163143 (582174)
Текст из файла
Содержание
1. Средние цены и обобщающий уровень цен
2. Индексный метод в анализе конъюнктуры
3. Индексы товарной биржи
4. Индексы фондового рынка
5. Методы исследования отраслевой структуры рынка
Литература
-  
Средние цены и обобщающий уровень цен
 
Существуют две основные концепции регистрации цен. В условиях политики стабильных цен применялся сплошной учет, с переходом к рынку в нашей стране в основном стал использоваться выборочный метод регистрации цен, как и в международной практике. Основные принципы выборочной системы регистрации цен:
• отказ от массового документированного учета, практически невозможного в условиях различных форм собственности, а следовательно, отказ от сплошного учета и переход к использованию выборочного метода;
• полный охват всех форм и видов торговли;
• формирование потребительской корзинки, то есть набора товаров-представителей.
Оценка уровня цен — первый этап в статистическом изучении цен.
Уровень цен — обобщающий показатель, характеризующий состояние цен за определенный период времени, на определенной территории, по совокупности товаров и товарных видов с близкими потребительскими свойствами '.
Можно оценить индивидуальный, средний и обобщающий уровень цен.
Индивидуальный уровень цены — это абсолютная величина — сумма денег, уплачиваемая на рынке за товарную единицу.
Для совокупности однородных товаров на основании индивидуальных цен можно рассчитать средний уровень цен, который будет выступать в качестве обобщенной характеристики для данной товарной группы.
Выбор формулы расчета средней цены зависит от наличия имеющейся дополнительной информации. Формула простой средней почти не находит применения, так как при этом не учитываются различия в составе товара. Для расчета средней цены применяются приведенные ниже формулы.
Средняя хронологическая
 
 
где t — число месяцев в периоде.
Применяется в том случае, если моменты регистрации цен равно удалены друг от друга, например фиксированы данные на начало каждого месяца. Формула находит свое применение в основном при расчете средней за год или полугодие.
-  
Средняя хронологическая взвешенная
 
 
 
Данная формула применяется в том случае, если даты регистрации цен расположены неравномерно.
3. Средняя арифметическая взвешенная
Формула применяется в том случае, если регистрируется количество проданных товаров или процентные соотношения количества проданных товаров:
 
 
где Q — количество проданных товаров в натуральных единицах измерения (метры, литры, килограммы и т. п.).
4. Средняя гармоническая взвешенная
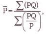
Данная формула применяется в том случае, если известны обороты в рублях (товарооборот), соответствующие разным уровням цен, то есть в качестве весов используется стоимостный показатель:
 
 
где PQ — товарооборот в рублях.
Чтобы устранить влияние сезонности, изменения ассортимента,, географии продаж на изменение средних цен, нужно брать постоянные веса:
 
 
Рост средних цен за счет улучшения качества и ассортимента товаров нельзя рассматривать как удорожающий фактор. Его следует рассматривать как фактор реального улучшения качества товаров.
С помощью оценки уровня цен кроме определения состояния цен, дифференциации их уровня изучают закономерности поведения рыночных цен, взаимное влияние уровней цен различных товаров, соотношения цен.
В качестве обобщающего уровня цен рассматривается показатель стоимости фиксированной потребительской корзинки, который объединяет различные уровни цен в качественно новый обобщающий уровень цен. Данный показатель будет характеризовать не только обобщающую цену фиксированного набора товаров, но и «цену жизни», в этом своем качестве он также активно используется в статистике цен.
Показатель уровня цены может быть рассчитан как относительная величина, выражающая покупательную способность денежного дохода потребителей (по отдельным социальным группам, в целом по стране или по отдельным регионам):
-  
отношение цены (индивидуальной или средней) к среднему денежному доходу населения;
 -  
отношение стоимости потребительской корзины к среднему денежному доходу населения.
 
Относительный уровень цены обеспечивает дифференцированную характеристику уровня цен и международные сравнения.
2. Индексный метод в анализе конъюнктуры
Исчисление средних цен имеет смысл только для групп однородных товаров, если же группа товаров неоднородна (например, группа продовольственных товаров), тогда для оценки динамики цен используют индексы.
Сравнение цен одного товара осуществляется с помощью индивидуального индекса цен.
 
