109047 (590976), страница 3
Текст из файла (страница 3)
Однако многие исследователи отмечают необычайно высокую растворимость денримеров по сравнению с их линейными аналогами. Так, Фреше [2] сравнивает растворимости дендритного полиэфира, полученного из 3,5-дигилроксибензойной кислоты (см. рис. 12) и его линейного аналога, полученного поликонденсацией монобензилового эфира этого мономера. Для сравнения брались образцы примерно одинаковой молекулярной массы (~11 тыс.) и, следовательно, содержащие одинаковое число мономерных единиц. В ТГФ растворимость дендримера составила 1.15 г/мл, в то время как растворимость линейного полиэфира составила 0.025 г/мл. Отличие почти на два порядка. Миллер и Нинан [8] отмечают ещё бульшую разницу в растворимости (порядка 105 раз) для дендритного полифенилена по сравнению с линейным полипарафениленом.
В работе [2] отмечается, что на растворимость сильно влияют как форма, так и функциональность (концевые группы) дендритной макромолекулы.
2. ЖК дендримеры как новый класс ЖК полимеров.
Экзотическое строение и свойства дендритных макромолекул в последнее время всё больше привлекает внимание исследователей, работающих в области полимерных жидких кристаллов (ЖК). Однако к настоящему времени опубликовано лишь несколько работ, посвящённых в основном синтезу ЖК дендримеров. Причём в литературе представлены результаты работ только двух групп учёных: под руководством Перчека [15, , ] и Рингсдорфа [16, ].
Первое сообщение о синтезе термотропных ЖК денримеров появилось в 1992 году. Перчек с соавт. [36] методом одностадийного неуправляемого синтеза, используя мономер А2В-типа, получили гиперразветвлённое соединение, обладающее ЖК свойствами (рис. 15). За основу был взят 10-бромо-1-(4-гидрокси-4'-бифенил)-2-(4-гидроксифенил)декан (TPD-b), являющийся мезогенным фрагментом благодаря конформационной изомерии . В процессе синтеза такого дендримера преимущественно реагируют молекулы мономера, находящиеся в гош-конформации, в то время как для образования нематического мезоморфного состояния необходим переход в анти-конформацию.
Как видно из представленной схемы, мезогенные группы в данном случае находятся не только на концах, но и во всём объёме дендритной молекулы. Такое строение описываемых соединений во многом напоминает ЖК полимеры с мезогенными группами в основной цепи. Поэтому авторы в работе [15] пытаются сравнить свойства этих ЖК денримеров со свойствами их линейных полимерных аналогов. Прежде всего, они отмечают относительно низкую молекулярную массу (от 4400 до 7900) и широкое молекулярно-массовое распределение (порядка 2.6 ё 3.9) полученных ЖК дендримеров по сравнению с их линейными
Рис. 15. Полимеризация TPD-b и схематическое представление перехода между нематической и изотропной фазой ЖК дендримера Перчека [15].
аналогами, синтезированными по той же реакции (в них Mw = 29000 ё 41000 и Mw/Mn ” 1.6 ё 2.0). К одной из гипотез образования низкомолекулярных гиперразветвлённых жидких кристаллов авторы относят возможность внутримолекулярной циклизации, вполне вероятной при такой схеме синтеза. Сравнивая ЖК свойства, авторы делают вывод, что хотя дендримеры и обладают нематической мезофазой, так же как и их линейные аналоги, порядок в этой мезофазе ниже, чем в линейных ЖК полимерах. Это заключение основывается на данных ДСК, показывающих, что энтальпия перехода из нематической мезофазы в изотропный расплав у ЖК дендримера более чем в два раза меньше, чем у его линейного полимерного аналога. Следует отметить довольно узкий интервал существования ЖК мезофазы у данного дендримера (20 ё 40 °С), который практически совпадает с его линейным аналогом.
Рис. 16. Схематическое изображение и фазовые переходы ЖК дендримера Рингсдорфа [31].
Вторая группа исследователей под руководством профессора Рингсдорфа получила гиперразветвлённый ЖК полимер сходного строения [16, 38] (рис. 16). Синтезированный ЖК дендример также имел довольно низкую молекулярную массу (Mn=6500) и широкое молекулярно-массовое распределение (Mw/Mn = 3.1). Принципиальное отличие данного ЖК дендримера от вышеописанного заключается в том, что к непрореагировавшим в результате неуправляемого синтеза концевым группам дендримера присоединили хиральные фрагменты. В результате полученный ЖК дендример обладает холестерической мезофазой. Кроме того, данный дендример обладает широким температурным интервалом существования ЖК мезофазы (95 ё 150 °С), в отличие от дендримера Перчека.
