5038 (585178), страница 3
Текст из файла (страница 3)
Лесные пожары входят в отдельную статистику и в общую сводку пожаров не попадают.
По данным исследования, представленных в работах [17, 21, 22, 44] следует, что 72,8% учтенных пожаров, 90,3% погибших при них людей и 58,2% прямого материального ущерба приходятся на здания жилого сектора. На все остальные здания (включая строящиеся) приходятся 13,4% всех учтенных пожаров, 5,3% всех жертв пожаров и 27,3% прямого материального ущерба от пожаров.
При этом более половины (54,3%) всех пожаров в России происходит по причине неосторожного обращения людей с огнем.
По этой же причине в этих пожарах погибло 67,5% всех жертв пожаров в нашей стране, а прямой материальный ущерб от таких пожаров превысил треть (34,4%) общего ущерба от всех пожаров.
Все эти пожары произошли по вине "человеческого фактора", то есть социального [33, с.26].
По данным МЧС Российской Федерации за 2009 год обстановка с пожарами в Российской Федерации по сравнению с прошлым годом характеризовалась следующими основными показателями:
зарегистрировано 187 490 пожаров (в 2008 г. - 202002 (-7,2%);
при пожарах погибло 13 933 человека (в 2008 г. - 15301 (-8,9%), в том числе 596 ребенка (в 2008 г. - 596 (0%);
при пожарах получили травмы 13 207 человек (в 2008 г. - 12887 (+2,5%);
прямой материальный ущерб причинен в размере 10929,7 млн. рублей (-10,6%);
Ежедневно в Российской Федерации происходило 513 пожаров, при которых погибало 38 человек и 36 человек получали травмы. Огнем уничтожалось 148 строений, 28 единиц автотехники, материальный ущерб составлял 29,5 млн. рублей [44].
Наибольшее количество пожаров зарегистрировано в жилом секторе.
Их доля от общего числа пожаров по России по данным 2009 года составила 72,1%. Гибель людей при пожарах в жилом секторе, от общего количества по стране, составила 91,0% людей, получивших травмы - 69,8% [44].
Существует разбиение всех причин пожаров на три основные группы: природные, техногенные и социальные. К природным причинам пожаров относятся энергия Солнца, удары молнии, самовозгорание и т.п.
К техногенным причинам относятся неисправности в электросетях, электроприборах, системах отопления, других инженерных сетях и приборах, которые повлекли за собой возникновение пожара и его последствий.
К социальным причинам пожаров относятся поджоги, небрежность при курении, обращении с открытым пламенем, детские игры с источниками воспламенения, нарушение правил пожарной безопасности в быту и на производстве и др., где виновником пожара является человек.
Рисунок 1. Распределение возникновения пожаров по факторам
Даже среди техногенных причин пожаров достаточно велико влияние "человеческого фактора", так как именно люди допускают небрежность или неграмотность при монтаже, установке и эксплуатации различных приборов и инженерных систем [33, с.28].
Распределение гибели людей по факторам пожаров представлено на рисунке 1.3
Рисунок 2. Распределение гибели людей по факторам пожаров
Распределение ущерба по факторам пожаров представлено на рисунке 1.4
Рисунок 1.4 Распределение материального ущерба по факторам пожаров
Таким образом, все основные пожарные риски зависят, прежде всего, от природных, техногенных и социальных факторов. Говоря иными словами, они являются и для отдельной страны, и для всей планеты случайными функциями многих переменных, таких как уровни энергопотребления, потребления алкоголя, табака, наркотиков, климатических и других условий, национальных, культурно-исторических особенностей той или иной страны, континента и пр.
(1.1)
где S - социальные факторы и причины пожаров,
T - техногенные,
N - природные факторы и причины пожаров.
Управление пожарными рисками означает, что воздействуя на указанные факторы, необходимо понизить значения рисков до приемлемых.
Зависимость пожарных рисков от времени позволяет прослеживать их динамику, обусловленную, в частности, управлением этими рисками (то есть оценивать эффективность управления рисками).
