180485 (584008), страница 5
Текст из файла (страница 5)
Предположим, что себестоимость единицы продукции изменилась лишь за счет внешних факторов, а именно за счет общего изменения цен, тогда:
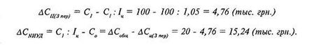
= 321202 -321202 : 1,05 = 15295 грн
321202 : 1,05 – 265756 = 40151 грн
Таким образом, за счет увеличения объема выпуска себестоимость продукции увеличилась на 15295. грн., за счет изменения цен — на 40151. грн.
Как следует из расчетов, изменение цен повлияло на чистую прибыль в составе двух показателей: выручки и себестоимости. Причем влияние изменения цен на размер чистой прибыли в составе выручки и себестоимости носит разнонаправленный характер: рост выручки от реализации способствует росту чистой прибыли, а рост себестоимости способствует уменьшению прибыли. Учитывая это, влияние изменения цен на размер чистой прибыли можно определить следующим образом:
25814 – 15295 = 10519 грн
За счет увеличения цен чистая прибыль предприятия увеличилась на 10519 грн.
А теперь рассчитаем влияние остальных факторов на изменение размера чистой прибыли.
Влияние изменения размеров административных расходов, расходов на сбыт и прочих операционных расходов.
При определении влияния данного фактора следует учесть, что это фактор обратного влияния по отношению к прибыли. В связи с этим в расчетную формулу добавляется знак "-".
где Пр — изменение чистой прибыли за счет изменения величины указанных расходов.
Это означает, что перерасход по косвенным расходам привел к снижению прибыли в отчетном году на 181810 грн.
Влияние изменения величины финансовых доходов
Расчет влияния данного фактора на изменение размера чистой прибыли описывается формулой:
Размер чистой прибыли снизился за счет уменьшения суммы финансовых доходов на 6234 грн
Влияние изменения величины финансовых расходов
Для расчета влияние этого фактора используем формулу:
То есть чистая прибыль снизилась за счет увеличения суммы понесенных финансовых расходов на 295грн
Влияние величины расходов по налогу на прибыль
В этом случае справедлива следующая формула:
Увеличение размера расходов по налогу на прибыль повлекло снижение размера чистой прибыли на 9214 грн.
Обобщим в табл. 4.2 влияние факторов, воздействующих на размер чистой прибыли.
Таблица 4.2 Сводная таблица влияния факторов на чистую прибыль отчетного периода
| Показатели | Сумма, грн |
| Изменение цен | 10519 |
| Объем реализованной продукции | 108998 |
| Объем произведенной продукции | - 40151 |
| Административные расходы, расходы на сбыт, другие операционные расходы | - 181810 |
| Финансовые доходы | 6234 |
| Финансовые расходы | - 295 |
| Налог на прибыль | 9214 |
| Всего | -87291 |
5. Виды и оценка рентабельности
Рентабельность — это показатель, характеризующий экономическую эффективность. Экономическая эффективность — относительный показатель, соизмеряющий полученный эффект с затратами или ресурсами, использованными для достижения этого эффекта.
Существует множество коэффициентов рентабельности, использование каждого из которых зависит от характера оценки эффективности финансово-хозяйственной деятельности предприятия. От этого в первую очередь зависит выбор оценочного показателя (прибыли), используемого в расчетах. Зачастую используется четыре различных показателя: валовая прибыль (стр. 050 формы № 2), операционная прибыль (стр. 100 формы № 2), прибыль до налогообложения (стр. 170 формы № 2),чистая прибыль (стр. 220 формы № 2).
В зависимости от того, с чем сравнивается выбранный показатель прибыли, выделяют три группы коэффициентов рентабельности:
— рентабельность инвестиций (капитала);
— рентабельность продаж;
— рентабельность производства.
РЕНТАБЕЛЬНОСТЬ ИНВЕСТИЦИЙ (КАПИТАЛА)
В этой группе коэффициентов рентабельности рассчитывается два основных коэффициента: рентабельность совокупного капитала и рентабельность собственного капитала.
Рентабельность совокупного капитала (ROA).
Этот коэффициент рассчитывается следующим образом:
RROA 08 = 26572/869363 = 0,031
RROA 07 =0,038
RROA 06 =0,051
Показатель рентабельности собственного капитала представляет интерес, прежде всего, для инвесторов.
