166510 (582625)
Текст из файла
Контрольная работа
по химии
2009
Обманчивость термина «микроэмульсия»
Микроэмульсии представляют собой гомогенные на макроскопическом уровне смеси масла, воды и ПАВ, которые на микроскопическом уровне состоят из отдельных доменов масла и воды, разделенных монослоем поверхностно-активного вещества. Микроэмульсии нельзя рассматривать как эмульсии с каплями очень маленького размера; микро- и макроэмульсии имеют фундаментальные различия. В то время как макроэмульсии принципиально нестабильные дисперсные системы, в которых капли неминуемо будут коалесцировать, микроэмульсии термодинамически устойчивы и характеризуются интенсивной динамикой внутренней структуры. Поскольку возникновение термодинамически стабильной фазы основано на принципах самоорганизации ПАВ, микроэмульсионные фазы во многом сходны с другими фазами ПАВ, например мицеллярными растворами и жидкокристаллическими фазами. Микроэмульсии могут образовываться в смесях индивидуального ПАВ, масла и воды, но во многих случаях для их образования требуется введение второго поверхностно-активного вещества, так называемого ко-ПАВ, например спирта с гидрофобным радикалом среднего размера. В некоторых случаях для получения микроэмульсии в систему, кроме основного ПАВ, необходимо вводить соли или сорастворители.
| Эмульсии | Микроэмульсии |
| Неустойчивы, расслаиваются с течением времени Капли относительно большие Относительно статические системы Внутренняя поверхность относительно невелика, стабилизируется умеренным количеством ПАВ Кривизна межфазной поверхности масло-вода небольшая | Термодинамически устойчивые системы Небольшие агрегаты Высокодинамичные системы Внутренняя поверхность очень большая, образуются при высоком содержании ПАВ Межфазные пленки масло-вода могут иметь большую кривизну |
Основные различия между эмульсиями и микроэмульсиями
Фазовое поведение и фазовые диаграммы систем масло-вода-ПАВ
Потенциальная возможность практического использования микроэмульсий была установлена на ранних стадиях исследований этих систем. В результате в настоящее время накоплен большой объем данных о фазовом поведении систем масло – вода – ПАВ. Фазовое поведение трехкомпонентной системы при постоянных температуре и давлении удобнее всего представить с помощью фазовых диаграмм, показанных на рис. При низких концентрациях ПАВ наблюдается последовательность равновесий между фазами, обычно называемыми винзоровскими. Микроэмульсия может быть в равновесии с избытком масла, с избытком воды или быть в равновесии одновременно с избытком обеих фаз.
Фазовые диаграммы тройной системы, демонстрирующие переходы от микроэмульсии типа Винзора I к микроэмульсиям типа Винзора III, а затем – к микроэмульсиям типа Винзора II. Трехфазные области показаны черными треугольниками; конноды указывают составы равновесных фаз в двухфазных областях; символы в и м относятся к воде и маслу соответственно
В случае неионогенных ПАВ переход I –> III –> II происходит при повышении температуры. В случае ионогенных ПАВ, содержащих электролит, такой переход можно вызвать увеличением концентрации электролита. Система, представляющая композицию на основе неионогенного ПАВ при низкой температуре, характерна для гидрофильного ПАВ. В этой микроэмульсии «масло в воде» солюбилизируется только небольшое количество масла. Такая микроэмульсия находится в равновесии с практически чистым маслом. При повышении температуры ПАВ становится менее гидрофильным, вследствие этого в микроэмульсии солюбилизируется дополнительное количество масла, но система по-прежнему принадлежит к типу Винзора I. Системы, и относятся к микроэмульсиям Винзора III с трехфазным треугольником, окруженным двухфазными областями. При повышении температуры вершина микроэмульсионного треугольника смещается слева направо. Когда она находится в центральном положении, т.е. когда в микроэмульсии содержатся равные количества масла и воды, система называется сбалансированной. Высота микроэмульсионного треугольника в точке сбалансированной системы служит мерой эффективности ПАВ. В случае очень эффективного ПАВ вершина микроэмульсионного треугольника появляется уже при введении нескольких процентов ПАВ. Системы и можно рассматривать как зеркальные отображения систем и. Фазовое поведение, определяемое диаграммами на рис., можно наглядно проиллюстрировать результатами пробирочных опытов.
Фазовые диаграммы и данные рис. определены при постоянной температуре. Влияние температуры на фазовые переходы в системах масло – вода – ПАВ можно установить, используя фазовую призму. Полностью построить такую фазовую диаграмму непросто, однако часто, чтобы упростить работу, число степеней свободы уменьшают на единицу. Для этого либо сохраняют постоянным отношение объемов масла и воды, либо проводят эксперимент при постоянной концентрации ПАВ.
