18155 (586053), страница 2
Текст из файла (страница 2)
Сезонные запасы товаров создаются в определенные периоды года, и их образование связано с сезонностью производства либо с сезонностью спроса и реализации товаров. К целевым товарным запасам относится досрочный завоз товаров в труднодоступные районы, а также образование запасов товаров для осуществления определенных целей (например, для организации встречной торговли при сборе макулатуры и заготовке сельскохозяйственной продукции). Текущие товарные запасы обычно планируют отдельно от сезонных и целевых. Норматив текущих запасов товаров каждое торговое предприятие планирует поквартально в сумме и в днях оборота. При этом норматив текущих товарных запасов в днях на квартал одновременно является и нормативом товарооборачиваемости.
В деятельности торговых предприятий текущие товарные запасы рассматривают, с одной стороны, как источник товарного обеспечения выполнения плана и динамики развития розничного товарооборота, а с другой — как составную часть финансового плана и основу расчета потребности в источниках собственных и заемных средств. В этой связи нормативы текущих товарных запасов, а равно и фактическое их наличие должны оцениваться при анализе товарного покрытия товарооборота по розничным ценам (в общественном питании — по продажной стоимости), а при планировании финансов и изучении финансового положения предприятия — по себестоимости (по покупной стоимости). Нормативы текущих товарных запасов в розничных ценах должны планироваться в разрезе товарных групп, товаров и по торговому предприятию в целом, а по себестоимости — только в целом по предприятию. В норматив текущих товарных запасов в розничной и оптовой торговле включают товары, находящиеся в розничной торговой сети, на складах, в пути, а также товары отгруженные, расчетные документы на которые не сданы в банк для оплаты в пределах установленных сроков. Таким же образом должны определяться и изучаться фактические запасы товаров текущего хранения, что сделать довольно сложно. В форме № 3-торг «Отчет по розничной торговле» текущие товарные запасы учитываются вместе с остатками товаров сезонного хранения и досрочного завоза. Не отражают в указанной форме отчетности товары в пути, а также товары отгруженные, расчетные документы на которые не сданы в банк на инкассо в пределах установленных сроков. Все это следует учитывать при расчете фактических текущих товарных запасов. Розничную стоимость товаров в пути (без стоимости тары) можно определить по данным товарных документов и текущего бухгалтерского учета.
Так как нормативы товарных запасов устанавливаются поквартально, то и их изучение проводится прежде всего по каждому кварталу в отдельности. Анализ текущих товарных запасов начинают с сопоставления фактических их размеров с установленными нормативами. Изучение товарных запасов проводят не только в сумме, но и в днях оборота. Для определения товарных запасов в днях необходимо их сумму разделить на объем розничного товарооборота за изучаемый период и умножить на количество дней этого периода. При анализе принято считать в месяце 30 дней, квартале — 90, в году — 360 дней. При изучении фактических товарных запасов по данным за квартал их обычно определяют в днях исходя из товарооборота данного квартала. При их анализе по данным за месяц фактические товарные запасы в днях на конец месяца определяют к товарообороту истекшего месяца.
К материальным оборотным активам на предприятиях торговли также относятся малоценные и быстроизнашивающиеся предметы (МБП). Они составляют значительную часть материальных ценностей, используемых на предприятиях торговли и общественного питания. В процессе производства собственной продукции, ее реализации и продаже товаров МБП выполняют роль средства труда. Они многократно участвуют в производственном и торговом процессах, сохраняя натурально вещественную стоимость, постепенно теряют первоначальные свойства и качества, т.е. изнашиваются. Стоимость малоценных и быстроизнашивающихся предметов переносится на издержки производства и обращения по мере начисления износа и возмещается за счет полученных доходов от реализации .товаров и собственной продукции. Однако в связи с многочисленностью МБП, незначительной стоимостью, коротким сроком службы и частой необходимостью пополнения по сравнению с другими средствами труда, малоценные и быстроизнашивающиеся предметы учитывают в составе материальных оборотных средств. Следовательно, с точки зрения характера использования малоценные и быстроизнашивающиеся предметы аналогичны основным средствам, а с точки зрения порядка их приобретения — материалам. Промежуточное состояние МБП между основными средствами и оборотными активами обусловливает особенности ведения их учета.
