162167 (581857), страница 2
Текст из файла (страница 2)
К – купонная ставка.
Y =
13,5 тыс. руб.
2. Рассчитаем текущую стоимость бессрочных облигаций
PV обл=13,5/12 = 1,125 тыс. руб.
Задача 3
Рассчитайте текущую стоимость акции, используя данные таблицы для своего варианта.
| Показатель | Вариант №9 |
| Величина последнего выплаченного дивиденда, руб. | 725 |
| Темп прироста дивидендов, % | 8 |
| Рыночная норма доходности, % | 12 |
Решение:
-
Рассчитаем текущую стоимость акций по формуле:
P = D/i
где D – гарантированная величина дивиденда по акции,
i – рыночная норма доходности.
2. Рассчитаем величину дивиденда по формуле
D = D1
где D1 – величина последнего выплаченного девиденда
E – темп прироста девидендов
D =
= 58 руб.
P = 58/12 =4,8 руб.
Задача 5
Рассчитайте текущую цену купонной облигации, с выплатой доходов в течение периода обращения, используя данные таблицы для своего варианта.
| Показатель | Вариант №9 |
| Номинал облигации, тыс. руб. | 70 |
| Купонная ставка, % | 5 |
| Срок обращения, год | 10 |
| Рыночная норма доходности, % | 14 |
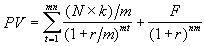
Текущая стоимость купонной облигации равна сумме текущей стоимости номинала, выплачиваемого в момент погашения, и текущей стоимости потока купонных выплат, производимых в конце каждого купонного периода.
Текущая стоимость номинала = N
K
Текущая стоимость номинала = 70
0,05
Текущая стоимость номинала =73,5 тыс. руб.
Текущая стоимость потока купонных выплат вычисляем по формуле
Определим современную (текущую) стоимость такого потока:
где F - сумма погашения (как правило - номинал, т.е. F = N); k - годовая ставка купона; r - рыночная ставка (норма дисконта); n - срок облигации; N - номинал; m - число купонных выплат в году.
PV =
= 73,5+1,44 = 74,94 тыс. руб.
Ответ: 74,94 тыс. руб.
Задача 6.
Определите доход коммерческого банка (КБ) и центрального банка (ЦБ) при учете векселей, используя данные таблицы для своего варианта.
| Показатель | Вариант №9 |
| Номинал векселя, тыс. руб. | 500 |
| Срок обращения, дни | 180 |
| Условия учета в КБ число дней до погашения учетная ставка | 140 15 |
| Условия учета в ЦБ число дней до погашения учетная ставка | 40 10 |
Доход по банковским векселям может выплачиваться или в виде процентов, или в виде дисконта.
Сумма процентов исчисляется на основании годовой процентной ставки и периода обращения векселя:
iB * t * PН , где
IB = 360 (365)
IB - доход, исчисленный по формуле обыкновенных (при временной базе 360 дней) или точных (при временной базе 365 дней) процентов;
iB - годовая процентная ставка;
t - число дней обращения векселя;
PH - номинал векселя;
360 (365) – число дней, принимаемых за временную базу при исчислении соответственно обыкновенных или точных процентов
Д =
тыс. руб.
Д =
тыс. руб.
4. Назначение вторичного рынка ценных бумаг:
а) получение эмитентом необходимых инвестиционных ресурсов;
-
б) поддерживать доверие инвесторов к рынку как инструменту вложения временно свободных денежных средств.
Вторичный рынок ценных бумаг имеет чрезвычайно важное значение для развития экономики любой страны. Именно он обеспечивает свободный перетек финансовых средств между хозяйствующими единицами. Эти бумаги фактически представляют резервный капитал фирмы и при недостатке финансовых средств она может продать часть ценных бумаг, которые имеются в ее активе, на вторичном рынке.
Перепродажа ценных бумаг на вторичном рынке не изменяет общий капитал хозяйственных субъектов, так как бумаги просто переходят от одного держателя к другому. Капитал - заемный или собственный - возрастает, когда фирмы осуществляют новые выпуски ценных бумаг. Таким образом, первичный рынок способствует росту капитала и рациональному распределению источников нового финансирования, а вторичный - обеспечивает гибкость и быстрому перемещению финансовых средств, существенно облегчая структурную реорганизацию экономики.
8. Тип ценных бумаг, в основе которых лежат имущественные права на какой-либо актив
-
а) первичные;
-
б) производные
в) государственные
г) эмиссионные.
Основные ценные бумаги – это ценные бумаги, в основе которых лежат имущественные права на какой-либо актив, как правило на товар, имущество, различного рода ресурсы, деньги, капитал.
Основные ценные бумаги, подразделяют на две подгруппы: первичные и вторичные ценные бумаги.
Первичные ценные бумаги основаны на активах, в число которых не входят сами ценные бумаги. Это, например, акции, облигации, векселя, закладные.
