. Это позволяет нам воспользоваться специальной таблицей χ2r, а именно табл. VII-A Приложения I. Эмпирическое значение χ2r=4 при с=3, n=6 точно соответствует уровню значимости р=0,184.
Таким образом Н0 отклоняется. Принимается Н1. Различия во времени, которое испытуемые проводят над решением трех различных тестов, неслучайны (р=0,184).
Второй эксперимент
Был измерен уровень агрессии данных групп детей. Вопрос поставлен был следующим образом: будут ли обнаружены статистические значимые различия в показателях.
| ЗПР | 96 | 100 | 104 | 104 | 120 | 120 | 120 | 120 | 126 | 130 | 134 | 136 | ||||||||
| норм | 76 | 82 | 82 | 84 | 88 | 96 | 100 | 102 | 104 | 110 | 118 | 120 | ||||||||
| ЗПР | 136 | 140 | 144 | 144 | 148 | 150 | 150 | 152 | ||||||||||||
| норм | 120 | 120 | 122 | 122 | 122 | 122 | 124 | 124 | ||||||||||||
Таблица 1.
Индивидуальные значения показателей в выборках детей экспериментальной группы (n1=20) и контрольной (n2=20 )
| дети с ЗПР | Показатель агрессии | нормальные школьники | Показатель агрессии | ||||||||||||||||||||||||||||||||||||||||||||||||||||||||||||||||||||||||||||||||||||||||||||||||||||||||||||||||||||||||
|
|
|
|
Упорядочим значения в обеих выборках, а затем сформулируем гипотезы:
H0: дети с ЗПР не превосходят нормальных детей по уровню агрессии.
H1: дети с ЗПР превосходят нормальных детей по уровню агрессии.
Таблица 2
Упорядоченные по убыванию вербального интеллекта ряды индивидуальных значений в двух выборках
| 1 ряд – ЗПР | 2 ряд – норм | ||||||||||||||||||||||||||
|
| ||||||||||||||||||||||||||
Как видно из табл. 2, мы правильно обозначили ряды: первый тот, что "выше" - ряд детей с ЗПР, а второй, тот, что "ниже” - ряд нормальных детей.
По табл. 2. определяем количество значений первого ряда, которые больше максимального значения второго ряда: S1=10.
Теперь определяем количество значений второго ряда, которые меньше минимального значения первого ряда: S2=5.
Вычисляем по формуле:
Qэмп =S1+S2=10 + 5 =15
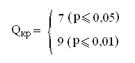
По критерию Розенбаума определяем критические значения Q для n1=20, n2=20;
| Правило отклонения Н0 в принятия Н1 Если эмпирическое значение критерия равняется критическому значению,cответствующему р≤0,05 или превышает его, то Н0 отклоняется, но мы еще не можем определенно принять Н1. Если эмпирическое значение критерия равняется критическому значению, соответствующему р≤0,01 или превышает его, то Н0 отклоняется и принимается H1. |
Ясно, что чем больше расхождения между выборками, тем больше величина Q. Н0 отклоняется при Qэмп≥ Qкр, а при Qэмпкр мы будем вынуждены принять Н0.
Построим "ось значимости".
Рис 1. ось значимости для критерии Q Разенбаума
H0 отклоняется.
Принимается H1. дети с ЗПР превосходят нормальных детей по уровню агрессии. (p<0,01).
Вывод по третьей главе
· Психологическое изучение детей с особыми потребностями в обучении является частью медико-психолого-педагогического изучения ребенка.
· Психологическое изучение имеет главной задачей выявление особенностей психического развития и определение потенциальных возможностей ребенка, определение оптимального пути обучения, воспитания и коррекции.
· К изучению ребенка с особыми потребностями в обучении используется комплексный подход, основными принципами которого являются: принцип развития, принцип системно-динамического изучения, принцип качественного анализа данных.
· Основными методами изучения детей с особыми потребностями в обучении являются изучение документации, продуктов деятельности, наблюдения, беседы, эксперимента.
· Обучающий эксперимент – это надежный способ определить обучаемость ребенка.
· Процедура психологического исследования ребенка состоит из трех этапов: изучение жалоб и анамнестических сведений, непосредственное обследование ребенка, составление заключения по результатам обследования.
· Основная задача экспериментального исследования – ответ на вопрос: какая из психических структур нарушена и каковы психологические механизмы этого нарушения.
· Психологическое заключение по результатам обследования – заключительный этап работы. Оно является аргументом для формулировки диагноза ребенка.
Констатирующий эксперимент показал, что все исследуемые параметры в экспериментальной группе (дети с нарушениями интеллекта) значительно отличаются от контрольной группы (дети с нормальным интеллектом).
В экспериментальной группе дети
имеют более низкий социометрический статус (предпочитаемых в группе детей с нарушениями интеллекта-3 человека, в группе детей с нормальным интеллектом-16 человек, принятых 2 и 11 соответственно);
только у трех из пяти положительная социовалентность; гораздо ниже, чем в норме взаимность контактов (77 % и 92 % соответственно);
эмоционально-психологический климат снижен; очень высокий уровень конфликтности отмечен у 35 % детей в группе с нарушениями интеллекта (только у 12 % детей в группе детей с сохранным интеллектом);
коммуникативные качества (общительность, доминирование в группе сверстников, наличие дружеского отношения, социальная адекватность поведения ) заметно ниже;
в средствах коммуникации преобладают жесты;
в классе больше дезадаптивных учащихся (3 в экспериментальной группе и 2 в контрольной); положительные оттенки настроений менее выражены (радость-25.8 % и 44.9 %, спокойствие-25.8 % и 40.9 % соответственно), скука наоборот более выражена-22.9 % и 20.5 %.
Гипотеза, выдвинутая нами подтвердилась.
ЗАКЛЮЧЕНИЕ
Полноценное развитие любого ребенка – одна из важнейших задач общества на современном этапе развития – требует поиска наиболее эффективных путей достижения этой цели. Защита прав ребенка на развитие в соответствии с индивидуальными возможностями становится сферой деятельности, в которой тесно переплетаются интересы родителей, медицинских работников, педагогов и психологов.
Дети, имеющие отклонения в интеллектуальной, физической, психической сферах, рассматриваются как объект особой общественной заботы и помощи, а отношение к таким детям становится критерием оценки уровня цивилизованности общества.
Одним из первых идею максимальной ориентации в обучении на нормально развивающихся детей обосновал в своих трудах Л.С. Выготский. Ученый утверждал, что задачами воспитания ребенка с нарушениями развития являются осуществление компенсации недостатков путем активизации деятельности сохранных анализаторов и его интеграция в жизнь. Причем компенсацию Л.С. Выготский понимал не в биологическом, а в социальном аспекте, так как считал, что в коррекционно-воспитательном процессе приходится иметь дело не столько с факторами первичного дефекта, сколько с их вторичными наслоениями.
0>














