102109 (590531), страница 4
Текст из файла (страница 4)
Если происходит принятие неадекватных решений в области управления производством (4), то возможно либо повышение уровня издержек (11), либо снижение объемов производства (12), а затем переход к (10) и (16) явлениям. Принятие неадекватных решений в области управления финансами (5), возможно, приведет к тому, что вместо вложения собственных средств в развитие производства произойдет покупка ценных бумаг или выдача дивидендов (13). В результате отсутствия средств для финансирования производства (14) потребуется привлечение заемных средств к финансированию производства (15), соответственно, повысится уровень издержек (11), связанных с обслуживанием кредита и далее снизится прибыль и ухудшится КПФ. В результате развития представленных в цепочке экономических явлений происходит ухудшение КПФ и, как следствие, может развиться банкротство фирмы.
Рисунок 2 - Экономические явления, вызванные параметрами информационных ресурсов
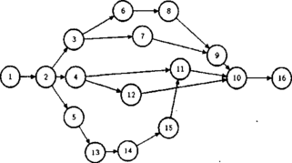
Рисунок 3 - Цепочка экономических явлений, которые могут наступить под влиянием исходного явления «Падение спроса на товары фирмы».
Такая последовательность экономических явлений — только один из возможных вариантов возникающих явлений. События могут развиваться и по-иному. То, по какому из указанных путей фирма скорее будет приближаться к кризисному состоянию в данном случае, зависит, прежде всего, во-первых, от структуры фирмы, от организации производства и т. п., и, во-вторых, на какой стадии ЖЦКПФ находится данная фирма. Также хотелось бы обратить внимание на то, что явления (7) и (8) провоцируют тенденцию к падению спроса на товар фирмы (9), а данный параметр относится к фактору внешней среды. Далее можно проследить развитие событий в цепочке экономических явлений, инициируемых параметрами спроса, независимо от того, было ли падение спроса на товар фирмы спровоцировано изменениями внутренних факторов фирмы или это произошло по каким-то другим причинам.
На рисунке 3 представлена цепочка экономических явлений, возникающих в результате падения спроса на товар фирмы, где:
-
Падение спроса на товар фирмы.
-
Маркетинговые исследования причин падения спроса и выработка новой стратегии.
-
Снижение объема продаж товаров фирмы.
-
Увеличение издержек производства за счет постоянных издержек.
-
Сокращение общей выручки от продаж товаров фирмы.
-
Сокращение массы прибыли, получаемой фирмой.
-
Привлечение заемных средств для реализации новой стратегии маркетинга.
-
Увеличение издержек, связанных с обслуживанием долга фирмы.
-
Привлечение дополнительных собственных средств для реализации новой стратегии маркетинга.
-
Рост общих издержек производства, связанных с освоением новой стратегии маркетинга.
-
Повышение уровня конкурентного преимущества фирмы за счет реализации новой стратегии маркетинга.
-
Рост спроса на товары фирмы на основе новой стратегии маркетинга.
-
Рост цен на товары фирмы в связи с увеличением спроса на товары фирмы.
-
Увеличение объема продаж товаров фирмы и массы прибыли.
-
Стабилизация спроса на товары фирмы, объема продаж и массы прибыли.
-
Утрата конкурентного преимущества фирмы по внешним или внутренним причинам.
-
Снижение платежеспособности фирмы.
-
Кризисное состояние фирмы.
-
Уровень конкурентного преимущества фирмы остался прежним из-за нехватки дополнительно привлеченных ресурсов.
На рисунке видно, что возможны несколько путей (в данном случае 5) приближения к кризисному состоянию фирмы. Главным образом это зависит от того, на какой стадии ЖЦКПФ находится фирма.
Например, если фирма находится на стадии зарождения или, наоборот, спада, то вероятнее всего, что падение спроса на товар фирмы приведет ее к прохождению пути (1), (3), (4), (5), (6), (17), (18). Это связано с тем, что получение кредита, необходимого для соответствующих маркетинговых исследований, маловероятно, а выполнение необходимых мероприятий за счет собственных средств невозможно в силу их отсутствия. На стадии спада КПФ падение спроса на товар фирмы только еще быстрее ускорит процесс приближения к кризисному состоянию.
