48495 (588551), страница 5
Текст из файла (страница 5)
Сообщения централизованного конфигурирования CSCF формируются БС и транслируются по сети для информирования всех ее узлов о текущем состоянии. CSCF включает такую информацию, как число доступных логических каналов и их перечень, перечень узлов в сети с указанием числа дочерних узлов для каждого из них, а также профили восходящих/нисходящих пакетов для каждого дочернего узла.
3.3 Особенности применения многостанционного доступа OFDMA
Режим WirelessMAN-OFDMA (далее – OFDMA), как следует из его названия, это метод множественного доступа посредством разделения ортогональных несущих. В отличие от рассмотренного в предыдущей публикации [2] метода WirelessMAN-OFDM, речь идет уже не только о механизме модуляции, но и о способе разделения каналов. Данный механизм уже достаточно хорошо известен, в частности, он нашел широкое применение в системах цифрового телевидения DVB (наземных, кабельных и спутниковых). Один логический OFDMA-канал образован фиксированным набором несущих, как правило, распределенных по всему доступному диапазону частот физического канала. В упрощенном виде этот механизм опционально используется в режиме OFDM – вспомним разбиение канала на 16 подканалов.
С точки зрения формирования модуляционных символов OFDMA аналогичен OFDM: OFDMA-символ включает собственно зону передачи данных и предшествующий ему защитный интервал (повтор начального фрагмента символа), предназначенный для предотвращения межисмвольной интерференции). Сам символ – это совокупность модулированных ортогональных несущих. В режиме OFDMA несущих значительно больше, чем в OFDM – 2048 вместо 256, соответственно и число подканалов становится достаточным для организации работы сети: в разных режимах их от 32 до 70, по 24 или 48 информационных несущих в каждом. Используются не все 2048 несущих – около 200 нижних и 200 верхних частот составляют защитный интервал канала и не модулируются. Также не используется центральная частота канала (частота с индексом 1024). Кроме того, часть несущих – пилотные, предназначенные для служебных целей, а не для передачи информации. Точное число пилотных несущих и частот в защитных интервалах незначительно варьируется в зависимости от режимов OFDMA, описанных далее.
Системная тактовая частота всегда составляет 8/7 ширины полосы физического канала BW. Ширина физического канала не нормирована (в стандарте говорится "не менее 1 МГц), но в реальных применениях вряд ли окажутся эффективными каналы менее 5 МГц.
Метод формирования, структура OFDM-символов и механизм канального кодирования в OFDMA схожи с описанными для OFDM [2]. Канальное кодирование включает рандомизацию, помехоустойчивое кодирование, перемежение и модуляцию. Метод рандомизации практически идентичен OFDM, различны лишь способы формирования инициализирующего вектора генератора псевдослучайной последовательности (ПСП).
Помехоустойчивое кодирование в OFDMA в качестве обязательного предусматривает только сверточный кодер – такой же, как в OFDM, и с тем же набором скоростей кодирования. Кодера Рида-Соломона нет. Опционально предусмотрено применение блоковых и сверточных турбо-кодов. Метод перемежения также практически идентичен.
В нисходящем канале первый символ – это преамбула. Несущие в символах преамбул модулируются посредством BPSK специальным псевдослучайным кодом, зависящим от используемого сегмента (в режиме PUSC) и переменной IDcell, задаваемой на МАС-уровне [3]. В преамбуле модулируется каждая третья несущая всего канала (кроме несущих защитных интервалов и центральной), причем начальный сдвиг [0..2] задается дополнительно. Распознав тип преамбулы, АС сразу определяет значение переменной IDcell и режим работы БС.
За преамбулой следуют два символа, передающие заголовок кадра FCH и карту распределения полей нисходящего канала DL-MAP. Заголовок транслируется посредством QPSK со скоростью кодирования 1/2. Он содержит префикс нисходящего канала (DL Frame prefix), в котором указываются используемые сегменты и параметры карты нисходящего канала DL-MAP (длина, используемый метод кодирования и число повторений), транслируемой сразу за заголовком кадра. Также в заголовке используется флаг, установка которого означает изменение в расположении области конкурентного доступа в восходящем субкадре по отношению к предыдущему кадру.
Далее транслируется карта восходящего канала UL-MAP и нисходящие пакеты данных для разных АС.
Режим FUSC означает, что используются весь диапазон физического канала (все возможные несущие). Это 1702 несущие информационные частоты и защитный интервал (173 и 172 несущих в верху и низу диапазона, соответственно). Центральная частота с индексом 1024 не используется.
Рисунок 13 – Совмещение различных “зон перестановки” в OFDMA-кадре.
В режиме FUSC прежде всего назначаются пилотные частоты. Они подразделяются на фиксированные и переменные. Списки тех и других приведены в стандарте. Термин "переменные пилотные частоты" означает, что в каждом четном OFDMA-символе их индексы соответствуют приведенным в документе IEEE 802.16, в каждом нечетном – увеличиваются на 6 (нумерация OFDMA-символов начинается с 0). Всего предусмотрено 166 пилотных частот, из них 24 – фиксированные. И фиксированные, и переменные пилотные частоты разбиты на два набора, одинаковых по объему. Это разбиение имеет значение только при работе с адаптивными антенными системами в режиме пространственно-временного кодирования (STC).
