165727 (582556)
Текст из файла
ГАЗОАНАЛИЗАТОРЫ, приборы, измеряющие содержание (концентрацию) одного или нескольких компонентов в газовых смесях. Каждый газоанализатор предназначен для измерения концентрации только определенных компонентов на фоне конкретной газовой смеси в нормированных условиях. Наряду с использованием отдельных газоанализаторов создаются системы газового контроля, объединяющие десятки таких приборов. В большинстве случаев работа газоанализаторов невозможна без ряда вспомогательных устройств, обеспечивающих создание необходимых титры и давления, очистку газовой смеси от пыли и смол, а в ряде случаев и от некоторых мешающих измерениям компонентов и агрессивных веществ. Газоанализаторов классифицируют по принципу действия на пневматические, магнитные, электрохимические, полупроводниковые и др. Ниже излагаются физические основы и области применения наиболее распространенных газоанализаторов.
Термокондуктометрические газоанализаторы. Их действие основано на зависимости теплопроводности газовой смеси от ее состава. Для большинства практически важных случаев справедливо уравнение:
Где теплопроводность смеси, - теплопроводность i - того компонента, Ci - eгo концентрация, n-число компонентов.
Термокондуктометрические газоанализаторы не обладают высокой избирательностью и используются, если контролируемый компонент по теплопроводности существенно отличается от остальных, например для определения концентраций Н2, Не, Аг, СО2 в газовых смесях, содержащих N2, О2 и др. Диапазон измерения - от единиц до десятков процентов по объему.
Изменение состава газовой смеси приводит к изменению ее теплопроводности и, как следствие, титры и электрическое сопротивления нагреваемого током металлического или полупроводникового терморезистора, размещенного в камере, через которую пропускается смесь. При этом:
где a-конструктивный параметр камеры, R1 и R2 - сопротивление терморезистора в случае пропускания через него тока I при теплопроводности газовой среды соответствует и, температурный коэффициент электрического сопротивления терморезистора.
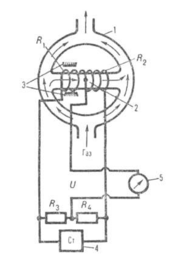
Рис.1. Термокондуктометрический газоанализатор: 1 - источник стабилизированного напряжения; 2-вторичный прибор; R1 и R3 - рабочие терморезисторы; R2 и R4 - сравнительные терморезисторы; R0 и потенциометры; вход и выход анализируемой газовой смеси показаны стрелками.
На рис.1 приведена схема, применяемая во многих Термокондуктометрических газоанализаторах. Чувствительные элементы R1 и R3 (рабочие терморезисторы) омываются анализируемой смесью; сравнительные терморезисторы R2 и R4 помещены в герметичные ячейки, заполненные сравнительным газом точно известного состава. Потенциометры R0 и предназначены для установки нулевых показаний и регулировки диапазона измерения. Мера концентрации определяемого компонента - электрический ток, проходящий через, который измеряется вторичным (т.е. показывающим или регистрирующим) прибором. Термокондуктометрические газоанализаторы широко применяют для контроля процессов в производстве H2SO4, NH3, HNO3, в металлургии и др.
Термохимические газоанализаторы. В этих приборах измеряют тепловой эффект химической реакции, в которой участвует определяемый компонент. В большинстве случаев используется окисление компонента кислородом воздуха; катализаторы - марганцевомедный (гопкалит) или мелкодисперсная Pt, нанесенная на поверхность пористого носителя. Изменение титры при окислении измеряют с помощью металлического или полупроводникового терморезистора. В ряде случаев поверхность платинового терморезистора используют как катализатор. Величина связана с числом молей М окислившегося компонента и тепловым эффектом соотношением:, где kо коэффициент, учитывающий потери тепла, зависящие от конструкции прибора.
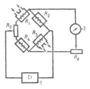
Схема (рис.2) включает измерительный мост с постоянными резисторами (R1 и R4) и двумя терморезисторами, один из которых (R2) находится в атмосфере сравнительного газа, а второй (R3) омывается потоком анализируемого газа. Напряжение Uвых в диагонали моста пропорционально концентрации определяемого компонента. Для устойчивой работы газоанализаторы исключают влияние титры среды (термостатированием или термокомпенсацией), стабилизируют напряжение, поддерживают постоянным расход газа, очищают его от примесей, отравляющих катализатор (С12, НС1, H2S, SO2 и др.).
Рис.2. Термохимический газоанализатор: 1 - источник стабилизированного напряжения; 2-вторичный прибор; R1 и R4 - постоянные резисторы; R2 и R3-соотв, сравнительный и рабочий терморезисторы.
Большинство термохимических газоанализаторов используют в качестве газосигнализаторов горючих газов и паров (Н2, углеводороды и др.) в воздухе при содержании 20% от их нижних КПВ, а также при электролизе воды для определения примесей водорода в кислороде (диапазон измерения 0,02-2%) и кислорода в водороде (0,01-1%).
