166005 (582579)
Текст из файла
Содержание
1. Сходство фазового поведения смесей ПАВ с полимерами и смешанных растворов полимеров
2. Корреляция фазового поведения смесей полимер-поверхностно-активное вещество с фазовым поведением смесей двух полимеров или смесей ПАВ
3. Влияние полимера на фазовое поведение бесконечных самоассоциатов молекул ПАВ
4. Техническое использование смесей полимер - ПАВ
5. Компактизация молекул ДНК катионными ПАВ: применение в генной терапии
1. Сходство фазового поведения смесей ПАВ с полимерами и смешанных растворов полимеров
Общие представления и неионные системы
В смешанных растворах низкомолекулярных ПАВ и гидрофобизированных полимеров происходит сильная ассоциация компонентов. Выше отмечалось, что многие гомополимеры усиливают мицеллообразование ионных ПАВ. Однако природа сил взаимодействия в ассоциатах не всегда очевидна, поскольку у большинства пар ПАВ-полимер полностью отсутствуют взаимодействия притяжения.
Для двух полимеров в обычном растворителе энтропия смешения мала, в результате чего обычно происходит разделение системы на два раствора, причем один из них обогащен одним полимером, а другой — вторым полимером. Склонность к фазовому разделению существенно растет с увеличением молекулярной массы полимеров. Поскольку мицеллы также имеют большую мицеллярную (молекулярную) массу, можно ожидать, что сегрегация (разделение на две жидкие фазы по указанному выше механизму) будет обычным явлением (рис. 1).
Для растворов полимеров различают два типа фазового разделения: сегрегативный и ассоциативный (рис. 2). В отсутствие сил притяжения между компонентами реализуется сегрегативное разделение фаз. При умеренном притяжении между компонентами достигается полное смешение. В случае сильного притяжения между двумя полимерами происходит разделение на фазы по ассоциативному механизму, при этом одна фаза обогащена обоими полимерами, а другая представляет собой разбавленный раствор полимеров. Независимо от механизма степень фазового разделения растет с увеличением молекулярной массы полимеров.
Рис. 1. Вследствие больших мицеллярных (молекулярных) масс мицелл можно ожидать, что в отсутствие значительных сил притяжения смешанный раствор полимера и поверхностно-активного вещества будет проявлять типичную для полимеров несовместимость (а), т. е. разделение на две жидкие фазы: обогащенную полимером и мицеллярный раствор (б)
Рис. 2. Тройные фазовые диаграммы для двух полимеров в одном растворителе, показаны области сегрегации и ассоциации. В двухфазных областях приведены конноды, чтобы показать составы сосуществующих жидких фаз (растворов)
Смеси полимера и ПАВ ведут себя аналогичным образом. Разница состоит лишь в том, что «степень полимеризации» мицеллы, в отличие от таковой для полимера, не является постоянной величиной и может варьироваться в зависимости от условий (температуры, концентрации электролита и др.).
На рис. 2 сравниваются смеси полимер-ПАВ (декстран и неионное полиоксиэтилированное ПАВ) и полимер-полимер (декстран и поли (этиленгликоль)). Видно, что разделение на фазы в обоих случаях качественно одинаково.
Природа низкомолекулярного ПАВ сильно влияет на фазовую диаграмму растворов смесей с полимером. Так, С12Е5 вызывает более сильную сегрегацию, чем CnEg. Кроме того, сегрегация в присутствии С12Е5 увеличивается с ростом температуры. Такие результаты вполне ожидаемы и объясняются разницей размеров мицелл этих ПАВ и влиянием на размеры мицелл температуры.
Рис. 3. Фазовые диаграммы (а) водных смесей декстрана (молекулярная масса 23000) и поли (этиленгликоля) (молекулярная масса 2300 (пунктирные линии) и 18000 (сплошные линии)) в сравнении с диаграмами (б) смеси декстрана (молекулярная масса 40000) и С12Е5. Выше кривых расположены зоны смешиваемости, под кривыми системы разделяются на две жидкие фазы (два раствора), (a)
Молекулы CEg образуют небольшие почти сферические мицеллы при всех температурах, а С12Е5 образует большие мицеллы, сильно увеличивающиеся с ростом температуры.
Для смесей неионных полимеров и неионных ПАВ разделение на фазы возможно не только по сегрегативному механизму. В случае менее полярного полимера разделение на фазы происходит по ассоциативному механизму (особенно при повышенных температурах) за счет гидрофобных взаимодействий.
