180485 (584008), страница 4
Текст из файла (страница 4)
Коэффициент общей ликвидности (в зарубежных источниках данный коэффициент называется коэффициентом текущей ликвидности) показывает, в какой степени имеющиеся оборотные активы достаточны для удовлетворения текущих обязательств. Логика, стоящая за расчетом данного коэффициента, заключается в том, что оборотные активы должны быть полностью переведены в денежные средства в течение одного года, а текущие обязательства также необходимо оплатить в течение года.
Согласно общепринятым стандартам, считается, что этот коэффициент должен находиться в пределах от единицы до двух. Нижняя граница обусловлена тем, что оборотных средств должно быть по меньшей мере достаточно для погашения краткосрочных обязательств, иначе компания окажется под угрозой банкротства. Превышение краткосрочных средств над обязательствами более чем в два (три) раза считается также нежелательным, поскольку может свидетельствовать о нарушении структуры капитала. При анализе коэффициента особое внимание следует обратить на его динамику.
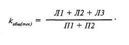
Используя классификацию активов и пассивов, приведенную выше, формулу для определения коэффициента общей ликвидности можно представить в следующем виде:
К общ (тек) 08 = 79920+ 162780+ 136149/1476+ 452748 = 0,83
К общ (тек) 07 =0,92
К общ (тек) 06 = 1,72
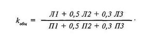
В работах некоторых отечественных аналитиков для комплексной оценки ликвидности баланса предлагается следующая формула оценки общей платежеспособности предприятия:
К общ 08 = 79920+ 0,5*162780+ 0,3*136149/1476+ 0,5*452748+ 0,3*312358 = 0,17
К общ 07 =0,22
К общ 06 =4,78
При помощи этого коэффициента ликвидности оценивается не только способность предприятия погасить текущие обязательства, но и потенциальная возможность рассчитаться по долгосрочным обязательствам.
Промежуточный (уточненный) коэффициент ликвидности (в зарубежной практике он называется коэффициентом срочной ликвидности) считается более жестким тестом на ликвидность, так как при его расчете не берется во внимание наименее ликвидная часть оборотных активов — медленно реализуемые активы (ЛЗ). Существует две основные причины, по которым медленно реализуемые активы не используются при расчете этого коэффициента:
— чистая реализационная стоимость таких активов при вынужденной реализации намного меньше стоимости, по которой эти активы отражены в балансе;
— если предприятие продает свои материальные запасы (а именно они зачастую доминируют в этой группе активов), то возникает вопрос, как оно будет продолжать свою деятельность.
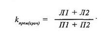
Коэффициент промежуточной ликвидности рассчитывается по формуле:
К пром (сроч) 08 =79920 +162780 / 1476+452748 = 0,53
К пром (сроч) 07 = 0,67
К пром (сроч) 06 = 0,78
Желательно, чтобы этот коэффициент был около 1,5. Однако в наших условиях достаточным признается его значение, равное 0,7—0,8.
При определении этих коэффициентов ликвидности следует учитывать один немаловажный момент: в расчет принимаются ликвидные средства первых трех групп, в том числе дебиторская задолженность. В условиях развитой рыночной экономики такой подход вполне оправдан: предприятие имеет целый ряд законодательно регламентированных возможностей, с помощью которых оно может взыскать долги со своих дебиторов. В переходной экономике Украины, для которой характерен кризис неплатежей, реализация такой возможности становится проблематичной. Поэтому вызывает сомнение целесообразность оценки ликвидности украинских предприятий посредством коэффициентов общей и промежуточной ликвидности, особенно в тех случаях, когда это не подтверждается подробным анализом показателей, участвующих в расчетах.
Очевидно, что в большинстве случаев наиболее надежной является оценка ликвидности только по показателям первой группы активов — денежных средств и текущих финансовых инвестиций. Более того, во многих случаях целесообразно оценивать ликвидность только по показателям денежных средств.
Коэффициент оценки ликвидности по показателям первой группы активов называется коэффициентом абсолютной ликвидности. В западной практике коэффициент абсолютной ликвидности рассчитывается редко. В странах с переходной экономикой его оптимальное значение признается на уровне 0,2 — 0,35. Значение выше 0,35 не всегда требуется, так как излишек денежных средств свидетельствует о неэффективном их использования. Формула расчета коэффициента абсолютной ликвидности имеет следующий вид:
К об 08 =79920/1476+452748 = 0,18
К об 07 = 0,39
К об 06 = 0,46
Для анализируемого предприятия расчет данных коэффициентов представим в табл. 3.1
Таблица 3.1
| Показатель | 2006 | 2007 | 2008 |
| Коэффициент общей (текущей) ликвидности | 1,72 | 0,91 | 0,83 |
| Коэффициент промежуточной (срочной) ликвидности | 0,78 | 0,67 | 0,53 |
| Коэффициент абсолютной ликвидности | 0,46 | 0,39 | 0,18 |
Как видно из приведенного расчета, коэффициенты текущей и срочной ликвидности ниже признанного нормального уровня.
