183145 (584575), страница 4
Текст из файла (страница 4)
Приложение
Задача № 1
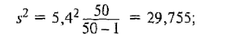
Для определения скорости расчетов с кредиторами предприятий одного треста была проведена случайная выборка 50 платежных документов, по которым средний срок перечисления денег оказался равен 28,2 дня со стандартным отклонением 5,4 дня. Определим средний срок прохождения всех платежей в течение данного года с доверительной вероятностью F(t)= 0,95, Тогда t= 1,96; скорректированная дисперсия средняя ошибка выборки
Отклонение выборочной средней от генеральной с вероятностью 0,95 составит;
= 1,96 x 0,77 = ±1,51 дня.
Величина
называется доверительной ошибкой выборки или предельной ошибкой выборки. Рассчитав величину
, мы можем записать следующее неравенство:
28,2 - 1,51
28,2 + 1,51;
26,7 дня
29,7 дня.
Таким образом, с вероятностью 0,95 можно утверждать, что средняя продолжительность расчетов предприятия данного треста с кредиторами составляет неменее26,7дняинеболее29,7дня.
Задача № 2
По данным выборочного изучения 100 платежных документов предприятий одного треста оказалось, что в шести случаях сроки расчетов с кредиторами были превышены. С вероятностью 0,954 требуется установить доверительный интервал доли платежных документов треста без нарушения сроков:
Генеральная доля платежных документов
, не выходящих за установленные сроки, с вероятностью 0,954 находится в интервале
0,892
0,988, или 89,2%
98,8%.
Задача №3
Для изучения интенсивности труда было организовано наблюдение за 10 отобранными рабочими. Доля работавших все время была равном 0,40, дисперсия; 0,4 • 0,6 = 0,24, По табл. П,2 приложения находим; F(t) = 0,95 и d.f. = n - 1 = 9, t =2,26. Рассчитаем среднюю ошибку выборки доли работавших все время:
Тогда предельная ошибка выборки
=2,26 • 0,16 = ±0,36. Таким образом, с вероятностью 0,95 доля рабочих, работавших без простоев, в данном цехе предприятия находится в пределах 4%
72%.
Если бы мы использовали для расчета доверительных границ генерального параметра таблицу интеграла вероятностей, то t было бы равно 1,96 и
= ±0,31, т.е. доверительный интервал был бы несколько уже, но тем не менее неопределенность оценки очень велика. Следовательно, в данном случае малая выборка такого объема нецелесообразна.
Список литературы
1. И.И.Елисеева, М.М.Юзбашев ОБЩАЯ ТЕОРИЯ СТАТИСТИКИ Под редакцией члена-корреспондента Российской Академии наук И.И.Елисеевой ПЯТОЕ ИЗДАНИЕ, ПЕРЕРАБОТАННОЕ И ДОПОЛНЕННОЕ Рекомендовано Министерством образования Российской Федерации в качестве учебника для студентов высших учебных заведений, обучающихся по направлению и специальности "Статистика" Москва "Финансы и статистика" 2004г.
Размещено на http://www.allbest.ru/















