14093 (585355), страница 4
Текст из файла (страница 4)
1.2 Методичні засади дослідження економічних відносин в АПK
На різних етапах розвитку ринкових відносин співвідношення ролей держави і ринку закономірно змінюється. Досягнення найвищих рівнів ефективності сільського господарства залежить від оптимальності впливу держави стосовно конкретних сфер і напрямів регулювання, а також "глибини" втручання в ринковий механізм..
Аграрна політика держави як складова економічної політики, спрямована на удосконалення економічних відносин шляхом регулювання функціонування сільського господарства, відіграє дедалі зростаючу роль в розвитку останнього.
Досвід ринкових відносин у розвинутих країнах переконує, що закономірністю розвитку ринкової економіки в аграрній сфері є посилення свідомого цілеспрямованого впливу держави на функціонування ринкового механізму при одночасному підвищенні важливості цього впливу. Про велике значення державного впливу свідчать дані, що субсидії в тій чи іншій формі становлять майже половину вартості сільськогосподарської продукції в Європі і понад 35% - у США. Проте посилення відносної ролі аграрної політики порівняно з ринковим механізмом не слід розглядати як однобічний процес, а швидше як єдність об'єктивної трансформації їх функцій у розвитку аграрної економіки.
Розглядаючи розвиток аграрного сектора як результат діалектичної взаємодії двох вказаних детермінантів, слід звернути уваги на одну методологічну особливість аналізу причин сучасної аграрної кризи. Так, серед таких причин вказуються недооцінка важливості своєчасного відпрацювання офіційної аграрної політики держави, нечіткість державної політики стосовно побудови нового суспільного устрою на селі, недосконалість організації державного управління реформуванням аграрних відносин [19].
Узагальнюючи причини такого порядку, можна стверджувати, що одним з факторів кризи є відсутність або неналежна відпрацьованість впливу держави на ринковий механізм. Безпосередньо цей фактор дійсно набуває форми неспроможності окремих посадових осіб здійснити оптимальний, науково обгрунтований вплив на соціально-економічні процеси на селі.
Водночас ситуацію, що склалася з аграрною кризою, можна інтерпретувати і зворотним чином: причиною кризи є недосконала адаптованість сільського господарства до функціонування в ринкових умовах. Про це свідчить багато фактів як в нашій країні, так і в економіці розвинутих країн.
У розвинутих країнах недостатня адаптованість сільського господарства до ринкових умов проявляється в необхідності постійної підтримки цін і доходів товаровиробників, яка, до того ж, дедалі закономірно стає більш обтяжливою для бюджету і такою, що формує неправильну мотивацію товаровиробників стосовно реального попиту на їх продукцію. Отже, загострення кризових явищ у сільському господарстві можна пояснити відсутністю чіткої аграрної політики, але враховуючи подвійну детермінацію ефективності його розвитку, таке пояснення слід доповнити неоптимальністю ринкових відносин стосовно сільського господарства, або недостатньою адаптованістю останнього до ринкових відносин.
Завдання відпрацювання аграрної політики полягає в тому, щоб знайти ту межу функціонування ринкового механізму, за яку недоцільно перетинати. Умовна ілюстрація цієї межі наведена на рис. 1.2.
Рис. 1.2. Взаємодія ринку і держави як чинники ефективності економічних відносин в АПК
Графік 1.2 демонструє, що перебільшення ролі будь-якого з детермінантів приводить до неефективних розв'язків, суть яких полягає у втраті мотивації товаровиробників до здійснення підприємницької діяльності в сільському господарстві.
В рамках пропонованого нами методологічного підходу стосовно "двофакторного" розгляду ефективності функціонування аграрного сектора надмірна централізація господарської діяльності і недостатній захист її суб'єктів внаслідок поглиблення нееквівалентності міжгалузевого обміну фактично є однорівневими результатами, незважаючи на фундаментальну економічну різницю між ними.
Слід підкреслити, що негативні наслідки неоптимального співвідношення аграрної політики і підприємницької ініціативи проявляються і відчуваються людьми передусім на мікроекономічному рівні.
Двофакторний підхід до аналізу ефективності розвитку сільського господарства пояснює кризові явища в ньому неоптимальністю співвідношення зазначених факторів, а необхідність залучення держави як невід'ємного фактора цього процесу зумовлюється певним ступенем взаємної невідповідності особливостей сільського господарства і ринкової моделі міжсуб'єктних економічних відносин.
Недостатній розвиток та недостатній рівень ефективності аграрного виробництва, низький рівень соціального захисту селян спричинені не тим, що останні не хочуть або не вміють організувати виробництво, а тим, що результати їх праці оцінюються неадекватно їх реальній суспільній цінності.
Враховуючи, що сільське господарство займає технологічну проміжну роль в міжгалузевому комплексі, ця неадекватна оцінка набуває форми нееквівалентності міжгалузевого обміну. Причиною незбалансованості міжгалузевого обміну, як встановлено вище, є галузева специфіка сільського господарства.