На рис. показано сечение фазовой призмы для системы, состоящей из масла, воды и неионогенного ПАВ при соотношении объемов масла и воды 1:1, эквивалентное сечению. Трехфазная область, которая состоит из микроэмульсии, находящейся в равновесии с избытками воды и масла, устойчива в интервале температур от Т1 до Т2. Температурная область существования этой микроэмульсии сильно зависит от концентрации ПАВ. При концентрации ПАВ, равной С*, и сбалансированной температуре трехфазная область соприкасается с однофазной микроэмульсией.
Фазовые переходы в системе, содержащей равные количества масла и воды и определенное количество ПАВ. В случае НПАВ переход «слева на право» инициируется повышением температуры
Фазовые призмы: сечения при постоянном отношении объемов масло: вода и при постоянной концентрации ПАВ
Фазовая диаграмма тройной системы вода – масло – НПАВ; «lam» обозначает жидкокристаллическую ламелярную фазу. Соотношение количеств масла и воды поддерживается постоянным, а концентрация НПАВ варьируется
Сечение фазовой призмы при постоянной концентрации ПАВ эквивалентно сечению плоскостью на рис. Построение такой диаграммы полезно для изучении фазового поведения систем масло – вода – неионогенное ПАВ. Типичный пример представлен на рис. Диаграмма иллюстрирует взаимосвязь между температурой и относительным количеством масла и воды.
На фазовой диаграмме стабильная фаза изотропного раствора образует узкий канал, который связывает фазу раствора ПАВ в воде, устойчивую при низких температурах, и фазу раствора ПАВ в масле, устойчивую при повышенных температурах. На этой диаграмме видна ограниченная область существования микроэмульсионной фазы, что типично для систем с неионогенными ПАВ. Система оказывается сбалансированной вблизи 28 °С. При более высоких температурах сильно увеличивается растворимость ПАВ в масле, что приводит к от делению водной фазы. При более низких температурах ПАВ оказывается слишком гидрофильным, и это приводит к отделению масляной фазы. Из диаграммы также следует, что при промежуточных температурах образуется ламелярная фаза как при высокой, так и при низкой массовой доли масла.
Фазовая диаграмма системы циклогексана с гексадеканом при постоянной концентрации НПАВ, равной 7%.
Как подобрать ПАВ для получения микроэмульсии
Кривизна межфазной границы микроэмульсии может варьироваться: межфазная поверхность может быть сильно искривленной в сторону масла, иметь нулевую среднюю кривизну или быть сильно искривленной в сторону воды. В противоположность эмульсиям кривизна межфазной поверхности микроэмульсий по сравнению с размером молекул ПАВ весьма существенна. Это означает, что не только гидрофильно-липофильный баланс, но и геометрия молекулы ПАВ становится важным фактором, определяющим выбор ПАВ для получения оптимальной микроэмульсии.
Наиболее распространенный прием оценки геометрии ПАВ основан на использовании концепции критического параметра упаковки. Геометрические или упаковочные свойства ПАВ зависят от оптимальной площади их полярных групп я, а также от объема углеводородной части молекулы н и длины вытянутой гидрофобной цепи /тах. Величина а определяется силами отталкивания, действующими между полярными группами, и гидрофобными силами притяжения, действующими между неполярными цепями. Стерические взаимодействия цепь – цепь и способность молекул масляной фазы внедряться между неполярными цепями ПАВ влияют на величины н и /max – Как уже упоминалось, величину безразмерного критического параметра упаковки КПУ можно использовать для предсказания типа агрегата, который самопроизвольно образуется в растворе.
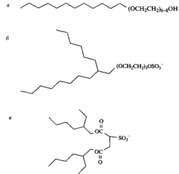
Из геометрических оценок можно заключить, что ПАВ с умеренно длинными вытянутыми алифатическими углеводородными «хвостами» больше всего подходят для получения микроэмульсий типа «масло в воде», тогда как ПАВ с объемными гидрофобными группами больше подходят для получения биконтину-альных микроэмульсий. ПАВ, молекулы которых имеют разветвленные гидрофобные «хвосты», пригодны для получения микроэмульсий типа «вода в масле». Эти правила подтверждены экспериментально. Обычно в рецептуру для микроэмульсий включают смесь ПАВ. Геометрия «эффективного» ПАВ в этом случае усредняется по всем компонентам. Следовательно, комбинация ПАВ с одной вытянутой цепью и ПАВ с двумя разветвленными цепями, например смесь соединений и на рис. идеально подходит для получения микроэмульсии с биконтинуальной микроструктурой.
