166304 (582608), страница 11
Текст из файла (страница 11)
Работать одному в лаборатории категорически запрещается, так как в ситуации несчастного случая некому будет оказать помощь пострадавшему и ликвидировать последствия аварии.
Во время работы в лаборатории необходимо соблюдать чистоту, тишину, порядок и правила техники безопасности, так как поспешность и небрежность часто приводят к несчастным случаям с тяжелыми последствиями.
Каждый работающий должен знать, где находятся в лаборатории средства противопожарной защиты и аптечка, содержащая все необходимое для оказания первой помощи.
Категорически запрещается в лаборатории курить, принимать пищу, пить воду.
Нельзя приступать к работе, пока учащиеся не усвоят всей техники ее выполнения.
Опыты нужно проводить только в чистой химической посуде. После окончания эксперимента посуду сразу же следует мыть.
В процессе работы необходимо соблюдать чистоту и аккуратность, следить, чтобы вещества не попадали на кожу лица и рук, так как многие вещества вызывают раздражение кожи и слизистых оболочек.
Никакие вещества в лаборатории нельзя пробовать на вкус. Нюхать вещества можно, лишь осторожно направляя на себя пары или газы легким движением руки, а не наклоняясь к сосуду и не вдыхая полной грудью.
На любой посуде, где хранятся реактивы, должны быть этикетки с указанием названия веществ.
Сосуды с веществами или растворами необходимо брать одной рукой за горлышко, а другой снизу поддерживать за дно.
Категорически запрещается затягивать ртом в пипетки органически вещества и их растворы.
Во время нагревания жидких и твердых веществ в пробирках и колбах нельзя направлять их отверстия на себя и соседей. Нельзя также заглядывать сверху в открыто нагреваемые сосуды во избежание возможного поражения при выбросе горячей массы.
После окончания работы необходимо выключить газ, воду, электроэнергию.
Категорически запрещается выливать в раковины концентрированные растворы кислот и щелочей, а также различные органические растворители, сильно пахнущие и огнеопасные вещества. Все эти отходы нужно сливать в специальные бутыли.
В каждой лаборатории обязательно должны быть защитные маски, очки.
В каждом помещении лаборатории необходимо иметь средства противопожарной защиты: ящик с просеянным песком и совком для него, противопожарное одеяло (асбестовое или толстое войлочное), заряженные огнетушители.
В доступном месте в классе-лаборатории должен быть "Уголок техники безопасности", где необходимо разместить конкретные инструкции по методам безопасности работы и правила поведения в химическом кабинете.
При работе в лаборатории необходимо применять индивидуальные средства защиты, а также соблюдать правила личной гигиены.
Контрольная работа №3. Вариант №1
1 На примере D - галактозы покажите явление оксо - гидрокситаутомерии Из галактозы получите этил-α-D-галактопиранозид. В какой среде данное соединение гидролизуется? Продукты гидролиза назовите
Схема таутомерии выглядит следующим образом:
Получение этил-α-D-галактопиранозида
Как полные ацетали галактозиды гидролизуются в условиях кислотного катализа и устойчивы в разбавленных растворах щелочей. Механизм кислотного гидролиза включает протонирование галактозидного кислорода, расщепление галактозидной С-О связи с образованием галактозил-катиона, который затем атакуется молекулой воды. В результате образуется α-D-галактоза и этанол.
2 Приведите схемы полного метилирования и ацетилирования [β -D ксилофуранозы и последующего гидролиза полученных продуктов в присутствии кислоты. Продукты реакций назовите
Метилирование и последующий гидролиз. Продукт метилирования – метил-β -D ксилофураноза, продукт гидролиза - β -D ксилофураноза и метанол
Ацетилирование (продукт – ацетат β -D ксилофуранозы) и последующий гидролиз (продукт – β -D ксилофураноза и уксусная кислота)
-
Напишите схемы реакций лактозы со следующими реагентами: а). уксусным ангидридом; б) гидроксиламином; в) фенилгидразином; г) диметилсульфатом в щелочной среде. Продукты назовите. Укажите значение данных реакций.
а). Реакция с уксусным ангидридом
Продукт – 2,3,4,6,1`,2`,3`6`- октаацетат лактозы
б). реакция с гидроксиламином
Продукт: Оксим лактозы
в). Реакция с фенилгидразином
Продукт – фенилгидразон целлюлозы
г). Реакция с диметилсульфатом в щелочной среде
Продукт – метил - 2,3,4,6,1`,2`,3`6`-окта- О-метиллактоза
2 Напишите структурную формулу дисахарида, состоящего из p-D-глюку роновой кислоты и 2-N-ацетил-4-сульфо-D-галактозамина, связанных β-(I→3) гликозидной связью. В состав какого биополимера входит этот дисахарид?
Структурная формула:
Данный дисахарид является мономером хондроитина, входящего в состав хрящевых тканей
3 Синтезируйте дипептид: валин - лейцин с использованием «защиты» (бензиловым эфиром хлормуравьиной кислоты) и «активации» (этилхлорформиатом). Укажите пептидную связь, С- и N-конец, рН среды полученного дипептида
Красным эллипсом обведена пептидная связь, С- и N-концы обведены, соответственно, зеленым и фиолетовым прямоугольниками. pH среды меньше 7.
