166222 (582597)
Текст из файла
Содержание
1. Полимеризующиеся ПАВ и их применение для создания покрытий
2. Специальные поверхностно-активные вещества для экстремального снижения поверхностного натяжения
1. Полимеризующиеся ПАВ и их применение для создания покрытий
Полимеризующиеся ПАВ иногда называют «функциональными», поскольку наряду с высокой поверхностной активностью эти вещества обладают определенными специфическими свойствами. Интерес к таким ПАВ вызван следующим. Часто поверхностная активность ПАВ необходима только на определенной стадии технологического процесса, но это свойство оказывается бесполезным или даже нежелательным на последующих стадиях. Такие ситуации могут быть связаны с экологическими проблемами, например, когда ПАВ медленно подвергается биоразложению в отстойниках очистных станций. Проблема может иметь технологическое происхождение, когда присутствие поверхностно-активных агентов в конечном продукте негативно влияет на его свойства.
Производство красок — хороший пример, когда ПАВ нужны на первой стадии, но нежелательны на последующих. ПАВ используются в производстве красителей в качестве эмульгаторов для связующих веществ, как диспергаторы для пигментов и для регулирования смачивания подложки. Присутствие ПАВ в сухой пленке краски часто приводит к проблемам, поскольку ПАВ действует как введенный пластификатор, приводя к размягчению и увеличению гибкости пленки. Пластифицирующее действие можно считать преимуществом системы, если бы пластификатор был распределен равномерно по всему покрытию. Но вследствие поверхностной активности ПАВ мигрирует из объема фазы и концентрируется на поверхностях раздела фаз. Было установлено, что молекулы ПАВ преимущественно накапливаются на границе раздела пленка-воздух, где они ориентируются гидрофобными «хвостами» к воздуху. По данным рентгеноэлектронной спектроскопии сухая пленка лака, содержащая 1% поверхностно-активного вещества, обнаруживает в поверхностном слое в среднем 50%-ную концентрацию ПАВ. Объемная концентрация ПАВ по-прежнему близка к 1%, так как модифицированный поверхностный слой очень тонок по сравнению с толщиной пленки. При нанесении следующего слоя краски поверхностный слой ПАВ в пленке образует так называемый слабый граничный слой, что очень часто создает трудности при перекрашивании поверхностей.
Хорошо известно, что при высыхании эмульсионных красок ПАВ могут подвергаться фазовому разделению, в результате чего по всей покрытой поверхности образуются комки размером в десятки микрон. Исследования, выполненные с помощью атомно-силовой микроскопии, показали, что такие комки ПАВ распространяются и на некоторую глубину внутрь пленки. ПАВ можно удалить из пленки водой, но тогда на месте комков на пленке появляются углубления. Такие дефекты служат причиной плохой устойчивости многих латексных красок по отношению к воде.
Рис. 1. Миграция ПАВ внутри пленки лака приводит к обогащению поверхности поверхностно-активным веществом
Один из путей преодоления проблем, связанных с присутствием ПАВ в конечных продуктах, — использование ПАВ, химически закрепляемых на частицах латекса. Можно использовать другой путь и проводить полимеризацию ПАВ на стадиях затвердевания и сушки. При этом ПАВ может образовывать гомополимер или сополимер с каким-либо компонентом смеси. В красках и лаках роль сореагента выполняют вяжущие компоненты.
Совершенно другой путь решения проблемы остаточных ПАВ в конечных продуктах состоит в использовании ПАВ с лабильными связями, спонтанно разрушающимися на определенной стадии.
Способы полимеризации ПАВ
Гомополимеризация или сополимеризация
В композициях, содержащих реакционноспособные ПАВ, гомополимеризация дифильного компонента происходит при достаточно высоких концентрациях. В технических композициях концентрация ПАВ слишком мала для гомополиме-ризации в объеме всей фазы. Однако гомополимеризация молекул ПАВ может происходит в плотных адсорбционных слоях, которые образуются либо при адсорбции из водного раствора, либо в результате миграции через пленку.
Сополимеризация может происходить в объеме фазы. Константы скорости четырех возможных путей присоединения мономера:
Автоокислительная или неавтоокислительная полимеризация.
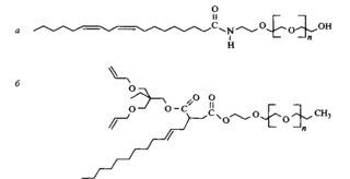
Автоокисление, т. е. индуцированное кислородом отверждение, может происходить в процессе сополимеризации в объемной фазе и в процессе гомополимеризации монослоя на поверхности. Два ПАВ, способные к автоокислению, показаны на рис. 2.