Для некоторых практических применений, в частности при использовании микроэмульсий для повышения нефтеотдачи, нужны ПАВ, которые без добавок ко-ПАВ или сорастворителей способны солюбилизировать большие объемы масла и воды. При надлежащей оптимизации геометрии ПАВ с учетом его молекулярной массы были получены молекулы с чрезвычайно высокой солюбилизирующей способностью. К ним относится, например, 2-гексилдецил-сульфат натрия. Это относительно простое ПАВ с двумя углеводородными группами. Взятое в количестве 1.54 мас.%, оно способно «смешать» 49.2% водного раствора хлорида натрия и 49.2% гексана. Содержание воды и гексана в образующейся микроэмульсии оказывается в 32 раза больше, чем ПАВ. Еще более высокие значения солюбилизации были достигнуты при использовании некоторых более крупных молекул с присоединенными разветвленными гидрофобными цепями.
Примеры молекулярных структур ПАВ, пригодных для получения микроэмульсий различных типов: а – этоксилированный спирт, при температурах ниже точки помутнения используется для получения микроэмульсий типа «масло в воде»; б – сульфоэфир с разветвленными углеводородными радикалами, пригоден для получения биконтинуальных микроэмульсий; в-сульфонат с двумя неполярными радикалами, пригоден для получения микроэмульсий «вода в масле»
Структура молекулы ПАВ 2-гексилдецилсульфата натрия, обладающего чрезвычайно высокой солюбилизирующей способностью по отношению как к масляной фазе, так и к воде
ПАВ, показанное на рис., очень малорастворимо в масле и в воде. Это важное свойство ПАВ, показывающее, что оно чрезвычайно эффективно для получения микроэмульсий типа Винзора Ш. Очень низкие концентрации насыщения в избытках обеих жидких фаз обеспечивают локализацию ПАВ на поверхности масло-вода, необходимую для образования сбалансированной микроэмульсии.
Сложные фазовые диаграммы тройных систем
В случае ПАВ с менее выраженной дифильностью, например ПАВ с короткими неполярными цепями, несмешиваемость масла и воды преодолевается только при высоких концентрациях ПАВ. Для более сильных поверхностно-активных веществ для образования микроэмульсий достаточно небольших концентраций. Фазовая диаграмма таких систем может оказаться более сложной: в дополнение к двухфазным областям появляется трехфазный треугольник. Некоторые особенности фазовых диаграмм тройных систем ПАВ – масло – вода были проиллюстрированы на рис. Число фаз может изменяться, как было показано на рис. Для сильного или эффективного ПАВ с ярко выраженной дифильностью, образующего микроэмульсии при низких концентрациях и ламелярные фазы при более высоких концентрациях, фазовая диаграмма имеет более сложный вид. Пример приведен для точно сбалансированного ПАВ. При самой низкой концентрации ПАВ образующаяся микроэмульсия включает равные объемы масла и воды. Поэтому фазовая диаграмма симметрична относительно этого соотношения объемов жидких фаз.
Фазовая диаграмма системы, состоящей из ПАВ, воды и масла, в сбалансированных условиях; цет – микроэмульсия, Iam-ламелярная фаза
Рассмотрим влияние на микроструктуру микроэмульсий важнейших параметров, от которых зависит их образование: температуры, концентрации электролита и концентрации ПАВ в смеси. Для этого полезно проанализировать фазовую диаграмму, которая получена при постоянной концентрации поверхностно-активного вещества, но при варьировании состава смеси растворителей. Воспользуемся, например, данными Шиноды, полученными для неионогенных ПАВ. Видно, что микроэмульсионная область проходит от нижнего левого края диаграммы до верхнего правого. Это означает, что получить микроэмульсию можно при любых соотношениях жидких фаз просто варьированием температуры.
Характеристики
Тип файла документ
Документы такого типа открываются такими программами, как Microsoft Office Word на компьютерах Windows, Apple Pages на компьютерах Mac, Open Office - бесплатная альтернатива на различных платформах, в том числе Linux. Наиболее простым и современным решением будут Google документы, так как открываются онлайн без скачивания прямо в браузере на любой платформе. Существуют российские качественные аналоги, например от Яндекса.
Будьте внимательны на мобильных устройствах, так как там используются упрощённый функционал даже в официальном приложении от Microsoft, поэтому для просмотра скачивайте PDF-версию. А если нужно редактировать файл, то используйте оригинальный файл.
Файлы такого типа обычно разбиты на страницы, а текст может быть форматированным (жирный, курсив, выбор шрифта, таблицы и т.п.), а также в него можно добавлять изображения. Формат идеально подходит для рефератов, докладов и РПЗ курсовых проектов, которые необходимо распечатать. Кстати перед печатью также сохраняйте файл в PDF, так как принтер может начудить со шрифтами.
