Следует отметить, что экономический механизм возникновения кризисного состояния фирмы познается как и любой другой механизм через постоянное наблюдение. Сложность наблюдения за экономическими явлениями, последовательность которых приводит к кризисному состоянию фирмы, состоит в многообразии и динамичности элементов внешней и внутренней среды, подвергаемых наблюдению в каждый данный момент времени.
Из таблиц 1 и 2 приложения А видно, что наблюдение должно быть организовано, по меньшей мере, более чем за пятьюдесятью параметрами внешней и внутренней среды, характеризующими условия функционирования фирмы. Совокупность же сигналов о возникновении исходных экономических явлений механизма возникновения кризисного состояния фирмы превышает 200 наименований. Если учесть, что приведенные в таблицах виды сигналов далеко не полно отражают все возможные их модификации, становится ясным, насколько сложно решается проблема их обнаружения в реальной жизни. Тем не менее сложность этой проблемы не может служить основанием для отказа от попыток ее решения.
Нам представляется, что наиболее целесообразным направлением решения проблемы обнаружения упомянутых сигналов является организация сканирования внешней и внутренней среды фирмы на основе маркетинговых исследований, стратегического контроллинга и внутрифирменного экономического анализа.
Как известно, сканирование - это непрерывное упорядоченное поэлементное просматривание пространства или объекта, осуществляемое перемещением какого-либо луча или пучка лучей.
Применительно к рассматриваемой нами проблеме под сканированием следует понимать непрерывное упорядоченное слежение за параметрами внешней и внутренней среды фирмы, характеризующими степень благоприятствования условий для выполнения первоначальной миссии фирмы.
В качестве «пучка лучей», просматривающих внешнюю и внутреннюю среду фирмы, должна выступать группа экспертов - специалистов в области маркетинга, стратегического контроллинга и внутрифирменного экономического анализа, а также отдел информационного обеспечения фирмы.
Сканирование осуществляется на основе предварительно разрабатываемых методических материалов, которые должны включать следующие основные разделы:
1) Перечень подвергаемых наблюдению общих и специфических для каждой фирмы параметров внешней и внутренней среды;
2) Принципы количественной и качественной оценки внешних сигналов о состоянии и динамике экономической, научно-технической, экологической, демографической, социально-политической, правовой конъюнктуры в национальной экономике и ее отдельных отраслях;
3) Принципы количественной и качественной оценки внутренних сигналов о состоянии и динамике стратегического потенциала и конкурентного статуса фирмы и достигнутом уровне конкурентного преимущества фирмы на отечественном и мировом рынках;
4) Периодичность наблюдения установленных параметров состояния внешней и внутренней среды фирмы и принципы разграничения истинных сигналов и «фоновых шумов»;
5) Методы анализа возможных последствий выявленных в процессе наблюдения исходных экономических явлений и инициируемых ими цепочек промежуточных экономических явлений, которые могут вызвать кризисное состояние фирмы;
6) Методы определения «контрольных точек» в цепочках экономических явлений и порядок наблюдения за этими точками;
7) Методы внутрифирменного экономического анализа, обобщающего результаты наблюдения динамики значений параметров внешней и внутренней среды фирмы и оценка результатов анализа с точки зрения их влияния на возможность выполнения первоначальной миссии фирмы;
8) Принципы выработки антикризисных управленческих решений на основе использования результатов наблюдений и внутрифирменного экономического анализа.
Порядок следования перечисленных разделов по существу отражает порядок проведения комплекса работ по сканированию внешней и внутренней среды фирмы и выработки на этой основе антикризисных управленческих решений.
Следует отметить, что осуществление сканирования внешней и внутренней среды фирмы является неотъемлемой частью процесса стратегического управления, поэтому рассмотрение этого подраздела в данной дипломной работе является целесообразным.