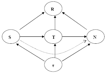
Риск как функция нескольких переменных и его зависимость от времени:
Рисунок 1.5 Риск как функция нескольких переменных
Где: R - пожарный риск;
S - социальные факторы;
T - техногенные факторы;
N - природные факторы;
τ - время.
По существу, все известные меры, способы и методы обеспечения пожарной безопасности являются средствами управления пожарными рисками, все достижения науки о пожаре, все пожарно-технические разработки посвящены этому.
В XIX вв. и ранее люди нередко страдали от пожаров, вызванных ударами молний или самовозгоранием веществ и материалов. Риск возникновения таких пожаров был достаточно большим. Однако после того как были созданы методы и системы молниезащиты, исследованы физические и химические аспекты процессов, приводящих к самовозгоранию веществ и материалов, и выданы соответствующие рекомендации по предотвращению возникновения и развития этих процессов, число подобных пожаров стало заметно уменьшаться. Это и означает, что риски пожаров от ударов молний или самовозгорания уменьшились.
Вместе с тем, как следует из таблицы 1.1, в России 0,4% всех зарегистрированных пожаров от самовозгорания веществ и материалов и 0,3% всех пожаров от ударов молнии.
На втором месте по числу пожаров в России устойчиво находятся пожары, возникшие по причине нарушения правил устройства и эксплуатации электрооборудования разных типов.
По этой причине произошло 20,6% всех пожаров, при которых погибло 16,5% всех жертв пожаров, а ущерб от этих пожаров составил почти 30%.
Подобное положение характерно и для других стран.
Хотя эти пожары возникли в технических системах и устройствах, но создавали, монтировали и эксплуатировали их люди. Поэтому правильнее причины таких пожаров относить к социотехногенному фактору.
Риски возникновения и развития "электропожаров", безусловно, поддаются управлению. Целый комплекс методов и устройств, включая специальные системы защиты от коротких замыканий (пожары от которых составляют значительную часть всех "электропожаров"), смогут существенно снизить значения пожарных рисков для всей этой группы пожаров. Причем это произойдет в ближайшие десятилетия.
То же самое можно сказать про все другие пожары, причины возникновения которых относятся к техногенному (точнее говоря, социо-техногенному фактору). Все риски таких пожаров будут существенно уменьшены в XXI веке благодаря научно-техническим достижениям цивилизации.
Значительно сложнее обстоят дела с управлением пожарными рисками, обусловленными социальным фактором. Здесь, к сожалению, перспективы успеха наименее очевидны (лучше сказать, наиболее мрачные). Дело в том, что главным источником пожарной опасности на Земле является Человек, само человечество, его морально-нравственное несовершенство. Парадокс заключается в том, что большая часть человечества (численность которого быстро растет) инициирует возникновение и реализацию пожарной опасности, а существенно меньшая его часть пытается отражать эти угрозы, противостоять опасности возникновения и развития пожаров.
Наиболее ярким примером здесь, пожалуй, являются (кроме пожаров, вызванных неосторожным обращением с огнем) пожары, связанные с умышленными поджогами. В России такие пожары составляют 7-8% от всех пожаров (включая пожары, где поджог подозревается, но не был доказан), а в Великобритании, Новой Зеландии, США подобные пожары составляют 25-30% от общего числа пожаров. Сюда не входят лесные пожары, которые из-за ударов молний возникают только в 1-2% всех случаев, а практически во всех остальных случаях происходят по вине человека, причем поджоги все чаще становятся причиной крупных лесных пожаров [33, с.32].
Что же касается огромного числа пожаров, вызванных так называемым неосторожным обращением с огнем, то они происходят не только по причине небрежного, легкомысленного, безграмотного отношения людей к источникам воспламенения, горючим веществам и материалам, но и связаны с курением, алкоголизмом, наркотиками и пр.