Введение зарядов
Введение заряженных групп в молекулы растворенных веществ коренным образом изменяет фазовое поведение растворов. Мы уже знаем, что полиэлектролиты более растворимы, чем аналогичные незаряженные полимеры, что объясняется энтропией распределения противоионов. Ограничение молекул полимера частью системы мало влияет на энтропию из-за их малого числа. В тоже время энтропия сильно уменьшается при пространственном ограничении более многочисленных противоионов. В смешанных полимерных системах электростатические взаимодействия приводят к целому ряду следствий. Одно из них — слабая склонность к разделению на фазы смешанных растворов неионного и ионного полимеров. При добавлении электролитов ингибирование фазового разделения снимается, и в системе наблюдается типичная несовместимость полимеров.
Аналогичные эффекты наблюдаются для смешанных растворов полимера с низкомолекулярным ПАВ. Даже введение в молекулы полимера небольшого заряда (за счет введения ионных групп) или сообщение заряда мицеллам (введением в мицеллу ионных ПАВ) приводит к заметному увеличению смешиваемости компонентов. Это иллюстрирует рис. 4 для систем, приведенных на рис. 3, б; видно, что добавки электролита устраняют влияние введенных зарядов. При введении одноименных зарядов в молекулы полимера и ПАВ система становится несовместимой, как и исходная неионная смесь.
Ионные ПАВ склонны к ассоциации с незаряженными полимерами. Чем ниже полярность полимера, тем сильнее эта ассоциация. Для полимера вблизи точки помутнения, т.е. находящегося на грани растворимости в воде, процессы ассоциации усиливаются и приводят к сильному увеличению температуры помутнения. Такое ослабление склонности к фазовому разделению иллюстрирует рис. 5, из которого также видно, что даже очень небольшие концентрации электролита полностью изменяют поведение системы. Выше отмечалось, что в таких случаях полимер индуцирует мицеллообразование ПАВ с формированием комплексов полимер-ПАВ. При появлении заряда на молекулах полимера его растворимость увеличивается за счет проигрыша в энтропии при ограничении противоионов в объеме одной фазы. Этот эффект полностью нивелируется при введении небольших добавок электролита и сопровождается резким снижением температуры помутнения.
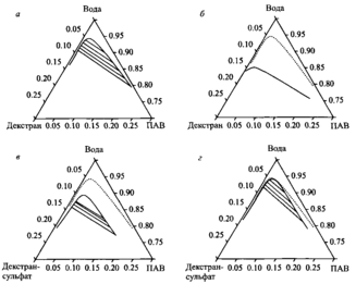
Рис. 4. Влияние введения заряженных групп в неионные полимеры и НПАВ на фазовое поведение смесей на примере декстрана и полиоксиэтилированного ПАВ. Система сравнения (а). Введение в мицеллы НПАВ небольшого количества ионных ПАВ (б) или введение небольшого количества сульфатных групп в молекулы декстрана (в) приводит к заметному усилению взаимной смешиваемости. Этот эффект можно устранить введением электролита (г) или введением зарядов и в полимер, и в мицеллы. Выше кривых — зоны смешиваемости, ниже кривых система разделяется на две жидкие фазы (два раствора). Пунктирные линии показывают пределы смешиваемости системы сравнения
Смешанные ионные системы
Смеси двух противоположно заряженных полиэлектролитов характеризуются ярко выраженным ассоциативным поведением с сильной склонностью к разделению на фазы. Сильная ассоциация наблюдается и в смесях полиэлектролита с противоположно заряженным ПАВ. Величина KKM длинноцепочечных ПАВ при этом уменьшается на порядки (рис. 6). В системе происходит ассоциативное разделение на фазы (рис. 7). Водная смесь полиэлектролита и противоположно заряженного ПАВ разделяется на две фазы: разбавленный раствор и вязкую (обычно) фазу, обогащенную обоими компонентами.
