151822 (580652), страница 2
Текст из файла (страница 2)
У сложных органических молекул в конденсированных средах вследствие внутри– и межмолекулярных взаимодействий возникает большая неопределенность энергий молекулярных орбиталей, электронные уровни становятся размытыми и перекрываются между собой (рис. 4), в результате чего возбужденный электрон быстро (~ за 1 пс) скатывается на нижний возбужденный уровень S1 (см. подпись к рис. 4), откуда он переходит в основное состояние либо путем безизлучательной тепловой релаксации, либо с излучением фотона флуоресценции. Энергия этих фотонов значительно меньше, чем у исходного, захваченного фотона, а излучаются они в направлении, перпендикулярном направлению перехода S0 → S1; за время жизни возбуждения (среднее время пребывания электрона на S1) молекула в растворе успевает повернуться на любой угол, поэтому направление движения и поляризация фотона флуоресценции могут быть любые, случайные, а спиновое состояние – как у электрона на S1 орбитали (как правило, совпадает с исходным). В результате резонансных взаимодействий фотона и электрона (захвата фотона молекулой) этот фотон исчезает. Вместо него может появиться новый фотон с меньшей энергией, произвольным направлением движения, поляризацией и спином (спин электрона может измениться в процессе релаксации), т.е. меняются ВСЕ фундаментальные свойства фотона или он вообще исчезает.
Рис. 6. Схема измерения коэффициентов и спектров поглощения пигментов в растворе.
Параллельный (сфокусированный) пучок фотонов, как правило, монохроматический с переменной длиной волны, пропускают через кювету с раствором пигмента. При прохождении через раствор пучок ослабляется, т.к. часть фотонов поглощается молекулами пигмента. Процесс поглощения описывается законом Бугера–Ламберта–Бера2.
Закон Бугера–Ламберта–Бера можно выразить следующими формулами:
T = I/I0 = 10–D; D = k()·L;
здесь I0 – интенсивность (мощность) входящего пучка фотонов, I – интенсивность (мощность) выходящего пучка, L – толщина слоя вещества, через которое проходит свет (длина оптического пути); T – [оптическое] пропускание; D – оптическая плотность; k(λ) – [десятичный] показатель поглощения, характеризующий свойства вещества и зависящий от длины волны (в вакууме) λ поглощаемого света. Эта зависимость называется спектром поглощения вещества.
Для растворов пигментов в непоглощающих растворителях k(λ) = ()·[C], где () – молярный коэффициент поглощения, [C] – концентрация растворенного вещества, моль/л.
Спектры k(λ), () и D() не зависят от концентрации. Спектр пропускания T(,C), наоборот, зависит, однако именно этот спектр, с учетом спектральной зависимости нашего субъективного восприятия, однозначно определяет цвет пигмента.
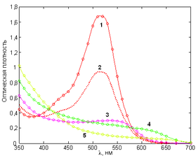
Рассмотрим связь поглощения и цвета на примере растворов растительного пигмента антоциана, который обуславливает окраску цветов и зрелых плодов и ягод. Спектры поглощения антоциана (точнее, смеси антоцианов) приведены на рис. 7.
Эксперимент выполнен ученицей 9б класса МОУ Лицея «Физико-техническая школа» (г. Обнинск) Юлией Дуфлот под руководством преподавателя химии высшей категории Е.В. Тетенькиной. Спектры измерены на спектрофотометре «Specord» (Германия). Математическая обработка (интерполирование, экстраполирование и сглаживание спектров) проведена в среде MatLab (MatLab®, the MathWorks, Inc.) автором, сотрудником ВНИИ СХРАЭ РАСХН (г. Обнинск, 109 км Киевского шоссе) Тетенькиным В.Л.
Рис. 7. Спектры поглощения антоцианов из ягод черники при разных pH растворов.
Цвет линий и точек приблизительно соответствует окраске растворов пигментов (в скобках – pH образцов по универсальному индикатору): образцы №1 (2,5) и №2 (4) красные; №3 (6,5) розовый; №4 (8) зеленоватый; №5 (10) светло-желтый.
Как видно из рисунка 7, спектры антоциана очень подвижны, зависят от pH раствора и, как показал эксперимент, могут соответствовать практически любому цвету раствора. Широкая цветовая гамма антоцианов и простота смены цвета объясняет, почему именно этот пигмент выбран природой для окраски. Локализация пигмента в вакуолях (рис. 9) позволяет создать любую его концентрацию и придать окраске необходимую густоту и насыщенность.