При оценке ликвидности предприятия следует также иметь в виду, что различные показатели ликвидности не только дают характеристику устойчивости финансового состояния предприятия при различной степени учета ликвидности средств, но и отвечают интересам различных внешних пользователей аналитической информации. Например, для поставщиков сырья и материалов наибольший интерес представляет коэффициент абсолютной ликвидности. Банк, дающий кредит предприятию, больше внимания уделяет промежуточному коэффициенту ликвидности. Покупатели в большей мере оценивают ликвидность предприятия по коэффициенту общей ликвидности. Коэффициент общей ликвидности применяется также в том случае, когда необходимо оценить изменения финансовой ситуации на предприятии с точки зрения ликвидности, а также при выборе наиболее надежного партнера из множества потенциальных партнеров на основе отчетности.
-
Факторный анализ прибыли
Факторный анализ — это методика комплексного системного изучения и измерения воздействия факторов на величину результативных показателей.
Одним из приемов проведения факторного анализа являются приемы элиминирования.
Элиминировать — это значит устранить, исключить воздействие всех факторов на величину результативного показателя, кроме одного.
Используя этот прием, на основании данных табл. 4.1 определим влияние каждого фактора на прибыль от реализации.
Таблица 4.1 Факторный анализ прибыли
| Показатели | Код строки | Предыдущий год (Х0) 2007 | Отчетный год (Х1) 2008 | Изменение (ΔХ) |
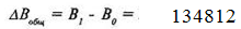
| 1.Выручка от реализации продукции без учета НДС, акцизного сбора и других вычетов их доходов (В) | 035 | 407290 | 542102 | 134812 |
| 2.Себестоимость реализованной продукции (С) | 040 | 265756 | 321202 | 55446 |
| 3.Административные расходы (АР) | 070 | 66181 | 105353 | 39172 |
| 4.Расходы на сбыт (СР) | 080 | 62062 | 146599 | 84537 |
| 5.Другие операционные расходы (ДОР) | 090 | 48636 | 106737 | 58101 |
| 6.Финансовые доходы (ФД) | 120 | 8184 | 14418 | 6234 |
| 7.Финансовые расходы (ФР) | 140 | 136 | 431 | 295 |
| 8.Налог на прибыль (ННП) | 180 | 17218 | 23432 | 6214 |
| 9.Чистая прибыль (ЧП) | 220 | 7402 | 3140 | -4262 |
В этом случае влияние факторных показателей на прибыль (результативный показатель) можно представить в виде аддитивной модели:
Как известно, размер выручки от реализации зависит от таких факторов, как цена реализованной продукции, удельный вес каждого вида продукции в общем объеме реализации и количество реализуемой продукции. Такую зависимость можно записать в виде следующей формулы:
где УД— показатель структуры реализованной продукции;
N— объем реализации продукции;
Ц— цена продукции.
Факторную модель себестоимости реализованной продукции можно представить в виде такого выражения:
где УД— показатель структуры произведенной продукции;
N— объем производства продукции;
Зпер — переменные затраты на производство единицы продукции (себестоимость единицы).
Используя данные Отчета о финансовых результатах, определить влияние всех перечисленных факторов на финансовый результат невозможно, так как нам не известен ни удельный вес реализованной и произведенной продукции, объем выпуска и реализации, ни цена, ни себестоимость единицы. В то же время, зная средний индекс цен, можно определить влияние на размер чистой прибыли изменения цен, объема реализованной продукции, объема выпущенной продукции.
Предположим, что цены на продукцию в отчетном году возросли на 5 %, то есть индекс цен (Iц) составил 1,05.
Определим влияние факторов на изменение выручки от реализации. Общее изменение выручки от реализации находим по формуле:
То есть за отчетный период выручка от реализации продукции увеличилась на 134812 грн. Это изменение является результатом влияния двух факторов: цены реализации и объема реализованной продукции (с учетом структуры). Расчет влияния этих факторов можно определить следующим образом:
Таким образом, рост цен способствовал увеличению выручки от реализации на 25814тыс. грн., а увеличение объема выпуска на 108998 тыс. грн. Как следует из расчетов, на предприятии наблюдается расширение производства.
Аналогично рассчитывается влияние факторов на изменение себестоимости реализованной продукции:
