4 Напишите реакции изолейцина с формальдегидом, NaOH, HCI, С2Н5ОН (НС1), 2,4-динитрофторобензолом, нингидрином, декарбоксилирования, дезаминирования. Продукты назовите
Реакция с формальдегидом:
Продукт – 2,2-N,N-диметил-3-метилпентановая кислота
Реакция с гидроксидом натрия
Продукт: 2-амино-3-метилвалерат натрия
Реакция с HCl
Реакция с этанолом:
Продукт: этиловый эфир изолейцина.
Реакция с 2,4-динитрофторобензолом:
Продукт: ДНФ-производное изолейцина
Реакция с нингидрином:
Продукты: сине-фиолетовый продукт реакции, вода, углекислый газ, 2-амино-3-метилпентаналь
Реакция декарбоксилирования
Продукт: 1-амино-2-метилбутан
Реакция дезаминирования
Продукт: 3-метилпентен-2-овая кислота
5 Определите строение соединения C7H7O2N, которое широко используется для производства различных красителей и обладает следующими свойствами: а) горит коптящим пламенем; б) растворяется в водном растворе NaHCO3 с выделением СO2; в) растворяется в HCI; г) при бромировании бромной водой превращается в дибромопроизводное; д) диазотируется; е) способно к образованию внутримолекулярной водородной связи
Структурная формула соединения (2-аминобензойная кислота):
а). Горение
б).Растворение в водном растворе соды
в). Растворение в соляной кислоте
г).бромирование бромной водой
д). Диазотирование
е) образование водородной связи (отмечена волнистой линией)
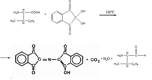
6 Осуществите превращения, укажите условия реакций:
Цепочка реакций представлена ниже
7 Напишите строение участка РНК-АУ (Аденин-Урацил). Укажите сложноэфирные и гликозидные связи
Синим обозначены сложноэфирные связи, красным – гликозидные.
8 Напишите схемы кислотного и щелочного гидролиза 5' - дезоксиадениловой кислоты. Продукты назовите
Кислотный гидролиз
Продукты: рибофосфат, аденин
Щелочной гидролиз:
Продукты: о-фосфорная кислота, аденозин
Контрольная работа №4. Вариант №1
1 В чем заключаются особенности электронного строения пятичленных ароматических гетероциклов? Оцените связанную с этим активность пиррола, фурана и тиофена в реакциях электрофильного замещения (в сравнении с бензолом). Приведите примеры реакций
Характерной особенностью пятичленных гетероциклических соединений является одновременное сочетание у них свойств как ароматического соединения, так и диена. Склонность к реакциям того и другого типов, однако, у них различна и связана с природой гетероатома. Так, “ароматические” свойства убывают в ряду: тиофен > пиррол > фуран. При этом их ароматические системы менее устойчивы, чем у бензола.
При нахождении гетероатома в кольце он взаимодействует с его электронной системой по двум направлениям. Как более электроотрицательные элементы, азот, сера и кислород, оттягивают электронную плотность с кольца по индуктивному эффекту, распространяющемуся по системе s- связей. Однако решающий вклад вносит мезомерный эффект, имеющий в каждом из этих случаев противоположное индуктивному эффекту направление. Таким образом, молекула пятичленного гетероциклического соединения становится поляризована, где “положительным” центром поляризации служит гетероатом. Электрические моменты диполей убывают в том же порядке, что и ароматические свойства. Наиболее электроотрицательный кислород имеет меньшую склонность к обобществлению своей пары электронов в ароматической системе, поэтому фуран обладает наименьшими ароматическими свойствами в ряду тиофен-пиррол-фуран.
Меньшая устойчивость ароматических систем у пятичленных гетероциклов объясняется двойственной природой np-электронной пары гетероатома, несоответствием валентных углов внутри цикла значению 120 градусов, характерному для sp2-гибридизованного атома углерода, а также сильной поляризацией связи углерод-гетероатом. В результате наибольшая электронная плотность сосредоточена на ближайших к гетероатому атомах углерода (a- положения). На удаленных от него b- атомах углерода электронная плотность ниже. Все это предопределяет химические свойства соединений этого класса. Пятичленные гетероциклы в целом легче вступают в реакции электрофильного замещения, по сравнению с незамещенным бензолом. Замещение проходит по положению 2, если оно занято, замещаются атомы у третьего атома углерода
Наименее ароматичный фуран, присоединяя в кислой среде протон по атому кислорода, образует диеновую систему, склонную к полимеризции и осмолению. Поэтому реакции электрофильного замещения в фуране (проходящие настолько же легко, как и в фенолах) проводят в нейтральных и щелочных средах. Так, фуран ацилируется ангидридами кислот в присутствии SnCl4, сульфируется пиридинсульфотриоксидом (мягкий сульфирующий агент), нитруется ацетилнитратом :
