Тут важливо підкреслити два методологічні аспекти аграрної політики. По-перше, вона зумовлена галузевою специфікою сільського господарства; по-друге, оскільки ця несприятлива для нього в умовах ринкових відносин специфіка проявляється в процесі міжгалузевої взаємодії, то обгрунтовано говорити про пріоритетну міжгалузеву спрямованість аграрної політики, тобто сутністю останньої є регулювання міжгалузевих відносин.
Якщо перший аспект так чи інакше стосується будь-якого різновиду економічної політики держави, то другий вже специфічний для сільського господарства, оскільки головні проблеми розвитку інших галузей, особливо капітале- і наукомістких, можуть полягати передусім у внутрішній сфері організації виробничого процесу, а не в упорядкуванні їх відносин з іншими галузями.
Таким чином, визначальною предметною сферою аграрної політики є регулювання міжгалузевих відносин, збалансування процесу взаємодії сільського господарства з іншими галузями.
Регулювання міжгалузевих відносин є складним поняттям, яке в різних аспектах охоплює як державне регулювання, так і природне поглиблення вертикальних відносин в міжгалузевому комплексі, здійснюване через розвиток саморегулівних організацій товаровиробників. У тому розумінні, в якому їх можна віднести до регулювання міжгалузевих відносин, вони мають відношення до аграрної політики.
Однак в даному випадку очевидно, що ці процеси не є однорівневими складовими політики. Враховуючи, що однією з ознак регулювання є домінування цілого над частиною, до активної складової аграрної політики слід віднести державне регулювання міжгалузевих відносин.
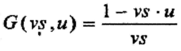
Державне регулювання повинно здійснюватись з такою широтою і глибиною, щоб забезпечувати еквівалентність обміну з урахуванням тих зусиль, що мають місце в рамках ініціативних процесів. Логіку державного регулювання в умовах наявності ініціативних процесів можна проілюструвати наступною схемою, що описує співвідношення різних регулюючих заходів на основі теорії лінійних систем (рис. 1.З.).
Рис. 1.3. Логіка взаємодії різних типів регулювання міжгалузевих відносин
На рис. 1.3. прийняті наступні позначення: U - вхід системи: нееквівалентність міжгалузевого обміну (U<1); VS - сукупний вплив на еквівалентність міжгалузевих відносин поглиблення вертикальних відносин і
розвитку саморегулівних структур (VS>1); Y - еквівалентний стан міжгалузевих відносин - результат регулювання (Y=l); G - вплив держави.
В даному випадку припускається, що регулювання трьома шляхами в сукупності є абсолютно ефективним. Якою б не була різниця між початковим рівнем нееквівалентності обміну (яка, згідно з логікою моделі, визначається відношенням цін, що отримують товаровиробники, до цін, що вони платять за ресурси) та ефективністю ініціативних процесів, безпосередній вплив держави здатний її усунути. За допомогою алгебраїчних перетворень залежність державного регулювання від рівня розвитку ініціативних процесів і початкової нееквівалентності можна виразити наступним чином:
Державне регулювання виступає таким чином як вимушений засіб, який за принципом зворотного зв'язку заповнює вакуум, який залишається між еквівалентним типом міжгалузевих відносин і рівнем їх еквівалентності, що уможливлюється завдяки розвитку ініціативних процесів.
Англійський філософ Нового Часу Томас Гобс, один з фундаторів політологічної науки, пояснював необхідність утворення державної влади через небезпеку хаосу, анархії і громадянської війни, що панували б у суспільстві, якби воно перебувало у "природному стані", тобто стані без державного регулювання. В даному випадку можна провести пряму аналогію між природним станом за Гобсом і повною лібералізацією цін в АПК, яка спричиняє руйнівні наслідки для аграрного сектора. Діяльність держави, як він вважає, спрямована на створення таких умов взаємодії' людей, які б підвищували їх добробут, оскільки в рамках природного стану взаємодія стає взаємно деструктивною.
Гобс наголошував, що для суб'єкта соціальної взаємодії -людини -характерні як взаємовиключні егоїстичні настрої (зокрема, жадоба багатства), так і розум, який дозволяє людям створити механізм структурування своєї взаємодії, за якого забезпечувалося б зростання добробуту кожного індивіда. Така подвійність рис характерна і для суб'єктів міжгалузевої взаємодії: технологічний зв'язок зумовлює їх комплементарність, а організаційно-економічна відокремленість - альтернативність. Альтернативність суб'єктів за умов природного стану спричиняє можливість ігнорування їх комплементарних зв'язків, внаслідок чого погіршується їх сукупний добробут (товаровиробників - безпосередньо, несільськогосподарських суб'єктів і суспільства в цілому - опосередковано).
