179900 (583886)
Текст из файла
Федеральное агентство по образованию
Государственное образовательное учреждение
высшего профессионального образования
Тульский государственный университет
Кафедра ФиМ
Контрольно-курсовая работа
по дисциплине: «Цены и ценообразование»
2 вариант
Выполнила: ______________________________________ ст. гр. 760731
Афанасьева Е.С.
Проверила: _____________________________________ Ермоленко А.В.
Тула 2008
Задача 1.
-
Сырье и основные материалы – 34,00 руб.
-
Рентабельность изделия – 25%
-
Оптовая надбавка – 2,72 руб.
-
НДС - 10%
-
Торговая надбавка – 3,40 руб.
Решение
-
Определим прибыль в цене: 34,00*0,25=8,5 руб.
-
Определим свободную отпускную цену (без НДС): 34,00+8,5=42,5 руб.
-
Определим НДС: (34,00+8,5)*10%=4,25 руб.
-
Определим свободную отпускную цену (с НДС): 42,5+8,5=51 руб.
-
Определим цену оптовой закупки: 51+2,72=53,72 руб.
-
Определим розничную цену: 53,72+3,40=57,12 руб.
Задача 2
Таблица 1. - Затраты по проектируемому продукту
| Затраты | Сумма, руб. | |
| на ед. продукции | всего | |
| Прямые материальные | 4,08 | |
| Прямые на оплату труда | 2,72 | |
| Переменные накладные | 2,04 | |
| Постоянные накладные (на 1000ед. продукта) | 4,76 | 47600 |
| Переменные реализационные и административные | 1,36 | |
| Постоянные реализационные и административные (на 1000ед. продукта) | 0,68 | 6800 |
Таблица 2. - Совокупные поглощенные затраты на производство
| Затраты | Сумма, руб. |
| Прямые материальные | 4,08 |
| Прямые на оплату труда | 2,72 |
| Накладные (2,04 руб. переменных затрат плюс 4,76 руб. постоянных затрат) | 6,8 |
| Общие поглощенные затраты на производство единицы продукции | 13,6 |
Таблица 3 - Форма калькуляции цены продукта
| Затраты | Сумма, руб. |
| Прямые материальные | 4,08 |
| Прямые на оплату труда | 2,72 |
| Накладные | 6,8 |
| Итого затрат на производство | 13,6 |
| Надбавка (50% от суммы затрат на производство) | 6,8 |
| Устанавливаемая продажная цена | 20,4 |
Таблица 4. - Отчет о финансовых результатах деятельности предприятия
| Показатель | Сумма, руб. |
| Объем продаж (10000ед. продукта по цене 20,4руб. за каждую) | 204000 |
| Себестоимость реализованной продукции (10000ед. продукта по 13,6руб. за каждую) | 136000 |
| Валовая (балансовая) прибыль | 68000 |
| Реализационные и административные расходы (на каждую из 10000ед. продукта приходится 1,36руб. переменных и 0,68руб. постоянных расходов) | 20400 |
| Чистая прибыль | 47600 |
Задача 3
Таблица 5. – Калькуляция себестоимости единицы продукции
| Затраты | Сумма, руб. |
| Прямые материальные | 4,08 |
| Прямые на оплату труда | 2,72 |
| Переменные накладные | 2,04 |
| Постоянные накладные (на 1000ед. продукта) | 4,76 |
| Переменные реализационные и административные | 1,36 |
| Постоянные реализационные и административные (на 1000ед. продукта) | 0,68 |
| Итого полная (коммерческая) себестоимость единицы продукции | 15,64 |
Таблица 6. – Форма калькуляции цены продукта
| Затраты | Сумма, руб. |
| Полная себестоимость | 15,64 |
| Прямые материальные | 4,08 |
| Себестоимость за вычетом прямых материальных затрат | 11,56 |
| Надбавка (45% от себестоимости за вычетом прямых материальных затрат) | 5,2 |
| Итого продажная цена (полная себестоимость плюс надбавка) | 20,4 |
Задача 4
Таблица 7. – Форма калькуляции цены продукта
| Затраты | Сумма, руб. |
| Прямые материальные | 4,08 |
| Прямые на оплату труда | 2,72 |
| Переменные накладные | 2,04 |
| Переменные реализационные и административные | 1,36 |
| Итого переменных затрат | 10,2 |
| Надбавка (100% от суммы переменных затрат) | 10,2 |
| Устанавливаемая продажная цена | 20,4 |
Таблица 8. – Отчет о финансовых результатах деятельности предприятия
| Затраты | Сумма, руб. |
| Объем продаж (10000ед. продукта по цене 20,4руб. за каждую) | 204000 |
| Переменные затраты (10000ед. продукта по цене 10,2руб. за каждую) | 102000 |
