83264 (589746), страница 4
Текст из файла (страница 4)
В процессе анализа рассматриваемого предприятия будет дана оценка выполнения планов оптового товарооборота и поставки товаров покупателям. Также эти данные будут изучены в динамике; выявлены и определены влияния факторов на развитие оптового товарооборота; изучены причины недостатков в торгово-коммерческой деятельности, если они имеются, и разработаны меры по их устранению и предупреждению; определена стратегия и тактика маркетинговой деятельности изучаемого оптового предприятия.
При анализе торговой деятельности ООО «Торговый Двор «Аникс» используются данные планов его экономического и социального развития, бизнес-планов, бухгалтерской и статистической отчетности, текущего учета, первичных и сводных документов и других источников информации. Некоторые статистические отчеты составляются с использованием натуральных измерителей, что позволяет углубить результаты исследования.
-
-
2.2 Анализ состава, структуры, выполнения плана и динамики товарооборота
Для эффективного управления торговыми предприятиями важное значением имеет анализ объема, динамики, скорости и структуры их товарооборота на потребительском рынке. Изучение существующих тенденций и возможностей торговых предприятий, касающихся реализации товаров, определение факторов, которые позитивно и негативно влияют на объем продаж товаров торговым предприятием, определяются в процессе анализа объема и структуры их товарооборота. В этом случае проведение экономического анализа позволяет:
- изучить процесс выполнения плана товарооборота, ритмичность и сезонность реализации товаров в ретроспективном периоде;
- изучить состав товарооборота по формам, видам, методам продажи, ассортиментной структуре;
- выявить основные тенденции и закономерности в реализации товаров;
- проанализировать и количественно оценить влияние отдельных факторов на объем, состав и структуру товарооборота.
В общем случае анализ товарооборота торгового предприятия может проводиться по следующей схеме5:
«Определение общего объема товарооборота и оценка степени выполнения плана» _ «Оценка и анализ динамики общего объема товарооборота» _ «Анализ товарно-групповой структуры товарооборота» _ «Анализ состава товарооборота по его определенным видам»_«Оценка и анализ ритмичности и сезонности реализации товаров» _ «Количественная оценка факторов, которые обуславливают изменение товарооборота» _ «Анализ запаса финансовой прочности торгового предприятия».
Первый этап проведения анализа заключается в определении общего объема товарооборота торгового предприятия за отчетный период и оценка степени выполнения плана товарооборота.
На этом этапе анализа определяют общий объем реализации товара и платных услуг в стоимостном выражении, а по некоторым товарным группам и видам товаров, кроме того - в натуральном размере.
Оценка степени выполнения плана товарооборота осуществляется путем расчета относительного и абсолютного размеров отклонений фактического объема товарооборота от заданного, которые могут быть вызваны негативным влиянием неучтенных в процессе планирования факторов. Изучение степени выполнения плана проводится не только для оценки качества планирования и степени профессионализма работников планово-экономической службы торгового предприятия, а, прежде всего, с целью оценки динамики его внешней среды и чувствительности к изменению объемов реализации товаров на данном торговом предприятии.
Второй этап сводится к анализу динамики общего товарооборота на протяжении отчетного периода (поквартально, на протяжении года или за 2-5 лет).
Для исследования динамических изменений в объеме товарооборота предприятия строится сопоставимый динамический временной ряд изменения товарооборота. Приведение фактического товарооборота в сопоставимый вид осуществляют по площади торговой сети предприятия, длительности его работы, а так же по ценам реализации товаров.
Корректировка фактического товарооборота в связи с вводом (выбытием) и изменениями в графике реализации товаров осуществляется методом прямого расчета.
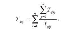
Учитывая достаточно высокую динамику изменения цен на Российском рынке, определение объема товарооборота, сопоставленного с ценами реализации Тсц., может проводиться последующей формуле:
где n- число интервалов времени за отчетный период, на которых цена на различные виды товаров оставалась стабильной;
m- количество наименований товаров различного вида
Tфij – фактический товарооборот за i-й интервал времени отчетного периода по товару j-го наименования;
I цij -индекс прироста цены реализации товара j-го наименования на i-м интервале отчетного периода по сравнению с предыдущим периодом i -1, который рассматривается как базовый.
Средний индекс изменения цен рассчитывается непосредственно предприятием с учетом структуры товарооборота и информации об изменении цен реализации на определенные товары на различных интервалах отчетного периода. Использование для корректировки индекса инфляции за соответствующий период обычно является некорректным в связи с отличиями в структуре товарооборота торговых предприятий.
На базе построенного динамического ряда сопоставимого товарооборота вычисляются абсолютные изменения в объеме реализации товаров, а так же темпы роста и прироста что касается предыдущего и базового периода.
Важное значение для планирования и управления торговым предприятием имеет так же определение средних темпов изменения объема товарооборота (среднеквартальных или среднегодовых) по формуле среднегеометрической2:
где Т - среднегеометрический темп роста;
Yk - конечный показатель динамического ряда;
Y0 - начальный показатель динамического ряда
n – количество показателей в динамическом ряду.
