125550 (593126), страница 3
Текст из файла (страница 3)
Максимальний момент синхронного двигуна пропорційний U, а асинхронного – U2. Тому синхронні двигуни менш чутливі до зміни напруги мережі й мають більшу перевантажувальну здатність. Регулювання потоку порушення шляхом зміни струму порушення забезпечує регулювання реактивної потужності при спаданні напруги й зменшенні частоти мережі.
Недоліком синхронних двигунів є їх більше складна конструкція, необхідність у джерелі постійного струму й гірші в порівнянні з асинхронними пускові властивості.
При потужності двигунів від декількох кіловатів до 100 кВт проявляється ще один недолік синхронних двигунів - схильність до хитань. При певному співвідношенні параметрів синхронних двигунів ротор погойдується біля синхронної частоти обертання.
Синхронні двигуни за умови легких пусків доцільно застосовувати при потужності понад 200 кВт. Області застосування синхронних двигунів безупинно розширюються, і їхньої потужності зростають до 50 Мвт.
Синхронні двигуни потужністю до 1-2 кВт виконуються з явнополюсным ротором без обмотки збудження. За рахунок розходження провідності по поздовжній і поперечній осях машини в таких машинах виникає реактивний момент, а асинхронний пуск забезпечується демпферною обмоткою. [6, с. 433]
На мал. 9 показані дві найпоширеніші конструкції роторів синхронних реактивних двигунів. Чотирьохполюсна конструкція ротора (мал. 9, а) має сталевий шихтований явно полюсний муздрамтеатр 1 і демпферну обмотку 2. Двохполюсний шихтований ротор, залитий алюмінієм, даний на мал. 9, б. Сердечник ротора 3 заливається алюмінієм 4, що скріплює сердечник і утворить демпферну обмотку.
Мал. 9. Конструкції роторів синхронних реактивних двигунів
Реактивні двигуни мають низькі cos ? і КПД (? = 0,3?0,4), їхня маса більше, ніж у звичайних трифазних асинхронних двигунів.
Замість електромагнітного порушення можна застосовувати постійні магніти. Серії двигунів з постійними магнітами випускаються на потужності від десятків ватів до декількох кіловатів. Вони мають кращі енергетичні показники в порівнянні з реактивними.
Для забезпечення пускового моменту двигуни з постійними магнітами мають пускову обмотку у вигляді білячої клітки, залитої алюмінієм. Ротор з магнитотвердого матеріалу виготовляється шляхом лиття зі спеціальних сплавів. Цей процес трудомісткий, тому ротор має
Розділ 3. Особливості випробувань синхронних двигунів
3.1 Випробування на стенді заводу-виготовлювача й на місці установки
На стенді заводу-виготовлювача роблять приймально-здавальні випробування кожної машини й приймальні головних (досвідчених) машин.
За діючими стандартами (ДЕРЖСТАНДАРТ 183-74, ДЕРЖСТАНДАРТ 533-85, ДЕРЖСТАНДАРТ 5616-81, ДЕРЖСТАНДАРТ 609-84) здавальний^-здавальні-приймально-здавальні випробування кожної машини включають: виміру опорів ізоляції обмоток щодо корпуса й між обмотками, ізоляції закладених температурних перетворювачів, обмоток при постійному струмі в практично холодному стані, термометрів опору при постійному струмі в практично холодному стані; випробування ізоляції обмоток щодо корпуса й між обмотками на електричну міцність; визначення характеристики сталого замикання (для гідрогенераторів на місці установки), холостого ходу (для гідрогенераторів на місці установки); випробування при підвищеній частоті обертання (для турбогенераторів); вимір опору ізоляції підшипників, температури масла в підшипниках (для гідрогенераторів на місці установки); перевірку стану ущільнень вала в зборі й визначення витоку повітря при надлишковому тиску не менш номінального тиску водню (для машин з водневим охолодженням). [7, с. 209]
У приймальні випробування головних (досвідчених) зразків (для гідрогенераторів на місці установки) додатково включають: випробування на короткочасне перевантаження по струму; визначення КПД; випробування на нагрівання; визначення коефіцієнта перекручування синусоїдальності кривій напруги, індуктивних опорів і постійних часу обмоток; випробування при ударному струмі короткого замикання, на нагрівання; визначення вібрацій, номінального струму порушення й регулювальної характеристики; вимір рівня шуму; перевірку роботи газо-масляної системи водневого охолодження й визначення витоку водню (для машин з водневим охолодженням); перевірку системи рідинного охолодження (для машин з рідинним охолодженням).
Відповідно до діючих стандартів виконання частини приймальних випробувань можливо на місці установки машин.
