62906 (588852), страница 3
Текст из файла (страница 3)
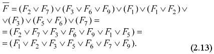
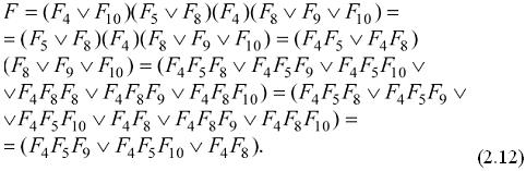
Полученный результат
(2.12)
содержит во всех термах дефект F4, означающий его обязательное присутствие в функциональности SoC. Если принять гипотезу о существовании одиночного или минимального числа кратных дефектов, то предпочтительным является решение, определяемое третьим термом
– в схеме существует два дефекта, которые формируют на выходах ВЭП, равный V = (10001001001).
2.4 Уточнение диагноза F-IP, с помощью моделирования
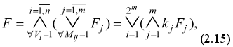
Полученная дизъюнктивная форма (2.2) является основной моделью для поиска дефектов. Она не всегда однозначно определяет дефект функциональности, поэтому нуждается в процедурах, уточняющих диагноз. Прежде всего, следует заметить, что все строки M = T × F, которые отмечены нулевыми значениями ВЭП, можно объединить в дизъюнкцию неисправностей (2.2). Получение формы (2.1) из рассматриваемой ТН дает возможность определить все дефекты, которые не могут присутствовать в схеме:
Анализ выражений, представленных формулами (2.12) и (2.13) приводит к следующим выводам:
1) Дефекты, которые не могут присутствовать в схеме, определяются в термах ДНФ, полученных по нулевым строкам относительно ВЭП;
2) Дефекты, которые имеются в ДНФ, должны быть удалены из функции (2.13);
3) Исключение в данном случае дефекта F5 приводит к разрушению двух термов
поскольку без неисправности F5 каждый из них, в отдельности, не сможет сформировать заданный ВЭД;
4) Таким образом, делается единственный вывод – в схеме присутствует двукратная ошибка, определяемая термом
;
5) Вычислительная сложность получения точного и полного множества решений определяется выражением
– число дефектов.
Обозначив отсутствие конкретной неисправности Fi = 0, можно сформировать входные условия для ДНФ (2.12) в целях последующей эмуляции (моделирования) функции при следующих начальных условиях:
(2.14)
Тогда результат моделирования функции
становится равным
.
В самом деле, если неисправности
теоретически проверяемые на тестовых наборах, дают отрицательный результат – все они не искажают состояния выходов, то значит – они отсутствуют в схеме. Обоснование данного факта подтверждается следующими доказательствами.
Лемма 1. Полное множество всех возможных сочетаний дефектов, проверяемых тестом T, определяется как ДНФ, полученная преобразованием конъюнктивной формы:
каждый терм которой записан по единичным значениям строки ТН [17] M = T × F, имеющей состояние ВЭП Vi = 1.
Исходная информация, записанная в соответствии с единичными значениями ВЭП, представляет собой полную модель неисправного поведения реального объекта, которая формирует ВЭП с фиксированным числом единиц (строк ТН), равным k. Каждая строка формирует дизъюнкцию дефектов, записанную по ИЛИ. Число таких дизъюнкций равно k, которые логически перемножаются, образуя полное и непротиворечивое множество событий – дефектов, одновременно присутствующих в схеме. Путем перемножения элементарных дизъюнкций с последующим упрощением выражений, используя аксиомы
, получается ДНФ, которая создает все возможные сочетания, записанные в виде элементарных конъюнкций. Ввиду тождественности выполненных преобразований полученная функция по логике эквивалентна исходной КНФ, а, по сути, есть технологичная форма записи всех решений – сочетаний дефектов, имеющих место быть в схеме.
Лемма 2. Все проверяемые в строках таблицы неисправностей M = T × F дефекты, отмеченные нулевыми значениями ВЭП Vi = 0, в реальном объекте отсутствуют.
В самом деле, ТН M = T × F имеет два типа строк: единичные и нулевые относительно значения ВЭП:
(2.16)
Строка p выявляет наличие в схеме двух дефектов
. Строка q свидетельствует о теоретической проверке неисправностей
, если бы вектор был равен 1: Vq = 1. Но фактически сигнал Vq = 0 идентифицирует несущественность дефектов
для искажения выходов схемы или данные дефекты отсутствуют в тестируемом изделии. Подставив в функцию
нулевые сигналы для
, получаем результат:
.
Аналогично, все дефекты, которые определены в строках, имеющих нулевое значение ВЭП, будут отсутствовать в схеме. Но если это так, то их следует исключить из ДНФ, записанной по единичным значениям ВЭП. Следовательно, имея термы ДНФ и множество дефектов, которые не могут существовать в схеме для заданного ВЭП, можно выполнить процедуру подстановки нулевых сигналов в переменные элементарных конъюнкций функции ДНФ. Но с учетом того факта, что,
, результат подстановки и последующих преобразований, в целях получения минимальной функции, будет иметь только те термы, которые не имеют переменных – дефектов с нулевым значением сигналов. Это означает, что из ДНФ будут исключены все дефекты, относящиеся к нулевым, относительно ВЭП, строкам таблицы неисправностей.
Теорема 1. Минимальное множество всех возможных сочетаний дефектов, определяемых по ТН M = T × F, вычисляется путем моделирования ДНФ на множестве начальных условий:
определенных нулевыми значениями всех проверяемых дефектов, соответствующих нулевым сигналам ВЭП.