Рентабельность собственного капитала (ROE) рассчитывается по формуле:
RROЕ 08 = 3140/411139 = 0, 0076
RROЕ 07 = 0, 0266
RROЕ 06 = 0, 0307
Этот показатель представляет интерес для имеющихся и потенциальных собственников и акционеров. Рентабельность собственного капитала показывает, какую прибыль приносит каждая инвестированная собственниками капитала денежная единица. Он является основным показателем, используемым для характеристики эффективности вложений в деятельность того или иного вида.
РЕНТАБЕЛЬНОСТЬ ПРОДАЖ
При оценке рентабельности продаж на основе показателей прибыли и выручки от реализации рассчитываются коэффициенты рентабельности по всей продукции в целом или по отдельным ее видам. Как и в случае с рентабельностью капитала, существует множество показателей оценки рентабельности продаж, многообразие которых обусловлено выбором того или иного вида прибыли. Чаще всего используется валовая, операционная или чистая прибыль. Соответственно рассчитываются три показателя рентабельности продаж.
Валовая рентабельность реализованной продукции:
RGPM 08 = 220900/542102 = 0,407
RGPM 07= 0, 347
RGPM 06 = 0, 321
Коэффициент валовой прибыли показывает эффективность производственной деятельности предприятия, а также эффективность политики ценообразования.
Операционная рентабельность реализованной продукции:
ROIM 08= 5659/542102 = 0,0104
ROIM 07= 0,0409
ROIM 06= 0, 0513
Операционная прибыль — это прибыль, остающаяся после вычета из валовой прибыли административных расходов, расходов на сбыт и прочих операционных расходов. Этот коэффициент показывает рентабельность предприятия после вычета затрат на производство и сбыт товаров.
Показатель операционной рентабельности является одним из лучших инструментов определения операционной эффективности и показывает способность руководства предприятия получать прибыль от деятельности до вычета затрат, которые не относятся к операционной эффективности. При рассмотрении этого показателя совместно с показателем валовой рентабельности можно получить представление о том, чем вызваны изменения рентабельности. Если, например, на протяжении ряда лет валовая рентабельность существенно не изменялась, а показатель операционной рентабельности постепенно снижался, то причина кроется, скорее всего, в увеличении расходов по статьям административных и сбытовых расходов.
Чистая рентабельность реализованной продукции:
RNPM 08 = 3140/542102 = 0, 0058
RNPM 07 = 0,0182
RNPM 06 = 0,0158
В отечественной практике чаще всего используется именно показатель чистой рентабельности реализованной продукции. Неизменность на протяжении какого-либо периода показателя операционной рентабельности с одновременным снижением показателя чистой рентабельности может свидетельствовать либо об увеличении финансовых расходов и получении убытков от участия в капитале других предприятий, либо о повышении суммы уплачиваемых налоговых платежей. Этот коэффициент показывает полное влияние структуры капитала и финансирования компании на ее рентабельность.
РЕНТАБЕЛЬНОСТЬ ПРОИЗВОДСТВЕННОЙ ДЕЯТЕЛЬНОСТИ
Здесь можно выделить два основных показателя — чистая рентабельность производства и валовая рентабельность производства. Данные показатели показывают, сколько предприятие имеет прибыли с каждой гривни, затраченной на производство продукции. Они рассчитываются следующим образом.
Валовая рентабельность производства
RПВ 08 =220900/ 321202 = 0, 688
RПВ 07 =0,533
RПВ 06 =0,472
Валовая рентабельность производства представляет собой отношение валовой прибыли к себестоимости продукции и показывает, сколько гривень валовой прибыли приходится на гривню затрат, формирующих себестоимость реализованной продукции.
Чистая рентабельность производства
RПЧ 08 = 3140/321202 = 0,0098
RПЧ 07 = 0,0279
RПЧ 06 = 0,0232
Показатель чистой рентабельности производства показывает, сколько гривень чистой прибыли приходится на гривню реализованной продукции. По аналогии с показателями рентабельности продаж, из двух названных выше показателей рентабельности производственной деятельности более жестким тестом прибыльность предприятия является показатель чистой рентабельности производства, так как при его расчете применяется чистая прибыль предприятия.
Как и в отношении прочих показателей рентабельности в отношений этих можно сказать, что желаемой является их положительная динамика.
В процессе анализа необходимо изучить динамику перечисленных выше показателей рентабельности и провести их сравнение со значениями аналогичных коэффициентов по отрасли, а также с показателями рентабельности конкурентов.
