Верхнее соединение — этоксилированный ненасыщенный моноэтаноламид. Соединения, способные к автоокислению, представляют особый интерес в комбинации с алкидными смолами. Автооксиление обычно катализируется солями кобальта или марганца.
Рис. 2. Два неионных ПАВ, способных к автоокислению: а — этоксилированный моноэтанол-амид линолевой кислоты; б — этоксилированный сложный моноэфир додеценилянтарной кислоты и простого эфира триметилолпропандиаллила
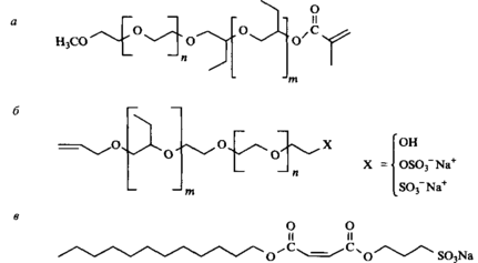
Неавтоокислительная полимеризация происходит в процессе отверждения под действием ультрафиолетового облучения или теплового воздействия с использованием свободнорадикальных инициаторов, например бензоилпероксида или персульфата калия. Подобно автоокислению, здесь также может происходить отверждение в объеме и в поверхностном слое. Поверхностно-активные вещества в этом случае, как правило, содержат активированные винильные группы, к ним относятся, например, эфиры акриловой или метакриловой кислот. Некоторые примеры поверхностно-активных веществ, способных быстро затвердевать под действием ультрафиолетового излучения, приведены на рис. 3.
Положение способных к полимеризации групп
Реакционноспособная группа может находится в полярной или гидрофобной частях молекулы ПАВ.
Для двухфазных систем жидкость-жидкость важны характеристики растворимости инициатора. Распределение инициатора между масляной и водной фазами должно быть таким, чтобы он преимущественно локализовался в той фазе, где находится полимеризующаяся группа. Если ПАВ содержит способную к полимеризации связь в полярной группе, нужен водорастворимый инициатор. Для полимеризующихся связей в гидрофобной части молекул более предпочтителен инициатор, растворимый в масле.
Полимеризация полярных групп неионных ПАВ обычно происходит в довольно жестких условиях и протекает с плохими выходами. При локализации способных к полимеризации связей в гидрофобных частях реакционная способность в двухфазных системах заметно выше. Поперечная сшивка полярных групп также должна устраняться, если ПАВ после полимеризации должно выполнять роль стерического стабилизатора дисперсных систем. Энтропийный член, являющийся главным фактором стерической стабилизации, уменьшается при ограничении свободы движения полярных групп.
Рис. 3. Примеры полимеризующихся ПАВ: а — метакрилат блок-сополимера этиленоксида и бутиленоксида с концевой метальной группой; б—блок-сополимер бутиленоксида и этиленоксида с аллильной концевой группой и с различными группами на другом конце; в — монододецилмоно-сульфопропилмалеат
Поперечная сшивка гидрофобных «хвостов» молекул ПАВ также обычно наблюдается при адсорбции полимеризующихся ПАВ на гидрофобной поверхности, что сопровождается сближением гидрофобных цепей друг с другом, а их ориентация способствует образованию межмолекулярных связей.
Применение полимеризующихся ПАВ
Эмульсионная полимеризация
Полимеризующиеся ПАВ применяются в процессах эмульсионной полимеризации, например при превращении винилхлорида в поливинилхлорид, а также акрилатов и винилацетата в латексы для покрытий. Использование реакционноспособных ПАВ при полимеризации винилхлорида приводит к образованию ПВХ с повышенной сопротивляемостью сдвиговым нагрузкам. При получении латексов полимеризующиеся ПАВ обеспечивают ряд ценных свойств продукту. Латексы в этом случае обнаруживают повышенную устойчивость к сдвигу, замораживанию и разбавлению, а также пониженное пенообразование. В целом пленочные покрытия таких латексов характеризуются лучшей адгезией и устойчивостью к воде и химическим реагентам.