В соответствии с методическими указаниями Министерства финансов Республики Беларусь к малоценным и быстроизнашивающимся предметам относятся:
средства труда, производственный и хозяйственный инвентарь в пределах до установленного лимита. Лимит для отнесения к МБП устанавливается Министерством финансов Белоруссии (с 01.02.1999 года—30 минимальных заработных плат, а для ковров и ковровых покрытий — 10 минимальных зарплат). Руководителю предприятия предоставлено право устанавливать на отчетный год меньший предел стоимости предметов, учитываемых в составе МБП. К ним, в частности также относятся:
-
предметы, служащие менее одного года, независимо от их стоимости;
-
специальные инструменты и приспособления (инструменты и приспособления целевого назначения, предназначенные для серийного или массового производства определенных видов продукции) независимо от их стоимости;
-
орудия лова (тралы, неводы, сети и др.) независимо от их стоимости и срока службы;
-
специальная одежда, включая форменную, специальная обувь, а также постельные принадлежности, включая белье, предметы проката независимо от их стоимости и срока службы и другие аналогичные предметы.
Величина материальных оборотных средств предприятия торговли зависит от многих факторов. Основными из них являются: объем товарооборота, его состав; производственная программа; структура расходуемого сырья; ассортиментная структура покупных товаров; условия и частота завоза сырья и товаров; организация коммерческой работы; организация расчетов за товары с поставщиками и др.
Все факторы можно разделить на внешние, оказывающие влияние независимо от интересов предприятия, и внутренние, на которые предприятие может и должно активно влиять.
К внешним факторам относятся:
-
общеэкономическая ситуация и рыночная конъюнктура, инфляция;
-
система государственного регулирования торговли;
-
налоговое законодательство. Чем больше налоговая нагрузка на предприятиях торговли, тем меньше валового дохода и прибыли остается в их распоряжении, а значит, меньше сумма отчислений на пополнение собственных оборотных средств;
-
условия получения кредитов и процентные ставки по ним.
К внутренним факторам относятся:
-
величина товарооборота. Чем большего объема реализации стремится достигнуть предприятие, тем большая сумма оборотных средств ему необходима;
-
договорные условия поставок и обеспечение их выполнения. Более частая закупка товаров меньшими партиями снижает необходимую сумму оборотных средств. Одна из задач предприятия торговли — ликвидировать сверхнормативные товарные запасы и параллельно совершенствовать систему нормирования;
-
организация коммерческой работы. Комплексное изучение рынка дает возможность вкладывать деньги в закупку тех товаров, которые будут быстро проданы. Это ведет к ускорению оборачиваемости оборотных средств и снижению их расходования;
-
организация расчетов за товары с поставщиками и покупателями. Формы расчетов (акцепт, аккредитив, чек), территориальная отдаленность поставщиков определяют величину оборотных средств, обслуживающих расчеты.
В рыночной экономике особенно важное значение имеет правильная организация и учет материальных оборотных средств, умелое управление и повышение эффективности их использования.
Поскольку оборотные средства включают как денежные, так и материальные ресурсы, от их организации и эффективности использования зависит не только процесс торговли, но и финансовая устойчивость предприятия.
Материальные оборотные средства торговых предприятий призваны обеспечивать непрерывное их движение на всех стадиях кругооборота с тем, чтобы удовлетворять потребности предприятия в товарах и материальных ресурсах, обеспечивать своевременность и полноту расчетов, повышать эффективность использования оборотных средств.
1.2. Задачи и принципы бухгалтерского учета материальных оборотных активов
Целью бухгалтерского учета товаров в оптовой торговле является контроль сохранности, рационального и эффективного использования товарных запасов; своевременное получение полной и достоверной информации о товарообороте, о состоянии расчетов с поставщиками и покупателями, необходимой для составления расчетов по налогам и неналоговым платежам, начисляемым от выручки и валового дохода, и для принятия обоснованных управленческих решений.
