62906 (588852), страница 2
Текст из файла (страница 2)
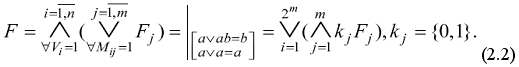
где дедуктивная функция F на тест-векторе T есть модифицированное описание исправного поведения, позволяющее вычислять списки входных неисправностей, транспортируемые на выход схемы под воздействием входных сигналов. На примере функции Xor демонстрируется синтез дедуктивной функции по карте Карно:
Переменные xy – булевы, а сигналы ab – (регистровые) для записи списков дефектов:
(1.4)
Аппаратная реализация дедуктивной функции, представленной формулой (1.4), изображена на рис. 1.5.
Рисунок 1.5 – Дедуктивный примитив функции Xor
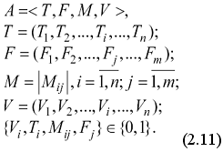
Схемный примитив является универсальным по отношению к различным тестовым последовательностям. Стратегия, рассмотренная в данной квалификационной работе относительно синтеза моделей, основывается на создании библиотеки дедуктивных элементов, покрывающих все стандартизованные конструктивы функциональностей, которыми оперирует разработчик, создавая в автоматизированном режиме проект в виде цифровой системы на кристалле. В данном случае речь идет о синтезе дедуктивной структуры на основе мэппинга, суть которого представлена на рис. 1.6.
Рисунок 1.6 – Mapping дедуктивной модели для F-IP
Предложенный в [6] подход к дедуктивному анализу, предполагает создание на кристалле еще одной встроенной модели, которая должна обеспечивать практически все шесть сервисов, предусмотренных стандартом инфраструктуры I-IP.
Платой за качество диагностического и тестового обслуживания является достаточно высокая стоимость дополнительных аппаратурных затрат, которые превышают штатную функциональность в 10 – 15 раз. При этом выигрыш в быстродействии, по сравнению с внешней программной реализацией дедуктивного анализа, составляет 2 – 3 порядка, что практически обеспечивает сервисное обслуживание в реальном масштабе времени.
Другое, более экономичное решение проблемы, связано с интерактивной модификацией схемной структуры дедуктивной модели для каждого тест-вектора. Для этого используется внутренняя память кристалла, где формируется модель по правилам, определенным в (1.2). Мэппинг (см. рис. 1.6) дает дедуктивную функцию, где аппаратные затраты равны стоимости функциональности F-IP.
2. Алгоритмическое и программное обеспечение тестирования пакета кристаллов ГАС
2.1 Алгебро-логический метод диагностирования неисправностей
В данном методе, основная роль отводится технологии граничного сканирования, которая, в настоящее время, внедренная в кристалл, призвана облегчить решение практически всех задач сервисного обслуживания функциональных модулей системы на кристалле.
Контроллер доступа к внутренним линиям и портам регистра граничного сканирования использует ячейку или разряд регистра. В совокупности, число таких ячеек, обеспечивающих в данном случае мониторинг, должно быть равно количеству проблемных наблюдаемых линий проекта, которые необходимы для точного установления диагноза.
Основанная на регистре граничного сканирования процедура диагностирования использует также информацию из таблицы неисправностей (ТН), которая представляет собой множество дефектов, покрываемых тестовыми наборами. Используя информацию о результате проведения диагностического эксперимента, которая представлена в виде вектора экспериментальной проверки (ВЭП):
а также таблицу [12] неисправностей F, выполняется процедура установления диагноза по выражению, записанному в форме произведения дизъюнкций всех дефектов [16], которые могут дать экспериментальную реакцию в виде V, определенном единичными и нулевыми значениями:
Полученная из таблицы неисправностей КНФ трансформируется к ДНФ с помощью эквивалентных преобразований (логическое умножение, минимизация и поглощение) [11, 16]. В результате получается булева функция, где термы – логические произведения – представляют полное множество решений в виде сочетания дефектов (дающих по выходам SoC или ее компоненту вектор экспериментальной проверки V):
Представленная процедура, в общем случае, диагностирует некоторое подмножество дефектов, которое в дальнейшем нуждается в уточнении путем применения дополнительного зондирования внутренних точек с помощью регистра граничного сканирования. Пример поиска дефектов рассматривается на основе следующей ниже таблицы неисправностей (столбцы – дефекты, строки – тестовые последовательности), которая является продуктом дедуктивного анализа дефектов и вектора экспериментальной проверки [17]:
Количество единиц в ВЭП V, формирует число дизъюнктивных термов КНФ (2.2). Каждый терм – построчная запись дефектов (через логическую операцию ИЛИ), оказывающих влияние на выходы функциональности. Уже само представление таблицы в виде аналитической записи – КНФ – дает потенциальную возможность существенно сократить объем диагностической информации для поиска дефектов. Тем более, последующее преобразование КНФ к ДНФ на основе тождеств алгебры логики позволяет существенно уменьшить булеву функцию, что иллюстрируется следующим результатом:
Для уменьшения количества вычислений при выполнении логического умножения в первой строке (2.3) исходную запись можно упростить согласно законам булевой алгебры:
(2.4)
Полученный результат
предоставляет все возможные решения – покрытия дефектами строк таблицы неисправностей в функциональности SoC, при условии, что ВЭП имеет все единичные координаты V = (11111). Принимая во внимание фактическое значение ВЭП, равное V = (11011), выполняется моделирование функции F путем подстановки нулевых значений дефектов, которые теоретически проверяются, но дают в векторе V нулевую координату. Такими являются дефекты:
Окончательный результат определяется следующей функцией:
(2.5)
Любое сочетание – конъюнктивный терм ДНФ, приведенный в решении
, покрывает все строки таблицы неисправностей по определению, поэтому введение любой нулевой строки обязательно обращает в ноль функцию F. Поэтому корректное решение, соответствующее вектору экспериментальной проверки, должно изначально учитывать нулевые координаты вектора V. С учетом сказанного из выражения (2.3) на стадии записи КНФ необходимо исключить терм
Результат представляет все возможные решения, которые приводят к реакции изделия, определенного заданным ВЭП:
(2.7)
Дополнительное моделирование последней булевой функции дает окончательное решение в виде сочетания двух дефектов:
(2.8)
2.2 Алгоритмизация АЛМ диагностирования неисправностей
АЛМ может быть формально рассмотрен на примере следующей таблицы неисправностей M1 и представлен в виде пяти пунктов алгоритма:
1. Определение всех строк, соответствующих нулевым значениям ВЭП в целях обнуления всех единичных координат найденных строк. В данном случае – это одна строка T5.