Третий этап сводится к анализу товарно-групповой структуры товарооборота торгового предприятия за отчетный период и в динамике, определение закономерностей развития объема продажи по отдельным товарным группам (видами и разновидностями товаров).
На этом этапе аналитической работы изучаются темпы роста и прироста, абсолютный объем изменения товарооборота по отдельным товарным группам (видами и разновидностями товаров), определяется вес отдельных товарных групп (видов товаров) в общем объеме товарооборота предприятия. В процессе проведения этой работы используется информация, полученная в коньюктурных рейтингах (изучение рынка соответствующих товаров), что позволяет определить объективные (изменение объема и структуры спроса, специализации предприятия, объемов и структуры товарного предложения, налогового регулирования) и субъективные (недочеты в организации закупки и продажи товаров, просчеты в планировании, недобросовестность персонала и др.) причины изменения ассортиментной структуры товарооборота предприятия и объема реализации товаров.
Изучение ассортиментной структуры товарооборота позволяет производить ранжирование товарных групп по степени их значимости (вклада) в общий товарооборот предприятия, а также количественно оценивать положительное или негативное влияние динамики реализации отдельных видов товаров на общий объем товарооборота предприятия и дальнейшие возможности его увеличения.
Четвертый этап сводится к анализу состава товарооборота предприятия в зависимости от положения конечных потребителей, форм и сроков расчетов, характера реализуемых товаров, организационных форм и методов торговли.
Исследование состава товарооборота предприятием проводится за отчетный период и в динамике. Предвидит определение основных закономерностей отдельных видов товарооборота – реализацию товаров населению и оптовым потребителям, с немедленной оплатой и в кредит, оплата наличными и по безналичному расчету, новых и бывших в употреблении товаров, в стационарной торговой сети и в пунктах мелкооптовой торговли и др.
Для проведения исследования рассчитывают и сопоставляют между собой объемы реализации товаров по отдельным видам товарооборота, темпам их роста и прироста, исследуют изменение их веса в общем объеме товарооборота.
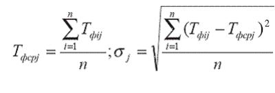
Пятый этап сводится к проведению анализа объемов реализации товаров поквартально и помесячно, исследование ритмичности работы и сезонности реализации товаров и определение факторов, которые их обуславливают.
Для проведения анализа за отчетный период и в динамике рассчитывают показатели, которые характеризуют ритмичность реализации товаров: средний за отчетный период фактический товарооборот для товара j-го наименования (Тфсрj), среднеквадратическое отклонение (σj) товарооборота товара j-го наименования от его среднего объема за отчетный период и коэффициент вариации (νj) товарооборота товара j-го наименования в отчетном периоде:
Среднеквадратическое отклонение определяет диапазон колебания реализации товаров, то есть минимальный и максимальный объем товарооборота предприятия в среднем за период исследования.
Коэффициент вариации оценивает равномерность реализации товаров на протяжении периода, который исследуется, то есть относительный (в %) размер отклонения объема товарооборота от среднего размера. При этом, если коэффициент вариации νj равен нулю, то это говорит о стабильном товарообороте товара j-го наименования в отчетном периоде. Если νj= 1, то это показывает высокий уровень нестабильности товарооборота товара j-го наименования в отчетном периоде.
Исследования названных показателей дает возможность установить степень равномерности продажи товара по месяцам и кварталам, выявить особенности торговли и спроса на товары, которые реализует предприятие. Чем выше значение имеют показатели, тем менее ритмичнее является процесс реализации товаров на данном предприятии.
Шестым этапом анализа разнооптового товарооборота является изучение факторов, которые имели влияние в отчетном периоде на его объем и структуру. С этой целью дается количественная оценка влияния факторов внутреннего порядка (факторов, связанных с товарными ресурсами; с численностью работников, организацией и продуктивностью работы; с использованием основных способов) исследуется характер влияния факторов внешней среды (спрос потребителей на товары, предложение товаров на рынки, цены на товары, деятельность конкурентов на потребительском рынке, уровень жизни и реальные денежные доходы населения, которые обслуживаются, социально-демографические факторы и др.)
Количественная оценка влияния отдельных факторов проводится методом цепных подстановок и индексным методом на базе моделей связи факторов и объема товарооборота предприятия.
Завершается анализ товарооборота предприятия седьмым этапом и сводится к исследованию запаса финансовой прочности предприятия, в ходе которого определяется возможное падение товарооборота (в абсолютном и относительном измерении) к достижению критической таблицы «точки безубыточности деятельности».
Допустимая граница снижения объема товарооборота характеризует порог безопасности предприятия (ПБто) и запас финансовой прочности (ЗФПто). Их значения рассчитываются по следующим формулам:
где Тф – фактический объем товарооборота предприятием;
Тб/з – объем товарооборота, при котором обеспечивается безубыточная деятельность.
Чем большее значение имеют порог безопасности и запас финансовой прочности предприятия, тем лучше осуществляется процесс управления объемом, составом, динамикой, скоростью и структурой товарооборота с точки зрения обеспечения условий для его самоокупаемости и самофинансировании.
















