165750 (582559)
Текст из файла
Действие озона на насыщенные полимеры
Действие озона на полимеры и связанное с ним изменение свойств полимерных материалов интенсивно изучаются, особенно в последние годы [1–5]. Это обусловлено стремлением изменить свойства традиционных материалов, расширить области применения последних и улучшить эксплуатационные характеристики изделий из полимеров. Кроме того, значительное увеличение концентрации агрессивных примесей в атмосфере и в средах, где работают полимеры, заставляет задумываться над проблемами защиты полимерных материалов от действия этих сред. В частности, оказалось, что ускоренное старение и пробой диэлектриков, используемых в конденсаторах, кабелях и других электрических устройствах, в значительной мере связаны с образованием озона из атмосферного кислорода под действием переменного электрического поля.
Рис. 1 Рис. 2
Рис. 1. Изменение относительной адгезии красителя А к ПЭ-пленке при обработке ее пламенем горелки (1) и барьерным разрядом (2). Цифры на оси ординат соответствуют следующим техническим требованиям: 1 – плохо, 2 – недостаточно, 3 – удовлетворительно, 4 – хорошо, 5 – отлично. В-удельный расход энергии, V – расход пропана
Рис. 2. Зависимости диэлектрической проницаемости е (I) и тангенса диэлектрических потерь tg б (II) от температуры для пленки ПВХ: 1 – контрольный образец, 2 – образец, выдержанный 7 ч в атмосфере озона
Сообщалось, что озон и другие окисляющие компоненты загрязненной атмосферы промышленных центров могут быть инициаторами ускоренного фотохимического разрушения изделий из ударопрочного ПС [6]. Долговечность пластиков, используемых в технике, снижается, а ползучесть увеличивается под действием атмосферного озона [7]. Особенно быстро разрушается поверхность пластиков, что ухудшает внешний вид изделий из полимеров.
Большим недостатком широко распространенных карбоцепных полимеров, таких как ПЭ и ПП, является малое поверхностное натяжение и как результат плохая адгезия к металлам, красителям и другим материалам. Обработка в коронном или барьерном разряде или просто обдувание озоно-воздушной смесью позволяют значительно увеличить адгезию (рис. 1) [13].
Рис. 3. Изменение молекулярной массы ПС во времени в процессе его взаимодействия с озоном (СС14, 20°)
Рис. 4. ИК-спектры ПС до (1) и после обработки озоном в течение 70 мин при [О3]=1–10-4 моль/л (2) и 20 мин при [Оз]=1–10-3 моль/л (3)
Обработка в барьерном разряде применяется часто перед нанесением на ПЭ-пленку художественной отделки [14]. Считают, что озон является основным (хотя и не единственным) действующим началом при обработке пленки в разряде [15]. Наряду с увеличением поверхностного натяжения заметно меняется ряд других поверхностных свойств – гидрофильность, число межмолекулярных связей, устойчивость к растрескиванию [16].
На рис. 2 приведены зависимости диэлектрической проницаемости и тангенса диэлектрических потерь от температуры для пленки ПВХ до и после обработки ее озоном, которые обусловлены изменением дипольно-сегментальной подвижности [17].
В некоторых случаях под действием озона могут изменяться и основные механические свойства материала.
Озон используют для отбелки целлюлозы [9], модификации лигнина [18], разрушения водорастворимых полимеров в воде, например полиакриламида [19]. Было показано, что предварительная обработка поверхности самых различных полимеров (капрона, лавсана, крахмала и др.) озоном создает благоприятные условия для последующей прививки виниловых мономеров к поверхности [11].
Реакции макромолекулы с озоном сопровождаются образованием различных функциональных групп – карбонильных, карбоксильных, гидроксильных, перекисных и др., которые затем могут быть использованы для присоединения к макромолекуле спиновых меток, антиоксидантов, бактерицидных агентов [1].