Вимір опору ізоляції обмотки статора щодо корпуса машини й між обмотками роблять за допомогою мегомметра не менш чим на 1000 У в практично холодному стані, при якому за температуру обмотки приймають температуру навколишнього середовища.
При вимірі опору ізоляції обмоток генераторів з безпосереднім водяним охолодженням вивід екрана мегомметра з'єднують із водяним колектором, від якого від'єднують зовнішню водяну систему. Опір ізоляції визначають по черзі для кожної галузі обмотки статора, при цьому інші галузі з'єднують із корпусом машини. При визначенні абсолютного значення опору ізоляції виміру проводять не менш чим через 60 з послу додатка напруги до ізоляції. Після виміру опору ізоляцію окремих частин обмотки розряджають на корпус генератора.
Вимір опору обмоток при постійному струмі проводять у практично холодному стані до початку сушіння генератора методом вольтметра й амперметра, при цьому використовують магнітоелектричні прилади класу точності не нижче 0,5. Відлік по приладах роблять одночасно при сталих значеннях обумовлених величин. Опору обмоток знаходять як середнє значення по даним не менш трьох вимірів, які проводять при різних значеннях струму. Точність вимірів у більшій мері залежить від якості контактів у місцях приєднання вимірювальних приладів, при цьому приєднання вольтметра рекомендується робити окремо від фотополяриметрів ланцюгів.
Вимір опорів термометрів опору при постійному струмі проводять при температурі навколишнього середовища методом вольтметра й амперметра з погрішністю виміру опору не вище 0,5%. Виміру рекомендується проводити безпосередньо на складанні виводів.
Випробування (напругою частотою 50 Гц) ізоляції обмотки статора на електричну міцність роблять іспитовою напругою, кВ,
UИСП = 2UФ + 1, (5)
де UФ – номінальна фазна напруга.
Випробування проводять для кожної з фаз стосовно корпуса й двом іншим заземленим фазам. Для генераторів з водяним охолодженням обмотки статора випробування ізоляції виконують при циркуляції дистиляту. Для випробування рекомендується застосовувати іспитові трансформатори, потужність яких не менш 1 кВ А на 1 кВ напруги.
Іспитову напругу вимірюють на стороні вищої напруги іспитового трансформатора через вимірювальний трансформатор напруги. Для машин з номінальною напругою 13,8 кВ і вище на стороні вищої напруги іспитового трансформатора рекомендується включати захисний розрядник, що настроюється на напругу, рівне 110% іспитового.
Відповідно ДО ДЕРЖСТАНДАРТУ 11828-75 випробування рекомендується починати з напруги не вище 1/3 іспитового, при цьому час, протягом якого виробляється підйом напруги від половинного значення до повного, повинне бути не менш 10 с.
Випробування напругою ізоляції кожної фази обмотки статора стосовно корпуса й двом іншим заземленим фазам у машинах з непрямим охолодженням роблять напругою, рівним 1,6 іспитової напруги частотою 50 Гц. [7, с. 212]
Іспитова напруга в цих випробуваннях відповідно ДО ДЕРЖСТАНДАРТУ 11828-75 витримують протягом 1 хв, підйом напруги роблять не менш чим трьома щаблями, починаючи з половинної іспитової напруги. На кожному із щаблів вимірюють струм витоку при сталих показаннях приладів. Після випробування вимірюють опори ізоляції мегомметром.
Випробування междувиткової ізоляції котушкової обмотки статора проводять напругою, рівним 150% номінального, протягом 5 хв, стрижневої обмотки - протягом 1 хв.
Характеристика холостого ходу являє собою залежність напруги обмотки статора від струму порушення при номінальній частоті обертання. Рекомендується робити вимір напруги приладами класом точності не нижче 0,5, при цьому можуть бути використані експлуатаційні трансформатори напруги. Вимір струму порушення можна робити також приладами класу точності 0,5 із застосуванням шунтів класу 0,1 або 0,2. Під час визначення характеристики контролюють частоту обертання гідрогенератора.
Попередня напруга машини збільшують до 130% номінального. Характеристику знімають при плавному зменшенні струму порушення до нуля. При струмі порушення, рівному нулю, визначають залишкову напругу.
У генераторів, що працюють у блоці із трансформатором, знімається також характеристика холостого ходу блоку.
Одночасно зі зняттям характеристики холостого ходу визначається симетрія напруги, що перебуває по відношенню різниці найбільших і найменшого обмірюваних лінійних напруг до середнього його значення.
