183525 (584667)
Текст из файла
Оглавление
Введение
Задание 1
Задание 2
Задание 3
Задание 4
Задание 5. Динамическая экономико-математическая модель Кейнса
Экономика в форме динамической модели Кейнса как инерционное звено
Нелинейная динамическая модель Кейнса
Заключение
Литература
Введение
В настоящее время математическое моделирование все настойчивее вторгается в область социально-экономических наук. И дело здесь совсем не в том, что математизация является идеалом строгости для всякой науки.
Возможность использования математического моделирования связана с существованием устойчивых тенденций, которые характеризуют многие социально-экономические процессы. В наибольшей степени сказанное относится к экономике, где математические методы активно применяются с прошлого века.
Значение моделирования как метода исследований определяется тем, что модель представляет собой концептуальный инструмент, ориентированный на анализ изучаемых процессов и их прогнозирование. Именно поэтому, например, в современных курсах по экономической теории наряду с содержательным анализом широко применяется метод математического моделирования.
Следует, однако, иметь в виду, что возможности метода математического моделирования при анализе конкретных социально-экономических процессов достаточно ограничены.
В данной курсовой работе будут рассмотрены основные математические модели макроэкономических процессов, такие как мультипликативная производственная функция, кривая Лоренца, различные модели банковских операций, модели межотраслевого баланса Леонтьева, динамическая экономико-математическая модель Кейнса.
Задание 1
Национальная экономика страны может быть описана мультипликативной производственной функцией вида:
,
где [P]=у.д.е. – объём ВВП страны, [K]=у.д.е – объём национальных производственных фондов (капитал), [L]=чел. – численность населения страны, занятого в производственной сфере (труд). В развитие национальной экономики инвестируется S у.д.е. Считается, что все средства идут на развитие производства, решить задачу об оптимальном распределении инвестиций по привлечению дополнительных единиц труда и капитала с целью максимального прироста ВВП. Задачу решить методом Лагранжа и графоаналитическим методом, считая, что стоимость одной дополнительной единицы капитала составляет S1, единицы труда – S2, а связь между ними носит линейный характер и может быть описана уравнением S=S1·K+S2·L.
Исходные данные:
α1 = 0.4; α2 = 0.6; S = 50000; S1 = 5; S2 = 15.
Решение:
P = α0 · K0.4 · L0.6
5 · K + 15 · L = 50000
Наиболее рациональным способом решения такой задачи является способ множителей Лагранжа.
P (K, L, λ):
Т.к. K ≠ 0 и L ≠ 0, следовательно:
Графическая иллюстрация решения задачи:
Если в экономику страны, развитие которой описывается функцией P = α0 K0.4 ·L0.6 инвестировать S = 50000 у.д.е, то для получения максимального прироста ВВП эти средства нужно распределить так чтобы создать дополнительных L = 2000 рабочих мест и привлечь дополнительно K = 4000 у.д.е. производственных фондов, при условии что известны стоимости единицы труда S2 = 15 и единицы капитала S1 = 5.
Задание 2
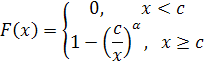
Распределение доходов населения страны может быть описано функцией распределения доходов:
где C – минимально возможный уровень дохода; F(x) – доля населения страны с уровнем дохода, меньшим, чем Х (распределение Парето).
Учитывая, что средний относительный доход тех, чей уровень дохода меньше Х, может быть задан функцией:
Построить кривую Лоренца в системе координат, показывающей неравномерность в распределении доходов населения страны.
Значениями x принять равными:
а) при с<х≤3с с шагом Δх=0,2С
б) при 3с<х≤6с с шагом Δх=0,5С
Исходные данные:
α = 1.6; c = 3500.
Решение:
-
3500
| F(x) | L(x) | x |
| 0,00 | 0,00 | 3500 |
| 0,25 | 0,10 | 4200 |
| 0,42 | 0,18 | 4900 |
| 0,53 | 0,25 | 5600 |
| 0,61 | 0,30 | 6300 |
| 0,67 | 0,34 | 7000 |
| 0,72 | 0,38 | 7700 |
| 0,75 | 0,41 | 8400 |
| 0,78 | 0,44 | 9100 |
| 0,81 | 0,46 | 9800 |
| 0,83 | 0,48 | 10500 |
-
10500
| F(x) | L(x) | x |
| 0,83 | 0,48 | 10500 |
| 0,87 | 0,53 | 12250 |
| 0,89 | 0,56 | 14000 |
| 0,91 | 0,59 | 15750 |
| 0,92 | 0,62 | 17500 |
| 0,93 | 0,64 | 19250 |
| 0,94 | 0,66 | 21000 |
Задание 3
Первоначальный банковский вклад S0 размещен на n лет под р1% годовых с начислением процента m1 раз в год. Сравнить конечную сумму вклада, если условия договора изменятся на р2% и m2 раз, и рассчитать для обоих вариантов эффективную ставку процента, а также величину дисконта и дисконт-фактора.