Важливим з методологічної точки зору є висунуте Гобсом положення про суспільний контракт як основу політичної влади. За цією логікою, враховуючи безпосередню та опосередковану заінтересованість усіх суб'єктів міжгалузевих відносин у механізмі, який би узгоджував їх взаємодію, не дозволяв би альтернативному типу відносин домінувати над комплементарним, будь-які механізми, які існують в економіці для пом'якшення нееквівалентності обміну, можна розглядати виходячи з контрактних позицій. Так, ціною для товаровиробника є неможливість бути повноцінним учасником ринкового процесу через наявність нееквівалентності обміну, а переваги полягають в компенсації цієї нееквівалентності через державне регулювання цін і доходів фермерів. Для несільськогосподарських суб'єктів перевагою є можливість експлуатації товаровиробників, а ціною - частково додаткове оподаткування їх Доходів і перерозподіл останніх через спеціальний фонд підтримки товаровиробникам; часткове обмеження діапазону їх функціонування шляхом організації виконання їх функцій саморегулівними організаціями товаровиробників, зокрема обслуговуючими кооперативами.
У політичній філософії Гобса доцільно окремо наголосити на ще деяких аспектах, що тісно корелюють з проблемами державного регулювання міжгалузевих відносин. По-перше, за Гобсом, суспільний орган, який є суб'єктом політичної влади (суверен), повинен здійснювати керівництво відповідно до природних законів. Влада не може застосовуватися всупереч об'єктивним природним законам. Водночас наділення одного органу такою владою створює ризик зловживань (на чому пізніше наголошував Ш. Монтеск'є) та та її нерозумного використання. Така небезпека була відсутня за умов природного стану, особливо якщо розуміти його позитивно (за Р. Кумберлендом та Локком). Природні закони за умов природного стану реалізуються автоматично, але в рамках регулятивного процесу вони можуть з різних причин не враховуватися. Вплив держави може бути надлишковим, так само як і переважання автономно-ринкового детермінанту ефективності розвитку аграрного сектора над його свідомим цілеспрямованим регулюванням.
По-друге, етичною основою збалансування міжсуб'єктних взаємовідносин є так званий "закон еквіваленту", який можна сформулювати таким чином: "не роби іншим того, чого не хочеш, щоб зробили тобі". Вилучення несільськогосподарськими суб'єктами надлишкових доходів із сільського господарства виправдовує подальший перерозподіл доходів через додаткове оподаткування несільськогосподарських суб'єктів і розподіл їх серед товаровиробників. Таким чином, єдино можливим морально збалансованим типом міжгалузевої взаємодії в умовах нееквівалентності обміну є компенсація останнього міжгалузевим перерозподілом коштів. На думку Е. Берка, політичні проблеми завжди є моральними; отже, невиправдано проводити абсолютні демаркаційні межі між аграрною політикою та її моральним базисом.
По-третє, виходячи з того, що політичний процес як вплив цілого на частину сам по собі концентрується в руках частини, то відхилення фактичної політики від тієї, яка б точно відповідала інтересам цілого, стають неминучими. Ця проблема тісно пов'язана з обмеженими когнітивними здатностями (обмеженою раціональністю) суб'єктів політичного процесу, але не зводиться до неї.
Прийняття найважливіших законодавчих актів, що обумовлюють організаційно-економічні основи розвитку відносин власності, форм господарювання, міжгалузевої взаємодії неможливе без глибокого наукового обгрунтування. Таким чином, відмінність функцій наукового та процесно-політичного методів проявляється в їх різній часовій орієнтації; взаємодоповнюючий характер проявляється в тому, що другий метод є найбільш ефективним у формуванні ціннісних засад аграрної політики.
Питання ціннісної обумовленості науково-методологічних положень, концепцій та заходів, що складають зміст аграрної політики, є одним з найбільш суперечлит.их. Для того, щоб висвітлити роль суспільних цінностей у політичному процесі, необхідно звернутись до згаданої у попередніх підрозділах гегелівської моделі цілеспрямованої діяльності, на якій, зокрема, грунтується логічна структура регулювання міжгалузевих відносин: ціль -засіб - результат. Власне політика, зокрема аграрна, існує тому, що існує відстань, яка розмежовує фактичний стан життєдіяльності з бажаним. Відстань між суб'єктивним прагненням та об'єктивним фактом, що усвідомлюється на рівні суспільства, використовується владними структурами як орієнтир діяльності. Тут важливо підкреслити, що для владних структур ця відстань не є безпосереднім мотиваційним чинником, а набуває форму мети діяльності, звідки виникає проблема обгрунтування цілей аграрної політики.
Різниця між безпосередньою мотивацією та метою діяльності має значення тому, що мета, якщо вона не підкріплюється особистим інтересом, перетворюється у зовнішній, тобто багато в чому формальний орієнтир. Тут знову маємо типовий випадок протиріччя між цілим і частиною: з точки зору логіки, безпосередня мотивація підвищення суспільного добробуту належить цілому; але ціле не має безпосереднього носія, який усвідомлював би суспільні інтереси як власні. Таким чином, оскільки суспільні інтереси не є самоочевидними і відхиляються від індивідуальних, їх потрібно офіційно зафіксувати і встановити як мету діяльності органів, що безпосередньо відповідають за їх забезпечення, тобто владних структур. Природно, що перед тим, як зафіксувати цілі, їх потрібно обгрунтувати: адже вони, маючи цільний, а не частковий характер, не є самоочевидними.
1>