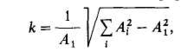
Коефіцієнт перекручування синусоїдальності кривій напруги знаходять по амплітудах окремих гармонійних тридцятимільйонній кривій напруги, певним при номінальній напрузі при холостому ході генератора. Амплітуди гармонійних вимірюють, як правило, за допомогою аналізатора гармонійних. При відомих амплітудах коефіцієнт перекручування знаходять по формулі
де А1, А i - амплітуди першої й i-й гармонійних.
Характеристика сталого короткого замикання являє собою залежність струму в обмотці статора від струму порушення генератора при трифазному короткому замиканні. При знятті характеристики вимірюють струми в кожній фазі обмотки статора й струм порушення. Зняття характеристики роблять при плавному підйомі струму статора до номінального значення. Для генераторів, що працюють у блоці із трансформатором, характеристику короткого замикання знімають для замкнутого на коротко трансформатора. [7, с. 212]
При приймально-здавальних випробуваннях, як правило, визначають лише основні параметри: відношення короткого замикання (ОКЗ), реактивність Потьє, синхронний індуктивний опір, сверхпереходні індуктивні опори й, перехідний індуктивний опір індуктивний опір зворотного проходження фаз, постійну часу при розімкнутої Tj0 і замкнутої накоротко обмотках статора.
По нормах МЕК машина вважається, яка пройшла випробування на раптове коротке замикання, якщо вона може бути включена в мережу відразу ж після випробування або після незначного ремонту обмотки статора. Перед включенням у мережу обмотка статора повинна бути випробувана на електричну міцність напругою, рівним 80% іспитової напруги, передбаченого для нової машини. Незначним уважається ремонт кріплення обмотки або зовнішніх шарів ізоляції, не пов'язаний із заміною стрижнів.
На місці установки всі турбо-, гідрогенератори й великі синхронні машини піддаються приймально-здавальним випробуванням, які включають крім приймально-здавальних випробувань на стенді заводу-виготовлювача додатково випробування на нагрівання; вимір вібрацій підшипників; перевірку роботи газомасляної системи водневого охолодження й визначення витоку водню (для машин з водневим охолодженням); перевірку роботи системи рідинного охолодження (для машин з рідинним охолодженням). [7, с. 213]
На місці установки проводять також випробування гідрогенераторів і інших синхронних машин великого габариту, випробування яких на стенді заводу-виготовлювача або не представляються можливими, або вимагають більших витрат на їхнє проведення.
Випробування на нагрівання. У гідрогенераторах вимір температури обмотки статора й активної сталі роблять за допомогою термометрів опору. Температуру обмотки визначають за показниками термометра опору, закладеного між стрижнями (сторонами котушок) обмотки статора. Температуру активної сталі визначають за показниками термометрів опору, закладених на дно паза. Відповідно до вимог ДЕРЖСТАНДАРТ 5616-81Е для виміру температури обмотки в гідрогенераторах потужністю понад 10 MB А повинне встановлюватися 12 термометрів опору при одній або двох паралельних галузях обмотки й по двох термометра на кожну паралельну галузь при числі галузей більше двох. Для виміру температури сердечника статора повинне встановлюватися не менш шести термометрів на гідрогенератор. Для генераторів з водяним охолодженням обмотки статора повинні встановлюватися термометри (або інші температурні індикатори) наприкінці кожного паралельного ланцюга системи охолодження.
Для виміру температури повітря на виході з кожної секції повітроохолоджувача встановлюють по одному термометрі, а в зоні гарячого повітря - два термометри на генератор.
Відповідно до ДЕРЖСТАНДАРТ 5616-8IE у гідрогенераторах за допомогою термометрів також вимірюють температуру сегментів підп'ятників і підшипників (установлюють по двох термометра на кожний сегмент) і температуру масла у ванні підп'ятника й кожного підшипника (за даними показань двох термометрів).
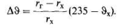
Визначення температури обмотки збудження роблять по даним виміру опору обмотки в нагрітому й холодному станах. Якщо rr, rх - опору обмоток у нагрітому й холодному станах, а
- температура обмотки в практично холодному стані, то перевищення температури обмотки збудження
Визначення температури активних і конструктивних елементів гідрогенераторів роблять як методом безпосереднього навантаження, так і за даними випробувань у непрямих режимах.
При випробуванні методом безпосереднього навантаження визначення перевищень температури обмоток і стали роблять при трьох-чотирьох різних навантаженнях (від 0,6 номінальної й вище). За даними випробувань будують залежності перевищення температур від квадрата струму статора, а з їхньою допомогою уточнюють (або визначають) перевищення температур при номінальній потужності. [7, с. 214]
