Конкурентная адсорбция является источником серьезных проблем в композициях красок и в ряде других композиционных продуктов. Пигментированные латексные покрытия содержат разнообразные границы раздела фаз. Поверхностно-активные вещества будут стремиться адсорбироваться на каждой из поверхностей. Кроме того, ПАВ могут образовывать мицеллы или агрегироваться с гидрофобными сегментами молекул загустителей, которые обычно добавляются в настоящее время в латексные краски. Обычно различные ПАВ вводятся в систему одновременно с индивидуальными компонентами, например эмульгаторы с вяжущими, диспергаторы с пигментами, смачиватели также добавляются непосредственно в композиции. Система становится очень сложной, и протекающие в ней процессы конкурентной адсорбции создают проблемы во всех пигментных эмульсионных красках. ПАВ, вводимое в качестве эмульгатора для связующего, может десорбироваться с поверхности капель эмульсии и адсорбироваться на частицах пигмента, а диспергатор пигмента может также оказаться на других границах раздела фаз. Эти обменные явления служат причиной нестабильности систем и нежелательных реологических свойств. Решение проблемы в значительной мере заключается в использовании полимеризующихся поверхностно-активных веществ.
Соединения различных типов используются в качестве реакционноспособных поверхностно-активных веществ при получении латексов. Одни из них, производные малеиновой кислоты, особенно интересны, поскольку при обычной температуре они не способны к гомополимеризации. Такие соединения легко получать по реакциям малеинового альдегида с алифатическими спиртами с последующей обработкой образующего моноэфира пропансультоном. Задача состоит в том, чтобы избежать значительной го-мополимеризации, поскольку полярные с большим сродством к воде сегменты олигомерных и полимерных ПАВ оказываются локализованными на поверхности латексных частиц. После высыхания такие частицы, распределенные по всему покрытию, служат источником дефектов. И, наоборот, необходимо, чтобы реакционноспособные ПАВ преимущественно сополимеризовались с мономерами латекса. Это обеспечивает их равномерное распределение по поверхности латексных частиц. Реакционная активность полимеризующихся ПАВ не должна быть очень высокой. При больших скоростях полимеризации, протекающей в водной фазе, образуется полимер, содержащий ПАВ. Такие ассоциаты остаются в водной фазе, не адсорбируясь на поверхности частиц. При очень быстрой полимеризации ПАВ в эмульсионной капле высока вероятность того, что ПАВ в основном будет находится внутри капли.
Рис. 4. Композиции красок включают различные межфазные повержности
Полимеризующиеся ПАВ для латексов по сути представляют собой определенный тип сомономеров. Реакционноспособные ПАВ можно использовать в качестве инициаторов полимеризации. Наконец полимеризующиеся ПАВ могут выполнять роль переносчика цепей полимеризации, т. е. с их помощью можно контролировать молекулярную массу латексного полимера. На рис. 4 показаны некоторые типичные примеры ПАВ, которые могут служить инициаторами полимеризации и переносчиками цепи. Используя такие ПАВ-инициаторы, можно получить латексы с большим содержанием твердого вещества без введения дополнительных количеств ПАВ.
Латексы часто получают с использованием комбинаций неионных и анионных ПАВ. Катионные ПАВ также могут быть использованы при синтезе латексов, несмотря на то, что практическое применение положительно заряженных латексов ограничено. На рис. 23 приведены структуры трех четвертичных аммониевых ПАВ, содержащих в качестве реакционноспособных групп 4-винилфенильные группы; эти вещества использовались в качестве модельных реакционноспособных ПАВ для получения латексов.
Из рис. 5 можно сделать вывод о положительном влиянии этих же полимеризующихся ПАВ на стабильность латексов. ПАВ использовались в качестве единственных эмульгаторов в процессе эмульсионной полимеризации стирола. Для сравнения латексы были получены также в присутствии двух ПАВ, не обладающих реакционной способностью: катионного ПАВ, аналогичного среднему соединению на рис. 5, но не содержащего винильной группы, и анионного ПАВ.
Характеристики
Тип файла документ
Документы такого типа открываются такими программами, как Microsoft Office Word на компьютерах Windows, Apple Pages на компьютерах Mac, Open Office - бесплатная альтернатива на различных платформах, в том числе Linux. Наиболее простым и современным решением будут Google документы, так как открываются онлайн без скачивания прямо в браузере на любой платформе. Существуют российские качественные аналоги, например от Яндекса.
Будьте внимательны на мобильных устройствах, так как там используются упрощённый функционал даже в официальном приложении от Microsoft, поэтому для просмотра скачивайте PDF-версию. А если нужно редактировать файл, то используйте оригинальный файл.
Файлы такого типа обычно разбиты на страницы, а текст может быть форматированным (жирный, курсив, выбор шрифта, таблицы и т.п.), а также в него можно добавлять изображения. Формат идеально подходит для рефератов, докладов и РПЗ курсовых проектов, которые необходимо распечатать. Кстати перед печатью также сохраняйте файл в PDF, так как принтер может начудить со шрифтами.
