| Доход (в виде разницы между суммой выручки и переменными затратами) | 102000 |
| Постоянные затраты: | |
| -производственные | 47600 |
| -реализационные и административные | 6800 |
| Чистая прибыль | 47600 |
Задача 5
Таблица 9. - Форма калькуляции цены продукта
| Затраты | Сумма, руб. |
| Переменные затраты на единицу изделия | 20,4 |
| Постоянные затраты на единицу изделия (544000 руб./27200 ед.) | 20 |
| Суммарные затраты на единицу изделия | 40,4 |
| Желательная прибыль (680000руб.*0,60/27200 ед.) | 15 |
| Устанавливаемая продажная цена (не ниже) | 55,4 |
Задача 6
Таблица 10. - Калькуляция цены продукции
| Показатель | Сумма, руб. |
| Затраты на производство | 40,8 |
| Надбавка (40,8 руб.*37%/100) | 15,1 |
| Устанавливаемая продажная цена | 55,9 |
Таблица 11. – Отчет о финансовых результатах деятельности предприятия
| Показатель | Сумма, руб. |
| Объем продаж (55,9 руб.*100000ед.) | 5590000 |
| Затраты на производство продукции (40,8руб.*100000ед.) | 4080000 |
| Валовая прибыль | 1510000 |
| Реализационные и административные затраты | 816000 |
| Чистая прибыль | 694000 |
Задача 7
| Прогнозируемый объем продаж (100000*51) | 5100000 |
| Ожидаемая надбавка (вычитается) | |
| -реализованные и административные расходы | 816000 |
| -предполагаемая сумма ROI (20% от 2040000) | 408000 |
| Плановые затраты на производство 100000 ед. изделия | 3876000 |
| Плановые затраты на производство 1 ед. изделия (3876000/100000) | 38,76 |
Следовательно, предприятие сможет производить новое изделие, только если обеспечит затраты в сумме 38,76 руб. и меньше в расчете на единицу изделия.
Задача 8
Таблица 12. - Калькуляция цены (метод переменных затрат)
| Статья | Сумма, руб. |
| Прямые затраты на материалы | 6,12 |
| Прямые затраты на оплату труда | 4,08 |
| Переменные накладные расходы | 3,40 |
| Переменные реализационные и административные затраты | 2,04 |
| Итого переменные затраты | 15,64 |
| Надбавка – 80% | 12,51 |
| Устанавливаемая продажа цена | 28,15 |
Объем продаж (10000ед. по цене 16,32) – 163200 руб.
Переменные затраты (10000ед. по цене 15,64 руб.) – 156400
Сумма разницы между выручкой и общими переменными затратами в соответствии с условиями заказа (включая приращенную чистую прибыль, если постоянные затраты не изменяются) – 6800
Задача 9
Таблица 13. – Исходные данные
| Величина спроса, тыс. шт. | Величина предложения, тыс. шт. | Цена, руб. |
| 21 | 36 | 70 |
| 28 | 26 | 60 |
| 32 | 24 | 55 |
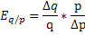
1.Эластичность спроса от цены:
2.Эластичность предложения от цены:
3.Общая выручка и расходы покупателя:
70*21+60*28+55*32=4910 руб.
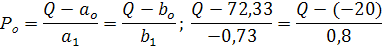
4.Равновесная цена:
5.Линейный график спроса и предложения представлены на рисунке 1.
Рисунок 1. – Линейный график спроса и предложения
Задача 10
Характеристики
Тип файла документ
Документы такого типа открываются такими программами, как Microsoft Office Word на компьютерах Windows, Apple Pages на компьютерах Mac, Open Office - бесплатная альтернатива на различных платформах, в том числе Linux. Наиболее простым и современным решением будут Google документы, так как открываются онлайн без скачивания прямо в браузере на любой платформе. Существуют российские качественные аналоги, например от Яндекса.
Будьте внимательны на мобильных устройствах, так как там используются упрощённый функционал даже в официальном приложении от Microsoft, поэтому для просмотра скачивайте PDF-версию. А если нужно редактировать файл, то используйте оригинальный файл.
Файлы такого типа обычно разбиты на страницы, а текст может быть форматированным (жирный, курсив, выбор шрифта, таблицы и т.п.), а также в него можно добавлять изображения. Формат идеально подходит для рефератов, докладов и РПЗ курсовых проектов, которые необходимо распечатать. Кстати перед печатью также сохраняйте файл в PDF, так как принтер может начудить со шрифтами.