Управлять подобными пожарными рисками чрезвычайно сложно. Здесь нужна целенаправленная деятельность широких слоев общественности, педагогов, психологов, физиологов, социологов, работников средств массовой информации и др., призванная сформировать у людей новую культуру безопасной жизни на планете (включая вопросы пожарной безопасности).
Известно, что подобная работа, например, уже много лет проводится американским специалистом Ф. Шинмэном (Philip Schaenman) в рамках Международного Технического Комитета по предупреждению и тушению пожаров (CTIF). Он создает с участием международной общественности разнообразные программы по обучению всех слоев населения разных стран мира вопросам пожарной безопасности. Эти программы рассылают всем заинтересованным организациям для практического использования в детских садах, школах, высших образовательных учреждениях, других общественных структурах. К сожалению, пока эффективность этих важнейших мер обеспечения пожарной безопасности не слишком высока. Об этом говорит мировая статистика пожаров [17].
В США, кроме этих способов работы с общественностью, широко внедряют в жилых домах (где, как мы видели, происходит большинство пожаров) дымовые датчики обнаружения пожаров, спринклерные системы пожаротушения, что, конечно, является достаточно эффективным способом управления пожарными рисками, но требует немалых капиталовложений.
Для снижения последствий пожаров, возникающих в жилых домах при засыпании курящего в постели человека, в США даже выпускают негорючее белье (оно позволяет только выжечь небольшую дырку около упавшей сигареты). Другими способами управления социальными пожарными рисками является выпуск промышленностью пожаробезопасных детских игрушек, бытовых приборов, мебели и т.д. Все это, конечно, дает определенный результат в борьбе с "бытовыми" пожарами. Тем не менее, пожарными рисками, обусловленными социальными факторами, управлять гораздо труднее, чем "природными" и "техногенными" пожарами.
Существует еще много других способов и средств управления пожарными рисками (строительные противопожарные нормы и правила, системы пожарной автоматики, средства пожарной техники, пожарно-техническое вооружение и др.) [39].
1.4 Основные подходы к методике расчета по оценке пожарного риска
Постановлением Правительства Российской Федерации от 31 марта 2009 г. № 272 "О порядке проведения расчетов по оценке пожарного риска" утверждены "Правила проведения расчетов по оценке пожарного риска" [2].
Согласно указанным правилам расчеты по оценке пожарного риска проводятся путем сопоставления расчетных величин пожарного риска с соответствующими нормативными значениями пожарных рисков, установленными ФЗ №123-ФЗ.
При проведении расчета по оценке социального пожарного риска учитывается степень опасности для группы людей в результате воздействия опасных факторов пожара, ведущих к гибели 10 человек и более.
Определение расчетных величин пожарного риска проводится по методикам, утверждаемым МЧС России [28, 29].
В Постановлении приведены требования к порядку определения расчетных величин пожарного риска, а также к оформлению отчета.
В настоящее время утверждены приказами МЧС:
"Методика определения расчетных величин пожарного риска в зданиях, сооружениях и строениях различных классов функциональной пожарной опасности" (приказ МЧС от 30.06.2009 г №382, зарегистрировано в Минюсте от 06.08.2009 г №14486);
"Методика определения расчетных величин пожарного риска на производственных объектах" (приказ МЧС от 10.07.2009 г №404, зарегистрировано в Минюсте от 17.08.2009 г №14541).
Документ "Методика определения расчетных величин пожарного риска для производственных объектов" разработан на основе:
ГОСТ 12.1 004-91 "Пожарная безопасность. Общие требования";
ГОСТ Р 12.3 047-98 "Пожарная безопасность технологических процессов. Общие требования. Методы контроля";
"Руководства по оценке пожарного риска для промышленных предприятий";
РД 03-418-01 "Методические указания по проведению анализа риска опасных производственных объектов";
РД 03-409-01 "Методика оценки последствий аварийных взрывов топливно-воздушных смесей";
международных руководств по оценке пожарного риска.
В общих чертах алгоритм обеспечения пожарной безопасности любого объекта защиты можно сформулировать в виде схемы, представленной на рисунке 6.