Магнитные газоанализаторы. Применяют для определения О2. Их действие основано на зависимости магнитной восприимчивости газовой смеси от концентрации О2, объемная магнитная восприимчивость которого на два порядка больше, чем у большинства остальных газов. Такие газоанализаторы позволяют избирательно определять О2 в сложных газовых смесях. Диапазон измеряемых концентраций 10-2 - 100%. Наиболее распространены магнитомеханические и термомагнитные газоанализаторы.
В магнитомеханических газоанализаторах (рис.3) измеряют силы, действующие в неоднородном магнитном поле на помещенное в анализируемую смесь тело (обычно ротор). Сила F, выталкивающая тело из магнитного поля, определяется выражением:
Где объемная магнитная восприимчивость соответствует анализируемой смеси и тела, помещенного в газ, V-объем тела, H-напряженность магнитного поля. Обычно мерой концентрации компонента служит вращающий момент, находимый по углу поворота ротора. Показания магнитомеханического газоанализатора определяются магнитными свойствами анализируемой газовой смеси и зависят от титры и давления, поскольку последние влияют на объемную магнитною восприимчивость газа.
Более точны газоанализаторы, выполненные по компенсационной схеме. В них момент вращения ротора, функционально связанный с концентрацией О2 в анализируемой смеси, уравновешивается известным моментом, для создания которого используются магнитоэлектрической или электростатической системы. Роторные газоанализаторы ненадежны в промышленных условиях, их сложно юстировать.
Рис.3. Магнитомеханический газоанализатор: 1-ротор; 2-полюсы магнита; 3-растяжка; 4-зеркальце; 5-осветитель; 6-шкала вторичного прибора.
Действие термомагнитных газоанализаторов основано на термомагнитной конвекции газовой смеси, содержащей О2, в неоднородных магнитном и температурном полях. Часто применяют приборы с кольцевой камерой (рис.4), которая представляет собой полое металлическое кольцо. Вдоль его диаметра установлена тонкостенная стеклянная трубка, на которую намотана платиновая спираль, нагреваемая электрическим током. Спираль состоит из двух секций - R1 и R2, первая из которых помещается между полюсами магнита. При наличии в газовой смеси О2 часть потока направляется через диаметральный канал, охлаждая первую секцию платиновой спирали и отдавая часть тепла второй. Изменение сопротивлений R1 и R2 вызывает изменение выходного напряжения U, пропорциональное содержанию О2 в анализируемой смеси.
Рис.4. Термомагнитный газоанализатор: 1 - кольцевая камера; 2-стеклянная трубка; 3-постоянный магнит; 4-источник стабилизированного напряжения; 5-вторичный прибор; Rt и R2 - соответственно рабочий и сравнительные терморезисторы (секции платиновой спирали); R3 и R4 - постоянные резисторы.
Пневматические газоанализаторы. Их действие основано на зависимости плотности и вязкости газовой смеси от ее состава. Изменения плотности и вязкости определяют, измеряя гидромеханические параметры потока. Распространены пневматические газоанализаторы трех типов.
Газоанализаторы с дроссельными преобразователями измеряют гидравлическое сопротивление дросселя (капилляра) при пропускании через него анализируемого газа. При постоянном расходе газа перепад давления на дросселе - функция плотности (турбулентный дроссель), вязкости (ламинарный дроссель) или того и другого параметра одновременно.
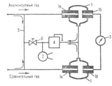
Струйные газоанализаторы измеряют, динамический напор струи газа, вытекающего из сопла. Содержат два струйных элемента типа "сопло - приемный канал" (рис.5). Для подачи анализируемого и сравнительных газов служит эжектор 2. Давление на выходе из элементов поддерживается регулятором 4. Равенство давлений газов на входе в элементы обеспечивается, соединительным каналом 5 и настройкой вентиля 6. Разница динамических давлений (напоров), воспринимаемых трубками 1б, - функция отношения и мера концентрации определяемого компонента газовой смеси. Струйные газоанализаторы используют, например, в азотной промышленности для измерения содержания Н2 в азоте (диапазон измерения 0-50%), в хлорной промышленности - для определения С12 (0-50 и 50-100%). Время установления показаний этих газоанализаторов не превышает нескольких секунд, поэтому их применяют также в газосигнализаторах довзрывных концентраций газов и паров некоторых веществ (например, дихлорэтана, винилхлорида) в воздухе промышленных помещений.
Рис.5. Пневматический струйный газоанализатор: 1 - элемент "сопло - приемный канал"; 1а-сопло; 1б-приемная трубка; 2-эжсктор; 3-вторичный прибор; 4 - регулятор давления; 5 - соединит, канал; 6-вентиль.
Пневмоакустические газоанализаторы содержат два свистка (Рис.6) с близкими частотами (3-5 кГц), через один из которых проходит анализируемый газ, через второй - сравнительный. Частота биений звуковых колебаний в смесителе частот зависит от плотности анализируемого газа. Биения (частота до 120 Гц) усиливаются и преобразуются в пневматические колебания усилителем. Для получения выходного сигнала (давления) служит частотно-аналоговый преобразователь.