Рингсдорф также сообщает о синтезе мономера АВ2 -типа (рис. 17), который образует гиперразветвлённые ЖК системы благодаря водородным связям [31]. Однако об изучении ЖК свойств таких систем в литературе не сообщается.
Рис. 17. АВ2-мономер, образующий гиперразветвлённые ЖК системы через водородные связи [32].
Обобщая литературные данные, следует отметить, что к настоящему времени опубликованы лишь первые работы, сообщающие о синтезе ЖК дендримеров, основанном на неуправляемом подходе. Получены только нерегулярные ЖК системы, содержащие мезогенные группы во всём объёме дендритной макромолекулы и этим напоминающие ЖК полимеры с мезогенными группами в основной цепи.
В настоящее время группой немецких исследователей ведутся работы по синтезу регулярных ЖК дендримеров методом управляемого синтеза, однако их результаты ещё не опубликованы. Поэтому данная работа и вышедшая по ней публикация [14] претендует на первенство в области синтеза регулярных ЖК дендримеров с концевыми мезогенными группами.
Синтез ЖК дендримеров
1.1. Метилсилоксановый дендример с концевыми холестеринсодержащими мезогенными группами.
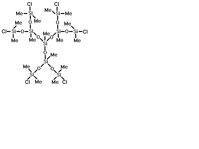
На первом этапе данной работы необходимо было решить вопрос: можно ли в принципе получить дендример регулярного строения с концевыми мезогенными группами, и если да, то будет ли полученное вещество обладать ЖК свойствами. Для этого за основу была выбрана дендритная полиметилхлорсилоксановая матрица следующего строения:
Рис.18. Исходная дендритная полиметилхлорсилоксановая матрица
Подробная методика синтеза этого соединения описана в работе [14]. Основные критерии, по которым осуществлялся выбор исходной силоксановой матрицы, заключались в синтетической доступности, простоте анализа и возможности ее выделения в индивидуальном состоянии. В рамках разработанной ранее [] методологии синтеза дендритных полиоргано-силоксанов, а также имеющихся в наличии методов анализа и выделения соединение вполне отвечает перечисленным выше критериям.
Выбранная дендритная матрица содержала концевые активные хлорсилильные группы. Для того, чтобы присоединить к ней мезогенные группы, их нужно было модифицировать таким образом, чтобы они содержали концевую группу, способную количественно заместить Si-Cl - группы выбранного дендримера с образованием стабильной связи. Силанольная группа Si-OH вполне удовлетворяет этим требованиям: она количественно реагирует с Si-Cl - группами с образованием прочной силоксановой связи. Кроме того, учитывая опыт по синтезу ЖК полимеров с мезогенными группами в боковых ответвлениях, где в качестве полимерной “матрицы” используются гребнеобразные полимеры, следует отметить, что если мезогенные группы присоединены к полимерной основе напрямую, то такие полимеры , как правило, не проявляют ЖК свойств []. Для реализации ЖК состояния в полимерах необходимо, чтобы жёсткие мезогенные группы были присоединены к основной цепи через гибкую алифатическую или другую развязку (“спейсор”). Причём ЖК свойства полимеров существенно зависят от длины этого спейсора [, ].
Рис.19. Схематическое изображение модифицированной мезогенной группы.
Исходя из вышесказанного, мезогенсодержащий фрагмент для “прививки” к полиметилхлорсилоксановой дендритной матрице в нашем случае должен состоять из следующих основных структурных единиц (рис. 19): мезогенной группы и алифатической развязки, содержащей концевую группу Si-OH, способную реагировать с концевыми хлорсилильными группами дендритной матрицы с образованием целевого продукта - ЖК дендримера.
Рис.20. Схема синтеза холестеринсодержащей мезогенной группы.
В качестве мезогенной была выбрана холестериновая группа ввиду её доступности и широкого использования для синтеза гребнеобразных ЖК-полимеров. Выбор ундециленатного спейсора определялся теми же критериями.
Модификация холестериновой мезогенной группы проводилась по схеме, представленной на рис. 20.
Синтез соединения III включает в себя три химические стадии (схемы (1), (2) и (3)). Холестериновый эфир 10-ундециленовой кислоты I, был получен по стандартной методике ацилированием холестерина хлорангидридом 10-ундециленовой кислоты (схема (2)), температуры фазовых переходов совпадают с литературными данными [].