 
Основной формой индекса цен для совокупности разнородных товаров является агрегатный индекс.
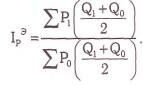
В экономической литературе считается, что первый индекс цен был построен итальянским экономистом Карли в 1764 г. Этот индекс был построен по среднеарифметической формуле без применения какой-либо системы взвешивания. В XIX веке при построении индексов цен, в основном по агрегатной или соответствующей ей среднеарифметической формуле, статистики начинают использовать систему взвешивания. В зависимости от выбора базисных или текущих весов возникли две формулы: Ласпейреса (1871 г.) и Пааше (1874 г.). Более широкое практическое применение находят две другие их формы: в формуле Ласпейреса — средняя арифметическая форма, в формуле Пааше — средняя гармоническая, которые отражены в табл. 1
Таблица 1. Агрегатные, арифметические и гармонические формы индексов цен
 
 
Преимущества агрегатной формы — в ее ясном экономическом смысле. Она устанавливает изменение цен при предположении, что количества товаров неизменны, при этом в формуле Ласпейреса берется количество проданного товара в базисном периоде (Q0), а в формуле Пааше — в текущем (Q,).
Среднеарифметическая форма не имеет такого ясного экономического смысла, но ее преимущества состоят в том, что она позволяет более легко производить сам расчет индекса и облегчает последующие его перерасчеты. В частности, при расчете по среднеарифметической взвешенной формуле с базисными весами (формула Ласпейреса) значительно легче установить веса, достаточно иметь данные о стоимости продаж указанных товаров в базисный период, то есть P0Q0
Поэтому индексы цен в большинстве развитых стран строятся по среднеарифметической взвешенной формуле Ласпейреса.
В отечественной статистике до 1992 г. общий индекс цен рассчитывался по формуле Пааше, используя гармоническую его форму. Связано это было с простотой получения данных о текущем товарообороте (PjQj) в связи со сплошной ежемесячной статистической отчетностью и незначительным изменением цен. Однако после 1992 г., когда был осуществлен переход к рыночным отношениям и принята новая методика расчета индекса потребительских цен, он стал рассчитываться так же, как и в большинстве стран, по формуле Ласпейреса.
Другой важный показатель — дефлятор валового национального продукта в большинстве стран рассчитывается по формуле Пааше, и тем самым расчет максимально приближен к совокупности товаров, произведенных в отчетном периоде.
В связи с расхождениями в результатах между индексами с текущими и базисными весами возникла теория о так называемых весовых отклонениях (weightbins). Суть ее сводится к утверждению, что использование и текущих и базисных весов ведет к отклонениям в величине индекса от его истинного значения, в первом случае в сторону понижения, а во втором — повышения. Поэтому задача теории индексов состоит в разработке таких формул индексов, которые ликвидировали бы эти отклонения и дали бы результаты, свободные от влияния использования весов за различные периоды.
Однако в данном случае рассматривается не экономическое содержание индексов, а определенные формальные требования к ним. С позиции экономического содержания одинаково правомерны индексы цен с использованием и базисных и текущих весов. Расхождения между их величинами не есть результат каких-то противоположных отклонений от единственно правильной величины. Правомерен и более высокий результат, полученный на основе формулы Ласпейреса, и более низкий результат, полученный по формуле Пааше, так как в обоих случаях измеряются два различных экономических явления, в первом случае — изменение цен товаров по структуре базисного, а во втором — текущего периода. Экономическое содержание обоих индексов различно, и поэтому должны быть различны их величины.
Тем не менее ряд экономистов попытались создать такие формы индексов, которые были бы «очищены» от подобных отклонений.
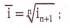
Так, например, индекс Фишера, который называют «идеальной» формулой, вычисляется как средняя геометрическая из индексов Ласпейреса и Пааше.
Или, например, формула Эджуорта—Маршалла-Боули, в которой в качестве весов используются средние количества проданной продукции за базисный и текущий периоды:
 
