123662 (592845), страница 10
Текст из файла (страница 10)
С учетом рассчитанных коэффициентов уравнения регрессии, устанавливающих зависимости максимальной пондеромоторной силы от диаметра и толщины заготовки и собственной частоты установки имеют вид:
- максимальная пондеромоторная сила, возникающая при обжиме стальной заготовки:
а) одновитковым индуктором
б) четырехвитковым цилиндрическим индуктором
в) индуктором-концентратром
- максимальная пондеромоторная сила возникающая при обжиме алюминиевой заготовки:
а) одновитковым индуктором
б) четырехвитковым цилиндрическим индуктором
в) индуктором-концентратром
На графиках показаны поверхности отклика и их сечения, отражающие зависимость максимальной пондеромоторной силы от диаметра и толщины заготовки, собственной частоты установки, для стальной (рис. 4.1 - 4.3) и алюминиевой (рис. 4.4 - 4.6) заготовок.
а
Б
в
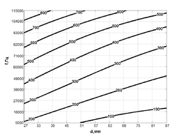
Рис.4.1. Зависимость максимальной пондеромоторной силы Fr от собственной частоты установки и от диаметра стальной заготовки толщиной 0,6мм при обжиме индуктором: а - одновитковым; б – четырехвитковым цилиндрическим; в – индуктором-концентратором
а
б
в
Рис.4.2. Зависимость максимальной пондеромоторной силы Fr от собственной частоты установки и от диаметра стальной заготовки толщиной 1,2мм при обжиме индуктором: а - одновитковым; б – четырехвитковым цилиндрическим; в – индуктором-концентратором
а
б
в
Рис.4.3. Зависимость максимальной пондеромоторной силы Fr от собственной частоты установки и от диаметра стальной заготовки толщиной 1,8мм при обжиме индуктором: а - одновитковым; б –четырехвитковым цилиндрическим; в – индуктором-концентратором
а
б
в
Рис.4.4. Зависимость максимальной пондеромоторной силы Fr от собственной частоты установки и от диаметра алюминиевой заготовки толщиной 0,6мм при обжиме индуктором: а - одновитковым; б – четырехвитковым цилиндрическим; в – индуктором-концентратором
а
б
в
Рис.4.5. Зависимость максимальной пондеромоторной силы Fr от собственной частоты установки и от диаметра алюминиевой заготовки толщиной 1,2мм при обжиме индуктором: а - одновитковым; б – четырехвитковым цилиндрическим; в – индуктором-концентратором
а
б
в
Рис.4.6. Зависимость максимальной пондеромоторной силы Fr от собственной частоты установки и от диаметра алюминиевой заготовки толщиной 1,8мм при обжиме индуктором: а - одновитковым; б – четырехвитковым цилиндрическим; в – индуктором-концентратором
Анализ полученных результатов показал, что наименьшее значение максимальных пондеромоторных сил при обжиме как стальной, так и алюминиевой заготовки во всем диапазоне изменения факторов возникает при использовании индуктора-концентратора. Так при обжиме стальной и алюминиевой заготовки максимальная радиальная пондеромоторная сила на четырехвитковом цилиндрическом индукторе на 15 - 20% и на одновитковом индукторе на 60 - 70% выше, по сравнению с индуктором-концентратором.
На максимальную величину максимальной пондеромоторной силы, возникающую при обжиме как стальной, так и алюминиевой заготовки для всех типов индукторов наибольшее влияние оказывает собственная частота установки. С её ростом максимальная пондеромоторная сила возрастает. В диапазоне от 5 до 115 кГц при обжиме одновитковым индуктором максимальная пондеромоторная сила возрастает в 9 раз, четырехвитковым цилиндрическим индуктором радиальная пондеромоторная сила возрастает в 8раз, а индуктором-концентратором в 7 раз.