Соединение II было получено гидросилилированием эфира I в среде сухого ТГФ в присутствии трехкратного избытка диметилхлорсилана. В качестве катализатора использовали бис-(триоктилбензиламин)-тетранитрито-платину (схема (3)). Завершенность реакции контролировали методом ИК-спектроскопии (рис. 21) по исчезновению полосы валентных колебаний терминальной двойной углерод-углеродной связи в молекулах соединения I в области 1640 см-1. Одновременно наблюдали появление полосы поглощения в области 1260 см-1, соответствующей валентным колебаниям связи Si-CH3.
В спектре ПМР (Таблица 1.) образовавшегося холестеринового эфира 11-(диметилхлорсилил)-ундекановой кислоты II в отличие от исходного эфира I отсутствуют сигналы протонов, расположенных при терминальной двойной углерод-углеродной связи (дублет 1=5.2 м.д. и мультиплет 2=6.0 м.д.), что также свидетельствует о полноте протекания реакции гидросилилирования. Вместе с тем в спектре ПМР соединения II, как и в спектре соединения I, присутствуют характерные сигналы протона (3) при карбоксильной группе (мультиплет:3=4.8 м.д.) и протона (4) при двойной углерод-углеродной связи (синглет:4=5.7 м.д.) в стероидном ядре холестерила. При этом соотношение интегральных интенсивностей сигналов протонов (3) и (4) соответствует расчетному значению 1:1. Синглетный сигнал протонов метильных радикалов у атомов кремния в спектре ПМР соединения II проявляется в области =0.1 м.д. Соотношение интегральных интенсивностей сигналов протонов метильных радикалов у атомов кремния и сигналов протонов (3), (4) также соответствует расчетному значению 6:1.
Функциональный анализ показал, что содержание хлора в полученном соединении II составляет 5.75% (расчетное значение 5.6%). Перечисленные выше данные свидетельствуют о том, что реакция гидросилилирования (схема (3)) протекает достаточно селективно по концевой двойной связи эфира I, не затрагивая двойную связь в стероидном ядре холестерина.
Гидролиз соединения II проводили в 1%-ном эфирном растворе избытком воды при 0oС, в присутствии аммиака в качестве акцептора выделяющегося HCl. Приведенные условия позволяют практически исключить протекание в реакционной системе нежелательных конденсационных процессов, приводящих к димеризации образующегося силанола III.
В ИК-спектрах силанола III наблюдается широкая полоса поглощения валентных колебаний ассоциированных гидроксильных групп у атомов кремния в области 3960 см-1.
"Прививку" холестеринсодержащих мезогенных групп к силоксановой матрице осуществляли гетерофункциональной конденсацией между и соединением III в присутствии пиридина в качестве акцептора выделяющегося HCl (рис. 22). Полученное целевое соединение IV очищали переосаждением из раствора в ТГФ этанолом. Конечный продукт представляет собой бесцветное воскообразное вещество.
Рис.22. “Прививка” холестеринундециленатных мезогенных групп к дендритной метилхлорсилоксановой матрице.
Соотношение интегральных интенсивностей сигналов протонов метильных радикалов у атомов кремния (синглет =0.1 м.д.) в спектре ПМР соединения IV и сигналов протона при двойной углерод-углеродной связи (синглет =5.7 м.д.) в стероидном ядре холестерила близко к расчетному значению 14:1.
Кривая ГПХ соединения IV после очистки многократным переосаждением этанолом имеет вид симметричного пика (рис. 23), что также подтверждает чистоту полученного соединения.
1.2. Карбосилановые дендримеры с различными концевыми
мезогенными группами.
После того, как был получен первый дендример с концевыми холестеринсодержащими мезогенными группами было показано, что он проявляет ЖК свойства, первоочередной задачей стала разработка универсального подхода к синтезу подобных систем, позволяющего получать ЖК дендримеры на основе дендритных матриц любых размеров с различными мезогенными группами.
Схема, реализованная на первом этапе нашей работы, позволила получить первый ЖК дендример, но выход чистого конечного продукта был небольшой (20%). Очевидно, это связано с неустойчивостью при хранении промежуточного продукта - мезогенсодержащего силанола. Хотя его и удалось выделить в чистом виде и охарактеризовать, при стоянии в растворе в течении нескольких суток он практически полностью претерпевает реакцию конденсации с образованием дисилоксана. Малейшее присутствие ионных примесей катализирует этот процесс, который сам по себе не идёт. Этот недостаток значительно уменьшает привлекательность данного синтетического подхода для выбора его в качестве базовой схемы синтеза ЖК дендримеров.
















