183790 (584800)
Текст из файла
ФЕДЕРАЛЬНОЕ АГЕНТСТВО ПО ОБРАЗОВАНИЮ
ГОСУДАРСТВЕННОЕ ОБРАЗОВАТЕЛЬНОЕ УЧРЕЖДЕНИЕ ВЫСШЕГО ПРОФЕССИОНАЛЬНОГО ОБРАЗОВАНИЯ
КАМСКАЯ ГОСУДАРСТВЕННАЯ ИНЖЕНЕРНО-ЭКОНОМИЧЕСКАЯ АКАДЕМИЯ
КАФЕДРА ЭОУП
КОНТРОЛЬНАЯ РАБОТА
по дисциплине "Математические методы и модели в экономике"
Выполнил: студент гр. 4381-С
Кустовский Р.Г.
Проверил: доцент
Коврижных О.Е.
г. Набережные Челны
2010
ЗАДАНИЕ 1
Построить одноиндексную математическую модель задачи линейного программирования. В модели надо указать единицы измерения всех переменных, целевой функции и каждого ограничения
Цех мебельного комбината выпускает трельяжи, трюмо и тумбочки под телевизоры. Норма расхода материала в расчете на одно изделие, плановая себестоимость, оптовая цена предприятия, плановый ассортимент и трудоемкость единицы продукции приведены в таблице. При этом, запас древесно-стружечных плит, досок еловых и березовых 92, 33 и 17 куб.м. соответственно. Плановый фонд рабочего времени 19100 человеко-часов.
Исходя из необходимости выполнения плана по ассортименту и возможности его перевыполнения по отдельным (и даже всем) показателям, постройте модель, на основе которой можно найти план производства, максимизирующий прибыль.
| Показатели | Изделия | ||
| трельяж | трюмо | тумбочка | |
| Норма расхода материала, куб.м.: | |||
| древесно-стружечные плиты | 0,042 | 0,037 | 0,028 |
| доски еловые | 0,024 | 0,018 | 0,081 |
| доски березовые | 0,007 | 0,008 | 0,005 |
| Трудоемкость, чел.-ч. | 7,5 | 10,2 | 6,7 |
| Плановая себестоимость, ден.ед. | 98,81 | 65,78 | 39,42 |
| Оптовая цена предприятия, ден.ед. | 97,10 | 68,20 | 31,70 |
| Плановый ассортимент, шт. | 450 | 1200 | 290 |
Решение:
В условии задачи сформулирована цель получение максимальной прибыли при необходимости выполнения плана по ассортименту и возможности его перевыполнения. Поэтому, искомыми величинами, а значит, и переменными задачи являются количество произведенной продукции:
Х1 - количество изготовленных трельяжей.
Х2 - количество изготовленных трюмо.
Х3 - количество изготовленных тумбочек.
Поэтому целевой функцией будет математическое выражение, в которой суммируется прибыль от изготовления каждой продукции. Прибыль является разность между себестоимостью и оптовой ценой продукции.
L = (97,10 – 98,81) *Х1 + (68,2 – 65,78)* Х2 +(31,7 – 39,42)* Х3 =
= –1,71 * Х1+ 2,42 * Х2 – 7,72 * Х3 max
Условием является то, что сумма расхода материалов не должно быть больше имеющихся материалов, а так же обязательное условие - выполнение плана. Таким образом, математическая модель задачи будет иметь вид:
ЗАДАНИЕ 2
Решить одноиндексную задачу линейного программирования графическим методом.
Построим следующие прямые:
х1 + х2 = 2 (1)
-х1 + х2 = 4 (2)
х1 + 2х2 = 8 (3)
х1 = 6 (4)
Для этого вычислим координаты прямых:
Заштрихуем полуплоскости, определяемые и разрешаемые каждым из ограничений неравенств. Определим область допустимых решений , многоугольник АВCDEF.
Построим целевую функцию по уравнению
Нижняя точка пересечения целевой функции и многоугольника – это точка минимума целевой функции.
Найдем координаты точки D ( 2; 0 ).
Минимальное значение целевой функции
L(Х) = L(D) = 1*2 + 3*0 = 2
ЗАДАНИЕ 3
Задача сетевого планирования
По данным варианта необходимо:
-
построить сетевую модель, рассчитать временные параметры событий (на рисунке) и работ (в таблице);
-
определить критические пути модели;
-
оптимизировать сетевую модель по критерию "минимум исполнителей" (указать какие работы надо сдвигать и на сколько дней, внесенные изменения показать на графиках привязки и загрузки пунктирной линией).
| Название работы | Нормальная длительность | Количество исполнителей | Вариант 2 (N=11 человек)
Работа I начинается после завершения B, H, и F |
| A | 3 | 5 | |
| B | 4 | 7 | |
| C | 1 | 1 | |
| D | 4 | 3 | |
| E | 5 | 2 | |
| F | 7 | 3 | |
| G | 6 | 6 | |
| H | 5 | 1 | |
| I | 8 | 5 |
-
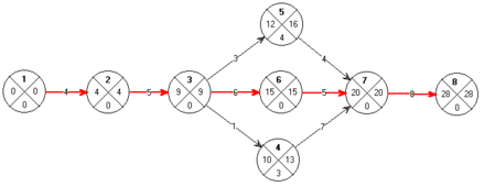
Построим сетевую модель, рассчитаем временные параметры событий ( на рисунке) и работ ( в таблице).