При обжиме стальной заготовки для всех типов индукторов с ростом диаметра значение максимальной пондеромоторной силы уменьшается. А при обжиме алюминиевой заготовки влияние диаметра на значение максимальной пондеромоторной силы существенно зависит от типа индуктора. Для одновиткового индуктора увеличение диаметра не оказывает влияние на максимальную пондеромоторную силу, а для четырехвиткового цилиндрического индуктора и индуктора-концентратора с ростом диаметра значение максимальной пондеромоторной силы уменьшается. И это явление наиболее сильно проявляется для толщин заготовки 1,2 мм и 1,8 мм.
С ростом толщины обжимаемой заготовки значения максимальной пондеромоторной силы возрастают по линейному закону, как для стальной, так и для алюминиевой заготовки.
4.2 Температурные режимы функционирования спирали индуктора
В процессе разряда магнитно-импульсной установки по спирали индуктора течет импульсный ток высокой плотности, что приводит к её нагреву и тем самым влияет на её стойкость. При этом можно выделить два характерных момента: момент, соответствующий максимуму тока, когда давление на спираль индуктора максимально и момент окончания разряда магнитно-импульсной установки, когда температура индуктора будет максимальной. С целью комплексной оценки температурных условий функционирования индукторов различной геометрии, в зависимости от геометрических размеров заготовки и собственной частоты установки был проведен численный эксперимент. По результатам, которого были получены вторичные математические модели зависимости температуры в момент максимального значения импульсного тока - Т/ и температуры в момент окончания разряда магнитно-импульсной установки – Т от собственной частоты установки, диаметра и толщины заготовки.
Как и в предыдущем случае моделировался процесс обжима тонкостенных трубчатых заготовок из алюминиевого сплава АМГ2М и стали 20.
Предварительный анализ показал, что для описания зависимостей температур необходимо использовать полиномиальную модель четвертого порядка (4.1).
Таблицы уровней факторов и матрицы планирования эксперимента приведены в п. 3.3. Необходимые расчеты по определению коэффициентов регрессии были выполнены по программе R_3_42.exe, разработанной на кафедре МПФ ТулГУ.
4.2.1 Температура спирали индуктора в момент максимального значения импульсного тока
С учетом рассчитанных коэффициентов уравнения регрессии, устанавливающие зависимости температуры в момент максимального значения импульсного тока от диаметра и толщины заготовки и собственной частоты установки, примут вид:
- температура Т/, возникающая в процессе обжима стальной заготовки:
а) одновитковым индуктором
б) четырехвитковым цилиндрическим индуктором
в) индуктором-концентратором
- температура Т/, возникающая в процессе обжима алюминиевой заготовки:
а) одновитковым индуктором
б) четырехвитковым цилиндрическим индуктором
в) индуктором-концентратором
На графиках показаны поверхности и их сечения, отражающие зависимость температур наиболее близких к заготовке элементов спирали индуктора в момент максимального значения импульсного тока Т/ от диаметра и толщины заготовки, собственной частоты установки, для стальной (рис.4.7 - 4.9) и алюминиевой заготовок (рис.4.10 - 4.12).
Анализ полученных результатов показал, что наибольшие значения температур в момент максимального значения импульсного тока при обжиме как стальной, так и алюминиевой заготовки реализуются на низких частотах и малых диаметрах спирали во всем диапазоне изменения факторов.
Следует отметить, что при обжиме стальной заготовки толщиной 0,6 мм собственная частота установки не влияет на величину температуры спирали индуктора. Основное влияние при этом оказывает форма спирали индуктора. Так для индуктора-концентратора температура в 1,5 раза выше, чем температура спирали в одновитковом и четырехвитковом цилиндрическом индукторе.
а
б
в
Рис.4.7. Зависимость температур Т/ от собственной частоты установки и от диаметра стальной заготовки толщиной 0,6мм при обжиме индуктором: а - одновитковым; б – четырехвитковым цилиндрическим; в – индуктором-концентратором
а
б
в