Перед бухгалтерским учетом товаров, тары и товарооборота на оптовых предприятиях стоят следующие задачи:
-
контроль своевременности и правильности документального оформления поступления и выбытия товаров и тары;
-
контроль полноты оприходования и списания товаров и тары;
-
контроль за ценами, соблюдением действующего порядка формирования цен на товары и тару и применения оптовых (торговых) надбавок и скидок на товары;
-
контроль за законностью, целесообразностью и эффективностью совершения товарных операций;
-
контроль своевременности представления отчетности материально ответственными лицами;
-
контроль за объемом и темпами роста оптового товарооборота и полнотой отражения выручки от реализации товаров в учете и отчетности;
-
достоверность учета товаров и тары, товарооборота и выручки от реализации товаров;
-
своевременное получение сводной учетной информации по показателям отчетности;
-
качественное проведение инвентаризации товаров и тары и своевременное отражение ее результатов в учете;
-
достоверное отражение в учете валового дохода от реализации товаров;
-
своевременное и правильное исчисление налогов и неналоговых платежей от валового дохода и выявление финансового результата от реализации товаров.
Учет малоценных и быстроизнашивающихся предметов должен обеспечивать;
-
своевременное и полное оприходование МБП и правильность расчетов с поставщиками;
-
контроль за сохранностью МБП по материально ответственным лицам, местам их хранения и эксплуатации;
-
выявление фактической себестоимости приобретенных МБП;
-
правильное документальное оформление и своевременно отражение в учете движения МБП, получение точной информации об их остатках, контроль за соответствием фактического наличия МБП установленным нормативам;
-
контроль за правильностью использования МБП во время их эксплуатации, выявление предметов, не подлежащих дальнейшему использованию;
-
правильное исчисление износа МБП и отнесение его на издержки предприятия;
-
своевременное и правильное списание МБП.
В учете материальных оборотных активов на торговых предприятиях придерживаются следующих принципов:
1. Принцип материальной ответственности работников за товарно-материальные ценности при их приемке, хранении и отпуске. Применение полной индивидуальной или бригадной материальной ответственности определяет ведение учета товаров и тары по местам хранения и материально ответственным лицам.
При приеме на работу материально ответственных лиц администрация предприятия заключаете ними договор о материальной ответственности установленной формы.
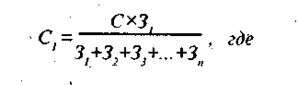
В торговле применяют две формы материальной ответственности: индивидуальную — предприятие заключает договор с одним лицом; коллективную (бригадную) — предприятие заключает договор с бригадой. В зависимости от размера возмещаемого ущерба различают три вида материальной ответственности: полную, ограниченную и повышенную. На оптовых предприятиях применяют полную материальную ответственность за товары по отпускным или фиксированным розничным ценам с налогом на добавленную стоимость и тару по учетным ценам. Ограниченную материальную ответственность, как правило, устанавливают за причиненный ущерб предприятию излишними штрафными выплатами в виду ненадлежащего исполнения своих обязанностей материально ответственными и другими должностными лицами. При этом работники несут индивидуальную, а не бригадную ответственность. Повышенную материальную ответственность применяют в случаях, установленных законодательством, когда причиненный ущерб взыскивается с применением соответствующих коэффициентов или по действующим ценам. ' При бригадной материальной ответственности ущерб взыскивают с членов бригады пропорционально их заработной плате и фактически проработанному времени в межинвентаризационном периоде. Размер ответственности каждого члена бригады (С,) можно определить по следующей формуле:
С—сумма ущерба, причиненного бригадой;
31 32 33..., Зiа-—заработная плата членов бригады за межинвентаризационный период.
2. Принцип документального оформления хозяйственных операций. Этот принцип торговые предприятия реализуют путем применения типовых и специализированных форм товарных документов для учета поступления, реализации и прочего выбытия товаров и тары, которые являются бланками строгой отчетности. Внутреннее перемещение товаров и тары от одного материально ответственного лица к другому производят под контролем и по распоряжению руководителя и главного бухгалтера предприятия.