Сетевой график
| Код | Название работы | t | Трн | Тро | Тпн | Тпо | Rп | Rс |
| 1-2 | D | 4 | 0 | 4 | 0 | 4 | 0 | 0 |
| 2-3 | E | 5 | 4 | 9 | 4 | 9 | 0 | 0 |
| 3-5 | A | 3 | 9 | 12 | 13 | 16 | 4 | 0 |
| 3-6 | G | 6 | 9 | 15 | 9 | 15 | 0 | 0 |
| 3-4 | C | 1 | 9 | 10 | 12 | 13 | 3 | 0 |
| 5-7 | B | 4 | 12 | 16 | 16 | 20 | 4 | 4 |
| 6-7 | H | 5 | 15 | 20 | 15 | 20 | 0 | 0 |
| 4-7 | F | 7 | 10 | 17 | 13 | 20 | 3 | 3 |
| 7-8 | I | 8 | 20 | 28 | 20 | 28 | 0 | 0 |
В таблице использованы следующие сокращения:
t - длительность работы
Трн - ранний срок начала работы
Тро - ранний срок окончания работы
Тпн - поздний срок начала работы
Тпо - ранний срок окончания работы
Rп - полный резерв времени
Rс - свободный резерв времени
2. Определим критические пути модели
Критический путь – 1,2,3,6,7,8 = 28 суток - максимальный по продолжительности полный путь.
3. Оптимизируем сетевую модель по критерию "минимум исполнителей" (укажем какие работы надо сдвигать и на сколько дней, внесенные изменения показать на графиках привязки и загрузки пунктирной линией).
Построим график привязки для следующих исходных данных.
| Название работы | | | Количество исполнителей |
| D | 1-2 | 4 | 3 |
| E | 2-3 | 5 | 2 |
| A | 3-5 | 3 | 5 |
| G | 3-6 | 6 | 6 |
| C | 3-4 | 1 | 1 |
| B | 5-7 | 4 | 7 |
| H | 6-7 | 5 | 1 |
| F | 4-7 | 7 | 3 |
| I | 7-8 | 8 | 5 |
При оптимизации использования ресурса рабочей силы сетевые работы чаще всего стремятся организовать таким образом, чтобы:
-
количество одновременно занятых исполнителей было минимальным;
-
выровнять потребность в людских ресурсах на протяжении срока выполнения проекта.
Проведенная оптимизация была основана на использовании свободных и полных резервов работ.
Для этого необходимо чуть дальше сдвинуть указанные работы, а именно: работу (3,5) сдвинуть на 1 дней, работу (5,7) - на 3 дня, и работу (4,7) на 3 дня.
В результате оптимизации количество одновременно занятых исполнителей снизили с 16 человек до 11.
ЗАДАНИЕ 4
Решить задачу управления запасами.
Завод радиоэлектронной аппаратуры производит 860 радиоприемников в сутки. Микросхемы для радиоприемников (по 1 шт. на приемник) производятся на этом же заводе с интенсивностью 3420 тыс. шт. в сутки. Затраты на подготовку производства партии микросхем составляют 81 руб. (числа в задаче условные), себестоимость производства 1 тыс. шт. микросхем равна 25 руб. Хранение микросхем на складе обходится заводу в 1,5 руб. за каждую тысячу в сутки. У завода появилась возможность закупать микросхемы в другом месте по цене 25 руб. за 1 тыс. шт. Стоимость доставки равна 32 руб.
Выясните, стоит ли заводу закупать микросхемы вместо того, чтобы их производить. Для более выгодного режима работы завода (производство или закупка) определите периодичность подачи заказа, и затраты на управление запасами в месяц (22 рабочих дня).
-
Для моделирования процессов производства продукции применим модель планирования экономичного размера партии.
Размер партии микросхем, производимых на заводе:
Характеристики
Тип файла документ
Документы такого типа открываются такими программами, как Microsoft Office Word на компьютерах Windows, Apple Pages на компьютерах Mac, Open Office - бесплатная альтернатива на различных платформах, в том числе Linux. Наиболее простым и современным решением будут Google документы, так как открываются онлайн без скачивания прямо в браузере на любой платформе. Существуют российские качественные аналоги, например от Яндекса.
Будьте внимательны на мобильных устройствах, так как там используются упрощённый функционал даже в официальном приложении от Microsoft, поэтому для просмотра скачивайте PDF-версию. А если нужно редактировать файл, то используйте оригинальный файл.
Файлы такого типа обычно разбиты на страницы, а текст может быть форматированным (жирный, курсив, выбор шрифта, таблицы и т.п.), а также в него можно добавлять изображения. Формат идеально подходит для рефератов, докладов и РПЗ курсовых проектов, которые необходимо распечатать. Кстати перед печатью также сохраняйте файл в PDF, так как принтер может начудить со шрифтами.
