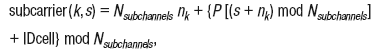
После определения пилотных частот оставшиеся 1536 несущих предназначены для передачи данных. Они подразделяются на Nsubchannels = 32 подканала по Nsubcarriers = 48 несущих в каждом. Назначение информационных несущих подканалам происходит в соответствии с формулой:
где subcarrier(k,s) – индекс несущей k в подканале s, s = [0...Nsubchannels – 1],
k = [0…Nsubcarriers – 1],
nk = (k + 13s) mod Nsubcarriers. IDCell
– идентификатор отдельного сегмента БС, определяемый на МАС-уровне (задаваемая базовой станцией целая переменная в диапазоне 0–31). P(x) означает х-ый элемент последовательности перестановок {P}, приведенной в стандарте (P = {3, 18, 2, 8, 16, 10, 11, 15, 26, 22, 6, 9, 27, 20, 25, 1, 29, 7, 21, 5, 28, 31, 23, 17, 4, 24, 0, 13, 12, 19, 14, 30}). Операция x mod k – это остаток от x/k.
Очевидно, что перед применением приведенной формулы информационные несущие должны быть перенумерованы так, чтобы их индексы укладывались в диапазон 0–1535 (последнее значение соответствует физическому индексу 1702), т.е. пронумерованы подряд, без учета пилотных частот. Поскольку в четных и нечетных символах расположение пилотных частот различно, распределение информационных несущих для них также нужно вычислять независимо.
В режиме PUSC весь доступный диапазон подразделяется на 60 подканалов. По определению, для работы используется лишь часть из них, но не менее 12. Подканалы группируются в шести сегментах, из них три базовых (сегменты 0, 1 и 2), каждый включает 12 подканалов (0–11, 20–31 и 40–51 подканалы, соответственно). Очевидно, исходя из требования минимума в 12 подканалов, не базовые сегменты могут использоваться лишь совместно с базовыми. Деление на сегменты введено, чтобы БС было проще сообщать, в каких подканалах она работает (достаточно сообщить номера сегментов).
Рисунок 14 – Структура кластера
Символ в режиме PUSC формируется по следующему принципу. Всего предусмотрено 2048 частот, из них центральная (с индексом 1024) и защитные (184 нижних и 183 верхних) не используются. Оставшиеся 1680 несущих последовательно разбивают на 120 кластеров, каждый содержит 14 несущих. После этого последовательные физические кластеры перенумеровываются в "логические" в соответствии с формулой LogicalCluster = RenumberingSequence [(PhysicalCluster+13 IDcell) mod 120], где RenumberingSequence (х) – соответствующий элемент приведенной в стандарте IEEE 802.16 последовательности перестановок, IDcell – определяемый на МАС-уровне идентификатор отдельного сегмента БС (задаваемая базовой станцией целая переменная в диапазоне 0–31). Эта операция фактически означает перемежение – распределение последовательных групп несущих по всему диапазону физического канала. Далее логические кластеры разбиваются на шесть групп (0–23, 24–39, 40–63, 64–79, 80–103, 104–119), по 24 и 16 кластеров. Большие группы соответствуют большим сегментам (по умолчанию, группа 0 соответствует сегменту 0, группа 2 – сегменту 1, группа 4 – сегменту 2). В каждом кластере определяются пилотные несущие – для четных символов это 5-я и 9-я несущие, для нечетных – 1-я и 13-я (рисунок 14).
Таким образом, набору подканалов в пределах сегмента или нескольких сегментов оказывается поставленным в соответствие набор несущих (для 12 подканалов – 336 несущих, из них 24 пилотные и 288 информационных). Информационные несущие в сегменте нумеруются подряд, не учитывая пилотные частоты, после чего в соответствии с формулой (1) каждому подканалу назначаются по 24 несущих. В данном случае в формуле (1) используются значения Nsubchannels = 12 или 8, Nsubcarriers = 24, а также специальные перестановочные последовательности P12 и P8 для сегментов из 12 и 8 каналов, соответственно (приведены в стандарте [3]).
Кроме рассмотренных методов распределения несущих, в стандарте предусмотрены и опциональные механизмы – в частности, т.н. optional FUSC, принципиально не отличающийся от рассмотренного.
Восходящий канал
Восходящий субкадр следует непосредственно за нисходящим через интервал TTG. Он содержит пакеты от абонентских станций и интервал для запроса доступа/инициализации. Минимальный размер одного сообщения в восходящем субкадре (слот) – 3 OFDMA-символа в одном подканале. Это привело к появлению в документе IEEE 802.16 термина "фрагмент" (мозаичный элемент, tile).
Рисунок 15 – Структура “фрагмента” восходящего канала.