Степень фазового разделения системы, представленной на рис. 7, сильно возрастает с увеличением длины алкильной цепи в молекулах ПАВ и молекулярной массы полимера. Введением электролита можно ингибировать фазовое разделение, но при повышении концентрации электролита фазовое разделение происходит вновь, но уже по другому механизму (рис. 8). Данное явление аналогично наблюдаемому в смесях противоположно заряженных полимеров, его легче объяснить на основе представлений о несовместимости полимеров и электростатических эффектов. Концентрация противоионов очень высока, поэтому в отличие от систем с незаряженными полимерами, фазовое разделение системы, содержащей полиэлектролит, когда полиэлектролит концентрируется в одной из жидких фаз, ведет к пространственному ограничению противоионов и, как следствие, к очень сильному уменьшению энтропии. Именно поэтому полиэлектролиты намного лучше растворяются в воде, чем незаряженные полимеры. При высоких концентрациях электролита указанное изменение энтропии компенсируется, и фазовое разделение протекает по механизму, характерному для незаряженных полимеров. На рис. 8 представлена типичная сегрегативная система, что видно из фазовой диаграммы при высоких концентрациях электролита.
Рис. 5. Введение ионного ПАВ в раствор (0.9 мас.%) полимера, обладающего точкой помутнения (гидроксиэтилэтилцеллюлоза) приводит к повышению точки помутнения в отсутствие электролита и к понижению точки помутнения в присутствии небольших концентраций электролита. Влияние на точку помутнения добавок ДСН показано в отсутствии электролита и в присутствии разных количеств NaCl; сверху вниз кривые соответствуют 0, 0.01, 0.02, 0.04 и 0.10 мас.% соли
Рис. 6. Зависимости логарифмов KKA и KKM от числа атомов углерода пс в алкильной цепи. Величина KKA ионного ПАВ в смеси с полимером, несущим противоположный заряд, обычно на порядки меньше значений KKM. Приведены зависимости KKA и KKM бромидов алкилтриметиламмо-ния в присутствии анионного полисахарида и гиалуроната натрия
Рис. 7. Смесь ионного ПАВ и противоположно заряженного полиэлектролита обычно характеризуется ассоциативным типом фазового разделения. Приведена фазовая диаграмма смеси бромида тетрадецилтриметиламмония с гиалуронатом натрия в воде
Ассоциативный механизм фазового разделения при низком содержании солей также можно понять, исходя из энтропии распределения противоионов. На поверхности сильно заряженных мицелл ПАВ и вблизи заряженных групп молекул полиэлектролита концентрация противоионов возрастает за счет электростатических взаимодействий. При ассоциации компонентов их противоионы переходят в раствор, что сопровождается выигрышем энтропии. Именно поэтому системы склонны к фазовому разделению по ассоциативному механизму в отсутствие электролита.
Если в такой системе заменить ПАВ на другое, молекулы которого несут одноименный с полиэлектролитом заряд, проигрыш в энтропии существенно уменьшается, поэтому механизм фазового разделения изменяется на сегрегативный (рис. 9). При высоких концентрациях солей фазовое разделение усиливается, что можно объяснить ростом мицелл додецилсульфата натрия.
Рис. 8. Фазовые диаграммы смесей полиэлектролита с противоположно заряженным ПАВ. По мере добавления электролита сначала происходит фазовое разделение по ассоциативному механизму, затем система становится устойчивой к фазовому разделению и, наконец, наблюдается фазовое разделение по сегрегативному механизму. Данные приведены для смесей катионного ПАВ бромида тетрадецилтриметиламмония и анионного полисахарида гиалуроната натрия
Характеристики
Тип файла документ
Документы такого типа открываются такими программами, как Microsoft Office Word на компьютерах Windows, Apple Pages на компьютерах Mac, Open Office - бесплатная альтернатива на различных платформах, в том числе Linux. Наиболее простым и современным решением будут Google документы, так как открываются онлайн без скачивания прямо в браузере на любой платформе. Существуют российские качественные аналоги, например от Яндекса.
Будьте внимательны на мобильных устройствах, так как там используются упрощённый функционал даже в официальном приложении от Microsoft, поэтому для просмотра скачивайте PDF-версию. А если нужно редактировать файл, то используйте оригинальный файл.
Файлы такого типа обычно разбиты на страницы, а текст может быть форматированным (жирный, курсив, выбор шрифта, таблицы и т.п.), а также в него можно добавлять изображения. Формат идеально подходит для рефератов, докладов и РПЗ курсовых проектов, которые необходимо распечатать. Кстати перед печатью также сохраняйте файл в PDF, так как принтер может начудить со шрифтами.
