Вторичные ценные бумаги - это ценные бумаги, выпускаемые на основе первичных ценных бумаг; это ценные бумаги на сами ценные бумаги: варранты на ценные бумаги, депозитарные расписки.
Производная ценная бумага - это бездокументарная форма выражения имущественного права (обязательства), возникающего в связи с изменением цены лежащего в основе данной ценной бумаги биржевого актива. Если несколько упростить это определение и сделать его менее строгим, то можно было бы сказать, что производная ценная бумага – это ценная бумага на какой-либо ценовой актив: на цены товаров (обычно, биржевых товаров: зерна, мяса, нефти, золота и т.п.); на цены основных ценных бумаг (обычно, на индексы акций, на облигации); на цены кредитного рынка (процентные ставки); на цены валютного рынка (валютные курсы) и т.п.
К производным ценным бумагам относятся: фьючерсные контракты (товарные, валютные, процентные, индексные и др.) и свободнообращающиеся опционы. Под видом ценных бумаг будем понимать такую их совокупность, для которой все признаки, присущие ценным бумагам, являются общими, одинаковыми.
12. АО может самостоятельно вести и хранить реестр акционеров, если число акционеров (N):
а) 500 < N < 1000;
б) 1000 < N < 10000;
в) 10000 < N < 100000;
-
г) N< 500.
Если АО с числом акционеров более 50 обязано передать ведение реестра регистратору, то общество с меньшим числом акционеров вправе вести реестр самостоятельно или опять таки передать его специальному регистратору.
Акционерное общество, число акционеров в котором менее 50, для самостоятельного ведения реестра акционеров должно иметь в штате сотрудника с аттестатом ФКЦБ России на право осуществления регистраторской деятельности, приобрести сертифицированный программный продукт, разработать собственные правила ведения реестра.
16. Аваль – это
а) передаточная надпись;
-
б) поручительство об оплате 3-го лица;
в) дополнительный лист для индоссаментов;
г) согласие оплаты плательщиком.
Аваль (фр. aval) — поручительство по векселю или чеку; допускается для любого лица, кроме плательщика.
25. Виды профессиональной деятельности на рынке ценных бумаг, которые может осуществлять управляющая компания инвестиционного фонда.
а) дилерскую;
-
б) доверительное управление имуществом инвестиционного фонда;
в) доверительное управление имуществом негосударственного пенсионного фонда;
г) депозитарную.
Паевые инвестиционные фонды, вошедшие в российскую экономику в 1996 г., в настоящее время в соответствии с Федеральным законом № 156-ФЗ «Об инвестиционных фондах» представляют собой обособленный имущественный комплекс, состоящий из имущества, переданного в доверительное управление управляющей компании учредителем (учредителями) доверительного управления с условием объединения этого имущества с имуществом иных учредителей доверительного управления, и из имущества, полученного в процессе такого управления, доля в праве собственности на которое удостоверяется ценной бумагой, выдаваемой управляющей компанией. Паевой инвестиционный фонд не может быть юридическим лицом.
СПИСОК ИСПОЛЬЗУЕМОЙ ЛИТЕРАТУРЫ
-
Федеральный закон «О рынке ценных бумаг» от 22 апреля 1996 года №39-ФЗ// СПС Гарант. – 2007.- №15.
-
Временное положение о требованиях, предъявляемых к организаторам торговли на рынке ценных бумаг. Утверждено постановлением ФКЦБ от 19 декабря 1996 года № 23// СПС Гарант.- 2007.-№15.
3. Положение о лицензировании различных видов профессиональной деятельности на рынке ценных бумаг РФ. Утверждено постановлением ФКЦБ от 23 ноября 1998 года № 50// СПС Гарант.- 2007.- №15.
4.Алексеев М. Ю. Рынок ценных бумаг / М. Ю. Алекссев– М.: Финансы и статистика, 2004.- 491с.
5. Килячков А. Р., Чалдаева А. В. Профессиональная деятельность на рынке ценных бумаг// Финансы и бизнес. – 1997. - № 2.- с. 45- 51.
6. Маренков Н. Л. Ценные бумаги. / Н. Л. Маренков.– Ростов –н/Д: «Феникс», 2003.- 608с.
7.Рынок ценных бумаг/ под. ред. А. И. Басова, В. А. Галанова.- М.: Финансы и статистика, 2002.- 467с.
8.Семенкова Е. В. Операции с ценными бумагами/ Е. В. Семенкова – М.: Перспектива; ИНФРА-М, 2007. – 511с.
9.Фельдман А. А. Российский рынок ценных бумаг/ А. А. Фельдман – М.: Атлантика – Пресс, 2004.- 455с.
10. Фельдман А. А. Производные финансовые и товарные институты. Свопы и защита от кредитных рисков/ А. А. Фельдман.- М.: Полка букиниста, 2008.- 345с.