1.3 Отдел стратегических исследований и развития как основной элемент системы стратегического управления предприятием
При создании промышленного предприятия путём капиталовложений учредителей в физическую инфраструктуру, создаётся определенный потенциал получения прибыли. В тоже время на созданный конкурентный потенциал влияют условия внешней среды, то есть при несоответствии имеющейся предпринимательской базы тем требованиям, которые выдвигает внешняя среда, конкурентный потенциал уменьшается или же исчезает. Сохранению и увеличению конкурентного потенциала получения прибыли способствует изменение предпринимательских (или стратегических) способностей предприятия. Под этим понятием понимается возможность или способность предприятия к получению прибыли в будущих периодах. Для того чтобы предпринимательские способности накапливать, необходима не только оперативная деятельность, направленная непосредственно на удовлетворение текущих потребностей потребителей и получение прибыли, но и деятельность по выработке и реализации стратегии развития предприятия с учётом изменений внешней среды. В настоящее время проблема конфликта конкурентной и предпринимательской способностей предприятия находится в центре внимания менеджмента. Чаще всего в конкуренции двух способностей одна начинает доминировать, что отражается либо на оперативной деятельности, либо на будущих показателях предприятия. Усреднение способностей также не приносит желаемых результатов, так как не используется в полной мере ни оперативный, ни стратегический потенциалы, что ведёт к ухудшению конкурентных позиций предприятия на рынке. Наиболее перспективным способом разрешения конфликта является обеспечение продуктивного сосуществования обеих способностей. Эффективным способом уменьшения влияния одной способности на другую является разделение бюджета на две части: оперативный и стратегический бюджеты. При таком подходе оперативный бюджет делится на следующие бюджеты:
-
на сохранение текущей прибыли за счёт имеющихся производственных возможностей (маркетинговый и производственный бюджеты);
-
инвестиции в увеличение производственных мощностей и возможностей;
-
инвестиции в увеличение прибыли за счёт снижения издержек.
Стратегический бюджет включает в себя:
-
инвестиции в улучшение конкурентных позиций в стратегических областях бизнеса;
-
расширение стратегических областей бизнеса на основе географической экспансии на новые рынки;
-
развитие новых стратегических областей бизнеса и уход из неперспективных, диверсификация.
Двойной бюджет имеет следующие преимущества:
-
ресурсы стратегического развития не отвлекаются на оперативные потребности;
-
сбалансирование долгосрочных и краткосрочных инвестиций;
-
возможность оценки правильности распределения средств по различным видам работ;
-
анализ двойного бюджета позволяет сравнить время, необходимое для получения отдачи от каждого вида работ.
К недостаткам двойного бюджета следует отнести то, что хотя он и обеспечивает выделение средств на стратегическую деятельность, но он вовсе не гарантирует, что у перегруженного оперативными заботами руководства найдутся время и желание заниматься вопросами исполнения стратегического бюджета. Для обеспечения решения данной проблемы была построена особая структура, так называемый перекрёсток. Суть её заключается в том, что стратегические планы по направлениям деятельности разрабатывают отдельные команды, а после утверждения данных планов они передаются для реализации в подразделения предприятия. Но использование такого подхода приводит к снижению мотивации исполнителей вследствие разделения обязанностей по планированию и реализации стратегии, а также к разделению стратегического и оперативного планирования, что является предпосылкой конфликта между стратегической и оперативной работой.
Поэтому американскими аэрокосмическими фирмами был разработан метод, свободный от перечисленных недостатков – двойная система управления проектами.
В этом методе в подготовке стратегического плана участвуют все организационные единицы. Один из результатов этого плана – распределение приоритетов и бюджетов по стратегическим и оперативным видам деятельности. В процессе стратегического планирования возникают два набора целей и задач: оперативный – получение прибыли в краткосрочном периоде и стратегический – создание потенциала прибыли.
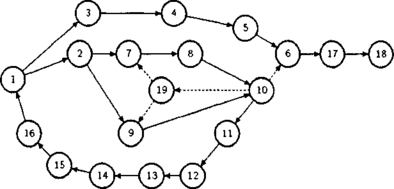
Как показано на рисунке 4, в двойной системе эти наборы целей, стратегий и задач используются для построения планов действующего и вспомогательного бюджетов. Задачи, относящиеся к получению прибыли, становятся оперативными планами, а относящиеся к будущему потенциалу прибыли – планами развития. Особенностью проектов, входящих в план развития, является различная продолжительность по времени, отличие принципов контроля, а также направленность проектов на решение проблем путём взаимодействия всех функциональных подразделений.
