При действии озона на растворы полимеров обычно наблюдается уменьшение ММ (рис. 3) и накопление кислородсодержащих функциональных групп (образование кислот, кетонов, перекисей и др.) [20]. Деструкция протекает легко при умеренных температурах, в том числе и при температуре ниже 0°, и обусловлена высокой реакционной способностью озона. Сопоставление числа прореагировавших молекул озона с числом разрывов цепи показывает, что число разрывов, приходящееся на один акт реакции, в начальные периоды опыта сохраняется постоянным и зависит от строения полимера. В табл. 1 приведены значения констант скорости и числа разрывов цепи на один акт реакции для различных полимеров [20].
Медленнее всего реагируют с озоном полимеры, содержащие фенильные циклы в основной цепи, в то время как полициклические полимеры (полинафтилены, полиантрацены) или полимеры с гетероатомами (поли карбонаты) вступают в реакцию значительно легче. В ряду полимеров с насыщенной углеводородной цепью скорость реакции возрастает при переходе от ПИБ к поливинилциклогексану (ПВЦ), одновременно наблюдается уменьшение числа разрывов цепи. Самая большая константа скорости у полибутадиена и полиизопрена и у них же наименьшее число разрывов на один акт реакции. Определение констант скорости реакций соединений, приведенных в табл. 1, проводилось в барботажном реакторе, как описано в работах [21, 22]. Механизм реакции озона с макромолекулами полимерного соединения удобно рассмотреть на примере ПС [23–26]. При действии озона на порошок ПС существенно изменяется его внешний вид и свойства. Полимер приобретает желтую окраску, пленки, полученные из него, становятся хрупкими и непрозрачными, ухудшаются диэлектрические свойства. Реакция сопровождается накоплением функциональных групп (карбонильных, перекисных и карбоксильных), характерных для окислительных процессов вообще.
Рис. 5. ЭПР-спектры образцов ПС, обработанных озоном в течение 1 (1) и 6 мин (2) и через 30 мин после прекращения подачи озона (3)
Рис. 6. Характер изменения концентрации R02 » при озонировании порошка ПС ([Оз]=1,74–10-4 моль/кг, поверхность образца 6 м2/г)
Анализ ИК-спектров показал, что состав функциональных групп не изменяется при проведении реакции как с твердым ПС, так и с его растворами в СС14 [27]. Максимум поглощения при 1740 см-1 обусловлен валентными колебаниями С=0-групп (кетоны), которые входят в состав макромолекулы и не удаляются при переосаждении (рис. 4). Природа этих карбонильных соединений установлена по их способности реагировать с гидроксиламином. Обработка озонированного порошка ПС спиртовым раствором солянокислого гидроксиламина приводит к исчезновению при 1740 см-1 максимума и появлению новой полосы при 1680 см-1 (окси-мы). По измерениям, сделанным в работе [1], альдегиды окисляются в 100 раз легче кетонов или СН2-групп, поэтому их присутствие в продуктах реакции маловероятно.
В ходе реакции при больших степенях конверсии становится заметным расходование фенильных циклов (уменьшается интенсивность полосы при – v=1500 см-1) и третичных СН-групп [28]. Судя по сохранению неизменной интенсивности полос поглощения при v=700 и 2930 см-1, соответствующих деформационным и валентным колебаниям СН2-групп,
в начальном периоде реакции они не расходуются –.
Значительные изменения в спектре наблюдаются и в области 1000-
1200 см-1. Уменьшение числа разрешенных полос и общее увеличение интенсивности поглощения свидетельствуют о нарушении симметрии молекул озонированного ПС. Это можно объяснить структурированием вследствие сшивания отдельных цепей при озонировании. Наличие сшивания подтверждается также и тем, что после озонирования значительная часть полимера утрачивает способность растворяться и образует гели.
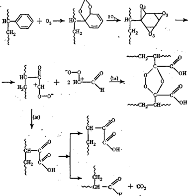
Первичная атака ПС озоном может протекать по трем различным на правлениям.