Фрагмент представляет собой совокупность трех символов и четырех несущих, в котором положения пилотных частот жестко определены (рисунок 15). Весь частотный диапазон канала (1680 несущих) разбивается на 420 последовательных фрагментов, по 4 несущих в каждом. Предусмотрено 70 подканалов. Каждый из них включает 6 фрагментов – т.е. 24 несущие на символ в одном подканале. Распределение фрагментов по подканалам происходит следующим образом. Все 420 фрагментов разбиваются на 6 групп по 70 фрагментов. В каждый подканал включается по одному фрагменту из каждой группы в соответ ствии с уравнением:
Tile (n, s) = 70n + {P[(n + s) mod 70] + UL_IDcell} mod 70, (8)
где Tile(n, s) – фрагмент n подканала s, n = [0…5], s = [0…69].
P(x) – перестановочная последовательность,
UL_IDcell – переменная в диапазоне 0–69, задаваемая БС на МАС-уровне.
В результате каждому подканалу в каждом символе назначается свой набор несущих.
После распределения по подканалам происходит нумерация информационных несущих в каждом слоте – всего их в трех символах 48. Информационные частоты в подканале нумеруются начиная с наименьшей несущей фрагмента с наименьшим индексом – сначала в первом символе, затем во втором и третьем. Затем информационные несущие в каждом слоте перенумеровываются в соответствии с формулой:
subcarrier (n, s) = (n + 13s) mod 48, (9)
где s – номер подканала, n = [0…47] (т.е. происходит циклический сдвиг нумерации информационных несущих на 13s в каждом подканале s).
Отметим, что в тексте документа IEEE 802.16 происходит подмена терминов: подканалом в восходящем субкадре авторы текста IEEE 802.16 называют именно слот, информационную структуру размером 24 несущих на 3 символа. И когда в документе – английским по белому – написано, что в субканале 48 информационных несущих, следует помнить, что с точки зрения правильной терминологии речь идет не о субканале, а о слоте. Реальных несущих (т.е. физических частот) в субканале всего 24. Умножая их на 3 (число OFDMA-символов в слоте) и вычитая 24 пилотные несущие, как раз и получим 48 информационных несущих.
Опционально в восходящем канале предусмотрен режим, в котором во фрагменте одна пилотная частота (рисунок 16), 6 фрагментов на подканал, всего 96 подканалов (1728 используемых частот).
Механизмы запроса начальной инициализации в сети и первичного запроса полосы пропускания в режиме OFDMA схожи – и принципиально отличаются от других режимов. Для этих запросов в OFDMA используется специально выделенный канал. Он назначается БС и состоит из шести последовательных подканалов, индексы которых приведены в UL-MAP. Запрос представляет собой 144-разрядный CDMA-код, передаваемый посредством BPSK, т.е. 1 бит на несущую в одном символе. В результате для передачи такого кода достаточно 6 подканалов (24 информационных несущих в каждом). Сам код формируется в генераторе ПСП – 15-разрядном сдвиговом регистре с задающим полиномом 1 + X1 + X4 + X7 + X15. Старшие 6 разрядов вектора инициализации генератора ПСП равны переменной UL_IDcell, остальные 9 – константа. Номер кода определяется начальной точкой (т.е. числом тактов генератора ПСП после инициализации) – всего предусмотрено 256 кодов. Причем БС использует только часть из всех возможных кодов – сначала N кодов начальной инициализации, за ними следуют M кодов периодического определения параметров АС, далее L кодов запроса полосы. Для каждой БС задается точка начала этой последовательности (N + M + L).
Рисунок 16 – Структура “фрагмента” восходящего канала в опциальном режиме
Начальная инициализация происходит так: АС, приняв дескриптор восходящего канала и UL-MAP, определяет набор CDMA-кодов и посылает в отведенном интервале случайно выбранный код из группы возможных. Один и тот же код транслируется в двух последовательных OFDMA-символах. Если длительность интервала конкурентного доступа составляет более одного слота, АС может отправить CDMA-код в четырех последовательных символах, причем коды должны быть смежными (т.е. последовательными фрагментами ПСП).
Успешно приняв и распознав CDMA-код (а этого может и не произойти, поскольку в интервале конкурентного доступа возможны коллизии при одновременной работе передатчиков нескольких АС), базовая станция не знает, от какой АС пришел запрос. Поэтому в ответ в UL-MAP следующего кадра она указывает номер принятого CDMA-кода, субканал и символ, в котором код был отправлен. Так АС определяет, что именно ее запрос принят, и понимает, что следующее за этим широковещательное сообщение с указанием диапазона запроса (номера символа, подканала и длительности) предназначено именно ей. В этом сообщении БС передает необходимые параметры для процесса инициализации в сети (включая идентификатор соединения CID, присвоенный МАС-адрес, набор физических параметров и др.). Далее в указанный в UL-MAP интервал АС приступает к штатной процедуре регистрации в сети.