Найти величину разового платежа для погашения долгосрочного кредита на сумму Sn, данного банком под р% на n лет.
Исходные данные:
S0 = 3500; n = 6; p1 = 16; m1 = 3; p2 = 14; m2 = 2; p = 25; Sn = 200000.
Решение:
Конечная сумма вклада
Эффективная ставка процента
Дисконт
Дисконт-фактор
а)
=8917,70
= 0.1687
= 0.1379 %
= 0.8621
б)
= 7882,67
= 0.1449
= 0.1228 %
= 0.8772
Сравнив полученные результаты, видим, что при увеличении учетной ставке процента и количества начислений в год – конечная сумма вклада увеличивается.
в)
= 127156,58
Задание 4
В таблице приведены данные об исполнении баланса за отчетный период (в у.д.е.).
| Отрасли | потребление | Конечный продукт | Валовой выпуск | |||
| Машиностроение | Металлургия | Энергетика | ||||
| производство | Машиностроение | 25 | 15 | 10 | 60 | 100 |
| Металлургия | 10 | 15 | 20 | 120 | 200 | |
| Энергетика | 15 | 5 | 10 | 150 | 240 | |
Решить задачу межотраслевого баланса, если конечное потребление первой отрасли не изменилось, второй отрасли увеличилось в 1,5 раза, третьей уменьшилось на 25%.
С учетом изменений строим новый вектор конечного потребления:
Находим матрицу прямых затрат в условиях взаимодействия трех отраслей:
Т.к. aij ≥ 0,
= 0.5 ≤ 1,
= 0.175 ≤ 1,
= 0.167 ≤ 1 –
матрица A продуктивна, следовательно, продуктивна и сама модель.
Находим матрицу E-A, представляющую собой матрицу полных затрат, каждый элемент которой выражает стоимостные затраты той части валового выпуска которая необходима для выпуска единицы конечного продукта.
Определитель матрицы:
Вычислим матрицу C составленную из алгебраических дополнений матрицы E-A:
И транспонируем ее:
Находим новый вектор валового выпуска продукции тремя отраслями:
Чтобы машиностроение дало 60 у.д.е., металлургия 120 у.д.е., энергетика 150 у.д.е. конечного продукта идущего на непроизводственное потребление необходимо обеспечить следующие объемы валового выпуска отраслей: Машиностроение - 109,772 у.д.е.
Металлургия – 212,934 у.д.е.
Энергетика – 140,269 у.д.е.
Задание 5. Динамическая экономико-математическая модель Кейнса
Экономика в форме динамической модели Кейнса как инерционное звено
В этой модели предполагается, что ВВП
в следующем году равен совокупному спросу предыдущего (текущего) года, а совокупный спрос, состоящий из спроса на потребительские (C) и инвестиционные (I) товары, зависит только от ВВП текущего года:
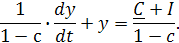
При линейной зависимости спроса на потребительские товары от ВВП и примерном постоянстве спроса на инвестиционные товары приходим к соотношению
где
- минимальный объем фонда потребления;
– склонность к потреблению.
Соотношение, действующее при дискретности времени в один год, при дискретности Δt примет форму:
где (1 – с) – склонность к накоплению.
При t → 0 приходим к уравнению инертного звена (роль постоянной времени выполняет величина
, обратная склонности к накоплению):
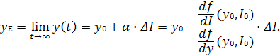
Последнее уравнение имеет равновесное (стационарное) решение
Если в начальный момент спрос на инвестиционные товары изменился с величины I0 до I (I > I0), то в экономике будет происходить переходный процесс от значения ВВП
до значения yE (см. рис.1). При этом
.
Нелинейная динамическая модель Кейнса
Рассмотрим нелинейную модель Кейнса как нелинейное динамическое звено первого порядка:
т.е. скорость роста ВВП является функцией ВВП и инвестиций. В линейном случае
Поскольку y(y>0) – ВВП, а x=I(I>0) – инвестиции, то из экономических соображений следует, что
т.е с увеличением ВВП скорость его роста замедляется, а с увеличением инвестиций – возрастает.