 
Однако все представленные формулы индексов для практических расчетов индексов цен применяются редко.
Индексы цен строятся на основе определенного товарного набора, который, в свою очередь, состоит из товаров-представителей, представляющих значительное число других товаров, не включенных в товарный набор. К цене каждого товара, включенного в индексный набор, приписывается не вес данного товара, а вес той товарной группы, изменение цен которой он представляет в индексе, за исключением тех товаров, которые представляют только самих себя. Эффективность системы представительных весов полностью определяется тем, насколько представителен сам товарный набор.
При расчете индекса необходимо решить вопрос о выборе базы для индекса цен. Под базой индекса цен, или, точнее, под базой для сравнения, понимается тот период, уровень цен которого принимается за исходный пункт сравнения, то есть за 100. В принципе при наличии готового индексного ряда любой период, охваченный им, может быть принят за базу — для этого достаточно значение индекса для других периодов разделить на значение индекса для этого периода.
-  
Индексы товарной биржи
 
Говоря о конъюнктуре товарных бирж, необходимо отметить, что она характеризуется комплексом показателей, связанных с функционированием самой товарной биржи. К ним относятся:
1) число, состав и размер бирж; 2) спрос и предложение на бирже; 3) товарооборот биржи; 4) деловая активность на биржевом рынке; 5) биржевые цены; 6) хеджирование; 7) эффективность биржевой деятельности, биржевая инфраструктура 1. Источниками информации для определения этих показателей является государственная статистическая отчетность, данные расчетной палаты, данные котировочной палаты, отчетность брокеров и т. п.
Биржевые индексы применяются для анализа деловой активности биржи. К индексам относятся индексы заявок на продажу и покупку, индексы среднего объема заявок, индексы оптового товарооборота, индексы биржевых цен.
Биржевые индексы оптового товарооборота определяются:
-  
по отдельному товару (товару-представителю) отдельного ассортимента, который рассчитывается как отношение количества продажи данного товара за отчетный период к количеству этого товара, проданному в базисном периоде, в натуральных единицах измерения:
 
Можно измерять динамику продажи к любому базисному периоду путем перемножения индексов за каждый последующий период после базисного. При этом следует следить за сопоставимостью периодов. Если вычисляются индексы за неравные промежутки времени, то возможно рассчитать средний дневной (месячный, квартальный и т. п.) индекс. В этих целях используется формула средней геометрической:
 
 
-  
по товару в целом, включая все виды и сорта. Существуют два типа индексов: а) количественный (отношение суммы количества товара всех видов и сортов в отчетном периоде к периоду базисному); б) стоимостный (сумма объем* продаж товаров в отчетном периоде к базисному, взвешенная по неизменным ценам — ценам базисного периода);
 -  
по различным видам товаров. Существует несколько разновидностей таких индексов: групповые (по совокупности товаров-представителей каждой товарной группы) и сводные (по совокупности товаров-представителей всех товарных групп) по отдельным биржам, группе бирж и в целом по биржам России. Групповые и сводные индексы рассчитываются по формуле Ласпейреса. Сводный индекс цен биржевой торговли представляет собой среднюю из групповых индексов цен, взвешенных по доле отобранных товарных групп в их общем объеме оборота по бирже в базисном периоде.
 
Уровни цен на биржах обычно стандартизированы. Минимальное изменение цены, которое носит название пункта, составляет для разных товаров различное значение, так в США: для зерновых — 0,25 цента за бушель, для бензина — 0,01 цента за галлон, для нефти — 1 цент за баррель и др.
Характеристики
Тип файла документ
Документы такого типа открываются такими программами, как Microsoft Office Word на компьютерах Windows, Apple Pages на компьютерах Mac, Open Office - бесплатная альтернатива на различных платформах, в том числе Linux. Наиболее простым и современным решением будут Google документы, так как открываются онлайн без скачивания прямо в браузере на любой платформе. Существуют российские качественные аналоги, например от Яндекса.
Будьте внимательны на мобильных устройствах, так как там используются упрощённый функционал даже в официальном приложении от Microsoft, поэтому для просмотра скачивайте PDF-версию. А если нужно редактировать файл, то используйте оригинальный файл.
Файлы такого типа обычно разбиты на страницы, а текст может быть форматированным (жирный, курсив, выбор шрифта, таблицы и т.п.), а также в него можно добавлять изображения. Формат идеально подходит для рефератов, докладов и РПЗ курсовых проектов, которые необходимо распечатать. Кстати перед печатью также сохраняйте файл в PDF, так как принтер может начудить со шрифтами.