2. Нахождение всех столбцов, которые имеют нулевые значения координат строк с нулевым состоянием ВЭП. Обнуление единичных значений найденных столбцов. В данном случае: F2, F5, F6.
3. Удаление из таблицы неисправностей строк и столбцов, имеющих только нулевые значения координат (найденные в пунктах 1 и 2).
4. Построение КНФ по единичным значениям ВЭП:
5. Преобразование КНФ к ДНФ с последующей минимизацией функции. В данном случае это приводит к получению искомого результата в виде сочетания неисправностей:
(2.10)
Предложенный алгоритм ориентирован на предварительный анализ ТН, в целях уменьшения объема и последующих вычислений, связанных с построением ДНФ, формирующей все решения по установлению диагноза функциональностей SoC. Дальнейшее уточнение диагноза возможно только с применением мультизонда на основе регистра граничного сканирования данных [7].
2.3 Алгебро-логическая модель диагностирования F-IP
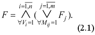
Структура модулей сервисного обслуживания I-IP для диагностирования дефектов в функциональных блоках F-IP представлена на рис. 2.1. Компаратор (
) анализирует выходные реакции модели и реального устройства на входные тестовые векторы, поступающие от генератора тестов. Несовпадения модельных и экспериментальных реакций на тесте формируют единичные координаты ВЭП
для каждого входного набора. Взаимодействие ВЭП с ТН (
размерностью
число тест-векторов, n – количество разрядов boundary scan регистра) и схемной структурой дают множество линий и элементов, подозреваемые как дефектные на текущем тест-векторе.
Рисунок 2.1 – Модель процесса диагностирования F-IP
Для организации вычислительных процессов, приводящих к точному диагнозу, чрезвычайно важна метрика или форма представления исходной информации.
Интересное решение задачи диагностирования может быть получено путем применения булевой алгебры и таблицы неисправностей M, представляющей собой декартово произведение теста Т на множество заданных дефектов F, в совокупности с ВЭП V, где выполнение задачи покрытия дает максимально точный результат в виде ДНФ, а каждый терм есть возможный вариант наличия в устройстве дефектов. Итак, модель процесса диагностирования представлена компонентами:
Решение задачи диагностирования сводится к анализу ТН, полученной в результате моделирования дефектов, путем записи логического произведения дизъюнкций (КНФ), записанных по единичным значениям строк таблицы неисправностей (2.1). Далее КНФ трансформируется к ДНФ (2.2) с помощью эквивалентных преобразований. В результате получается булева функция, где термы – логические произведения – есть полное множество решений, представляющее собой сочетания дефектов, дающие по выходам функциональности ВЭП, полученный в результате выполнения диагностического эксперимента.
Следующая матрица M = T × F является примером алгебро-логического анализа дефектов на основе ТН в функциональных блоках системы на кристалле, число которых равно 10. Тест, длиной 11 входных наборов, проверяет все введенные в таблицу неисправности. Вектор экспериментальной проверки цифрового устройства V = (10001001001), полученный при выполнении диагностического эксперимента, фиксирует несовпадения выходов устройства по сравнению с моделью (золотым эталоном) на четырех (1, 5, 8 и 11) тестовых наборах.
В соответствии с числом единиц в ВЭП V, формируется количество дизъюнктивных термов КНФ, равное 4. Каждый терм есть построчная запись дефектов через логическую операцию ИЛИ, оказывающих влияние на искажение выходных сигналов функциональности.
Далее осуществляется преобразование КНФ к ДНФ на основе правил алгебры логики, что дает возможность получить результат:
