В соответствии с леммой 1 полное множество всех возможных сочетаний дефектов, проверяемых тестом, определяется в виде ДНФ:
которая формирует все решения, удовлетворяющие единичным значениям вектора экспериментальной проверки Vq = 1. Оно может быть уменьшено за счет исключения тех дефектов, которые теоретически проверяются тестом, но фактически, на тестовых наборах они не искажают состояний выходов, что означает их отсутствие в реальной схеме. Следовательно, их можно исключить из термов ДНФ, образующих полное множество всех возможных сочетаний. Механизм такого исключения, согласно лемме 2, заключается в подстановке нулевых значений переменных в термы ДНФ с последующим моделированием (упрощением) функции. Если терм имеет 0-компонент некоторой переменной Fi, то, согласно алгебре логики, весь терм обращается в 0, что означает его исключение из ДНФ.
В результате минимизации, на основе учета условий леммы 2, остается минимальная ДНФ, содержащая наименьшее число возможных сочетаний дефектов (одиночных и кратных), которое невозможно сократить без использования дополнительной диагностической информации, поступающей от мультизонда на основе boundary scan-регистра.
Таким образом, предложенный АЛМ диагностирования использует булево исчисление в качестве базового аппарата для решения задачи покрытия путем получения дизъюнктивной формы, минимизирующейся путем исключения термов, имеющих переменные дефектов, относящиеся к строкам с нулевыми значениями ВЭП. Для незначительного числа дефектов в цифровой системе на кристалле вычислительная сложность позволяет осуществлять поиск неисправностей в реальном масштабе времени.
2.5 Условное диагностирование F-IP на основе ДНФ
В целях существенного уменьшения области подозреваемых дефектов, на практике используется метод половинного деления [16], основанный на использовании интерактивной процедуры зондирования внутренних точек контроля, которые обеспечивают полученную ДНФ дефектов дополнительной информацией для уменьшения множества дефектов. В данном случае таким зондом может быть регистр граничного сканирования, который способен определить состояние внутренней линии в целях исключения дефектов или их подтверждения.
Стратегия выбора контрольной точки ориентирована на примерно половинное деление подозреваемого множества – исключение на каждом шаге половины дефектов путем моделирования – упрощения исходной ДНФ. Суть метода половинного деления на ДНФ, представляющей все возможные сочетания дефектов в схеме, можно продемонстрировать на следующем примере.
Выбор первой точки контроля, например F9 = 0, превращает булеву функцию
в уменьшенное выражение:
(2.19)
Если же F9 = 1, что означает подтверждение дефекта на линии, то уменьшения размерности ДНФ не происходит. Необходимо ориентировать алгоритм выбора точек контроля на максимальное уменьшение исходной ДНФ после введения начальных условий (Fj = {0, 1}) для моделирования. Критерием выбора точки контроля может служить взвешенность мощностей ДНФ, полученных после моделирования обоих состояний проверки.
Правила выбора контрольной точки регламентируются следующими утверждениями.
Утверждение 1. Если Fj присутствует во всех термах ДНФ, то данный дефект существует обязательно в схеме – его не следует тестировать. В противном случае, если предположить, что проверка будет равна нулю, то все термы обращаются в нуль, а это противоречит условию существования ненулевых значений ВЭП V.
Утверждение 2. В схеме присутствует только одно сочетание дефектов, определенное одним термом ДНФ. Если найдено одно подтвержденное решение в виде терма ДНФ, то остальные термы следует исключить из рассмотрения путем их обращения в нуль.
Поэтому задача минимизации точек контроля сводится к выполнению двух альтернативных стратегий:
1) Рассмотрение переменных в термах минимальной длины для подтверждения всех дефектов в терме путем их зондирования;
2) Проверка таких переменных, которые обращают в нуль максимальное число термов ДНФ.
В случае существования функции
, которая имеет терм минимальной длины 2, а также переменную F4 во всех термах, единственно лучшим решением будет проверка F8, которая дает при положительном результате искомое множество дефектов, а при отрицательном – оставшиеся два терма, подлежащие зондированию:
(2.20)
Проверка F5 дает следующие результаты послезондового моделирования двух вариантов функций:
(2.21)
Далее, после (F5 = 1), должны последовать две проверки из трех (F9, F10, F8), которые убирают все термы, кроме одного, определяющего решение:
(2.22)
Критерием окончания процедуры диагностирования является получение одного терма ДНФ, которое идентифицирует наличие кратного дефекта в функциональности цифровой системы на кристалле.
Далее предлагается еще один пример выполнения интерактивной процедуры диагностирования на основе анализа ДНФ:
(2.23)
В устройстве существует кратная неисправность
Выполняется подсчет весов каждой переменной, входящей в ДНФ:
2) Вероятность присутствия в схеме дефектов коррелируется с их весовыми коэффициентами. Следовательно, в целях получения единственного решения в виде терма ДНФ, необходимо выбирать, в качестве точек контроля, переменные, имеющие минимальный вес, обращающие термы в нулевые составляющие. Следуя сказанному, первая и вторая точки контроля есть (F3, F6), имеющие минимальный вес:
3) После каждого шага выполняется перерасчет весовых коэффициентов, корректирующий последующие шаги:
Здесь установлен факт наличия в схеме дефектов (F4, F8), которые уже не подлежат зондированию в соответствии с условием утверждения 1.
Проверка дефекта F2 дает следующий результат:
(2.25)
Пересчет коэффициентов:
