Реакция (1) приводит к образованию ароматических озонидов, которые составляют основную долю перекисных соединений. По данным ИК-спектроскопии можно оценить их долю, которая составляет 10–15% в расчете на прореагировавший ПС. Промежуточные стадии реакции ответственны за сложные зависимости изменения вязкости растворов во времени при озонировании.
Присоединение первой молекулы озона к ароматическому циклу нарушает сопряжение и значительно облегчает присоединение двух следующих молекул. Первичные озониды нестабильны и легко распадаются на фрагменты, которые быстро соединяются вновь, изменив на 180° пространственную ориентацию (реакция (1а)), либо изомеризуются (реакция (16)). На схеме реакция (1а) приведена условно, демонстрируется та ее часть, которая приводит к появлению сшивок.
Проведение опыта непосредственно в резонаторе ЭПР-спектрометра позволило зафиксировать в продуктах реакции свободные радикалы (рис. 5), причем при непрерывной подаче озона наблюдается спектр пероксирадикалов [29], который после прекращения подачи озона трансформируется в симметричный синглет (g=2,0014). Последний весьма устойчив и сохраняется неопределенно долго. Интенсивность этого сигнала составляет 0,3–0,5 от исходного пероксирадикала. Длительная (20 мин) реакция ПС с озоном сопровождается наложением синглета на сигнал перокси-радикала. Интерпретация синглета затрудняется отсутствием близких аналогов, но можно предположить, что это либо ЭПР-спектр ароматической полисопряженной системы типа полифенилацетилена, либо сложный семихиноидный или феноксильный радикалы.
На рис. 6 приведена зависимость изменения концентрации пероксирадикалов от времени [26]. Снижение стационарной концентрации перекисных радикалов при больших временах обработки обусловлено расходованием реакционноспособных третичных СН-групп при обработке порошка озоном.
Увеличение концентрации радикалов в начальном периоде, по-видимому, связано с образованием в системе одного или нескольких промежуточных продуктов, которые реагируют с озоном легче, чем исходный ПС. На рис. 7 представлены результаты исследования зависимостей концентрации озона при выходе из реактора и накопления стабильных конечных продуктов от времени [30]. Видно, что по мере протекания реакции скорость поглощения озона вначале возрастает, а затем уменьшается. Минимум на кривой [Оз]в – t отвечает максимуму на кривой [R02] – t (рис. 6). Вос-> ходящая ветвь зависимости [03] в – t (рис. 7, а) спрямляется в полулогарифмических координатах (первый порядок расходования третичных С–Н-связей), что тоже соответствует сказанному выше. Природа промежуточного продукта, способного эффективно образовывать радикалы, неясна, поскольку на кривой накопления основных функциональных групп сходных изменений обнаружить не удалось. Расход озона на образование 1 моля функциональных групп составляет 1,4±0,3 моля.
Характеристики
Тип файла документ
Документы такого типа открываются такими программами, как Microsoft Office Word на компьютерах Windows, Apple Pages на компьютерах Mac, Open Office - бесплатная альтернатива на различных платформах, в том числе Linux. Наиболее простым и современным решением будут Google документы, так как открываются онлайн без скачивания прямо в браузере на любой платформе. Существуют российские качественные аналоги, например от Яндекса.
Будьте внимательны на мобильных устройствах, так как там используются упрощённый функционал даже в официальном приложении от Microsoft, поэтому для просмотра скачивайте PDF-версию. А если нужно редактировать файл, то используйте оригинальный файл.
Файлы такого типа обычно разбиты на страницы, а текст может быть форматированным (жирный, курсив, выбор шрифта, таблицы и т.п.), а также в него можно добавлять изображения. Формат идеально подходит для рефератов, докладов и РПЗ курсовых проектов, которые необходимо распечатать. Кстати перед печатью также сохраняйте файл в PDF, так как принтер может начудить со шрифтами.
