Пусть при t=0 инвестиции были равны I0 и система находилась в некотором равновесном состоянии (y0,I0), первая компонента которого определяется из уравнения (инвестиции I0 считаются известными)
При увеличении инвестиций с I0 до I=I0+ΔI (ΔI>0) система будет удовлетворять уравнению
Представим ВВП в виде суммы постоянной и переменной частей:
Переменная часть η(t) удовлетворяет уравнению
Если приращение инвестиций ΔI сравнительно мало, то при эволюторном характере функции f(y,I) переменная часть η(t) также сравнительно мала. Поэтому правую часть можно разложить в окрестности точки (y0,I0) в ряд Тейлора, отбросив члены второго и более высоких порядков:
После перенесения члена, содержащего η, в левую часть и деления обеих частей на
получаем уравнение инерционного звена:
где
– обобщенная предельная склонность к сбережению в начальном состоянии;
Из вышеописанного вытекает, что переменная часть ВВП будет вести себя следующим образом:
а ВВП в целом будет изменяться как функция
При этом новое равновесное состояние ВВП
Заключение
В данной курсовой работе были рассмотрены основные математические модели макроэкономических процессов, такие как мультипликативная производственная функция, кривая Лоренца, различные модели банковских операций, модели межотраслевого баланса Леонтьева, динамическая экономико-математическая модель Кейнса.
Как можно было заключить из вышеизложенного, математические методы имеют большую степень универсальности. Основой этой универсальности является язык математики. Если исследователи различных специальностей часто говорят об одной и той же проблеме совершенно по-разному, видят разные ее особенности, и не могут связать их воедино; то перевод проблемы на математический язык сразу выявляет общие закономерности, и даже может дать уже практически готовое решение, полученное ранее где-то в другой отрасли знаний и для других целей. То есть предпосылкой использования математики является формализация количественных и качественных сторон проблемы.
Литература
-
Бережная Е.В., Бережной В.И. Математические методы моделирования экономических систем. М.: Финансы и статистика, 2005. 368 с.
-
Ильченко А.Н. Экономико-математические методы. М.: Финансы и статистика, 2006 287 с.
-
Колемаев В.А. Экономико-математическое моделирование: Моделирование макроэкономических процессов и систем. М.: ЮНИТИ, 2005 295 с.
-
Колемаев В.А. Математическая экономика. М.: ЮНИТИ, 2005. 399 с.
-
Найденков В.И. Прогнозирование и моделирование национальной экономики: Конспект лекций. М.: ПРИОР, 2004. 156 с.
-
Орехов Н.А., Левин А.Г., Горбунов Е.А., Математические методы и модели в экономике. М.: ЮНИТИ, 2004. 302 с.
-
Просветов Г.И. Математические модели в экономике. Спб.: РДЛ, 2006. 151 с.
-
Федосеев В.В. Экономико-математические методы и прикладные модели. М.: ЮНИТИ, 2005 391 с.
-
Хазанова Л.Э. Математические методы в экономике. Спб.: Волтерс Клувер, 2005. 132 с.
-
Шелобаев С.И. Экономико-математические методы и модели. М.: ЮНИТИ, 2005. 286 с.
18
Характеристики
Тип файла документ
Документы такого типа открываются такими программами, как Microsoft Office Word на компьютерах Windows, Apple Pages на компьютерах Mac, Open Office - бесплатная альтернатива на различных платформах, в том числе Linux. Наиболее простым и современным решением будут Google документы, так как открываются онлайн без скачивания прямо в браузере на любой платформе. Существуют российские качественные аналоги, например от Яндекса.
Будьте внимательны на мобильных устройствах, так как там используются упрощённый функционал даже в официальном приложении от Microsoft, поэтому для просмотра скачивайте PDF-версию. А если нужно редактировать файл, то используйте оригинальный файл.
Файлы такого типа обычно разбиты на страницы, а текст может быть форматированным (жирный, курсив, выбор шрифта, таблицы и т.п.), а также в него можно добавлять изображения. Формат идеально подходит для рефератов, докладов и РПЗ курсовых проектов, которые необходимо распечатать. Кстати перед печатью также сохраняйте файл в PDF, так как принтер может начудить со шрифтами.
