Рис.6. Пневмоакустический газоанализатор: 1 - свисток; 2-смеситель частот; 3 - усилитель - преобразователь; 4 - частотно-аналоговый преобразователь; 5-вторичный прибор.
Пневматические газоанализаторы не обладают высокой избирательностью. Они пригодны для анализа смесей, в которых изменяется концентрация только одного из компонентов, а соотношение между концентрациями других остается постоянным. Диапазон измерения - от единиц до десятков процентов. Пневматические газоанализаторы не содержат электрических элементов и поэтому могут использоваться в помещениях любой категории пожаро- и взрывоопасности. Элементы схемы, контактирующие с газами, выполнены из стекла и фторопласта, что позволяет анализировать весьма агрессивные газы (хлор-, серосодержащие и др.).
Инфракрасные газоанализаторы. Их действие основано на избирательном. поглощении молекулами газов и паров ИК - излучения в диапазоне 1-15 мкм. Это излучение поглощают все газы, молекулы которых состоят не менее чем из двух различных атомов. Высокая специфичность молекулярных спектров поглощения различных газов обусловливает высокую избирательность таких газоанализаторов и их широкое применение в лабораториях и промышленности. Диапазон измеряемых концентраций 10-3 - 100%. В дисперсионных газоанализаторах используют излучение одной длины волны, полученное с помощью монохроматоров (призмы, дифракционной решетки). В недисперсионных газоанализаторах, благодаря особенностям оптической схемы прибора (применению светофильтров, специальных приемников излучения и т.д.), используют немонохроматическое излучение. В качестве примера на рис.7 приведена. Наиболее распространенная схема такого газоанализатора. Излучение от источника последовательно проходит через светофильтр и рабочую кювету, в которую подается анализируемая смесь, и попадает в специальный приемник. Если в анализируемой смеси присутствует определяемый компонент, то в зависимости от концентрации он поглощает часть излучения, и регистрируемый сигнал пропорционально изменяется. Источником излучения обычно служит нагретая спираль с широким спектром излучения, реже - ИК-лазер или светодиод, испускающие излучение в узкой области спектра. Если используется источник немонохроматического излучения, избирательность определения достигается с помощью селективного приемника.
Рис.7. Недисперсионный инфракрасный газоанализатор: 1-источник излучения; 2-светофильтр; 3-модулятор; 4 и 4'-соотв. рабочая и сравнит. (внизу) кюветы; 5-приемник излучения; 6-усилитель; 7-вторичный прибор.
Наиболее распространены газоанализаторы с газонаполненным оптико-акустическим приемником. Последний представляет собой герметичную камеру с окном, заполненную именно тем газом, содержание которого нужно измерить. Этот газ, поглощая из потока излучения определенную часть с характерным для данного газа набором спектральных линий, нагревается, вследствие чего давление в камере увеличивается. Посредством механического модулятора поток излучения прерывается с определенной частотой. В результате с этой же частотой пульсирует давление газа в приемнике. Амплитуда пульсации давления - мера интенсивности поглощенного газом излучения, зависящая от того, какая часть характерного излучения поглощается тем же газом в рабочей кювете. Другие компоненты смеси излучение на этих длинах волн не поглощают. Т. обр., амплитуда пульсации давления в приемнике излучения - мера количества определяемого компонента в анализируемой смеси, проходящей через рабочую кювету. Изменение давления измеряют обычно конденсаторным микрофоном или микроанемометром (датчиком расхода газа). Заменяя газ в приемнике излучения оптико - акустического газоанализатора, можно избирательно измерять содержание различных компонентов смесей.
В инфракрасных газоанализаторах используют также неселективные приемники излучения - болометры, термобатареи, полупроводниковые элементы. Тогда в случае источников с широким спектром излучения избирательность определения обеспечивают применением интерференционных и газовых фильтров. Для повышения точности и стабильности измерения часть потока излучения
Характеристики
Тип файла документ
Документы такого типа открываются такими программами, как Microsoft Office Word на компьютерах Windows, Apple Pages на компьютерах Mac, Open Office - бесплатная альтернатива на различных платформах, в том числе Linux. Наиболее простым и современным решением будут Google документы, так как открываются онлайн без скачивания прямо в браузере на любой платформе. Существуют российские качественные аналоги, например от Яндекса.
Будьте внимательны на мобильных устройствах, так как там используются упрощённый функционал даже в официальном приложении от Microsoft, поэтому для просмотра скачивайте PDF-версию. А если нужно редактировать файл, то используйте оригинальный файл.
Файлы такого типа обычно разбиты на страницы, а текст может быть форматированным (жирный, курсив, выбор шрифта, таблицы и т.п.), а также в него можно добавлять изображения. Формат идеально подходит для рефератов, докладов и РПЗ курсовых проектов, которые необходимо распечатать. Кстати перед печатью также сохраняйте файл в PDF, так как принтер может начудить со шрифтами.