При движении от кислой к щелочной среде можно отметить монотонные изменения спектров поглощения антоцианов:
-
уменьшается амплитуда поглощения в видимой области спектра, т.е. растворы становятся более светлыми (прозрачными);
-
максимум в видимой области смещается в длинноволновую сторону, что приводит к характерным изменениям цвета растворов;
-
увеличивается амплитуда поглощения в фиолетовой (ультрафиолетовой) области спектра, доминирование поглощения в которой придает растворам желтоватый оттенок.
Рис. 8. Антоциан дельфинол.
Присоединения глюкозы превращает антоцианидин дельфинидол в антоциан (моно или дигликозид).
У пигментов все 7 двойных связей сопряжены, одна из них (красная) – полуизолирована.
Катион металла у оксоний–аниона кислорода определяет цвет пигментов: Fe – синий, Mo – фиолетовый, Ca – пурпурный. Цвет зависит также от диссоциации OH групп и, следовательно, от pH раствора пигментов.
Рис. 9. Схема строения клетки растений.
Все пигменты фотосинтеза (хлорофиллы, каротиноиды) находятся во внутренних мембранах хлоропластов, а водорастворимые антоцианы локализованы в изолированных мешках — вакуолях. В живых листьях антоцианы поглощают избыточную солнечную радиацию в видимой области спектра (максимум поглощения антоцианов расположен в области энергетического максимума излучения солнца) и ультрафиолет, защищая, таким образом, важные молекулярные компоненты клеток от повреждения. В цветах и зрелых плодах антоцианы обуславливают их окраску, хлоропласты отсутствуют, а вакуоль с раствором антоцианов занимает почти весь объем клетки, что придает окраске необходимые густоту, колорит, яркость и насыщенность.
При увеличении концентрации возрастает вклад слабых полос в формирование цвета раствора. В частности, например, образец 4 при высокой концентрации, вероятно, будет «казаться» синим, а образец 5 – зеленоватым.
Структурная химическая формула одного из антоцианов показана на рис. 8. Большое число двойных сопряженных связей и анион оксония в гетероцикле приводят к общему смещению главного длинноволнового максимума ~ в середину оптического диапазона. Конкретное положение и амплитуда максимума зависят от pH раствора и катиона (рис. 8).
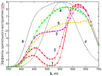
Рис. 10. Спектральные эффекты зрительного восприятия света:
a – спектр поглощения пигментов клеток сетчатки человеческого глаза (колбочек), ответственных за цветовосприятие; b – спектр цветовосприятия человека (спектральная чувствительность сетчатки, скорректированная зрительным анализатором); 1, 2, 3, 4, 5 – спектры зрительного восприятия окраски антоциана при разных pH растворов (см. рис. 7). Номера соответствуют номерам образцов.
По спектрам, представленным на рис. 7, можно рассчитать пропускание растворов и определить их цвет.
Зрительный эффект, производимый цветом светового луча некоторой длины волны, пропорционален интенсивности излучения и чувствительности зрительного анализатора к электромагнитному излучению этой длины волны:
эффект = Const·T·b,
где T – оптическое пропускание растворов пигмента, b – спектральная зависимость цветовосприятия.3 Спектры цветовосприятия растворов антоциана с различными значениями pH представлены на рис. 10.
Из указанных спектров рассчитаны вклады цветовых составляющих палитры RGB в каждый из спектров растворов антоциана, суммой которых окрашены круги, показанные на рис. 11.
Совпадение с реальной окраской растворов антоциана очень хорошее. Синий цвет, подобный 4a, имеет экстракт ягод черники, в котором концентрация антоцианов достаточно велика, при щелочных pH.
Рис. 11. Реконструкция цвета растворов антоциана из ягод черники.
Цвета получены в палитре RGB (Red-Green-Blue) компьютера, соотношение интенсивностей цветов RGB рассчитано из спектров зрительного восприятия окраски растворов антоциана (рис. 10). Номера окрашенных кругов соответствуют номерам образцов. 4a – образец 4 при ~ пятикратно увеличенной концентрации антоциана: при высоких концентрациях происходит ассоциация (как правило, димеризация) молекул пигментов, вследствие которой происходит перераспределение амплитуд коротковолновых и длинноволновых полос поглощения в пользу последних. В результате этого в спектре 4 (рис. 10) наряду с общим уменьшением амплитуд произойдет значительное ослабление красной составляющей (650 нм) и существенное усиление синей составляющей (450 нм). Комбинирование RGB дает цвет 4a.
III. Особенности человеческого цветовосприятия
В сетчатке глаза имеется 3 типа специальных клеток – колбочек, содержащих 3 разных зрительных пигмента с различающимися спектрами поглощения. Общий спектр этих пигментов показан на рис. 9 (кривая a). Этих трех пигментов в трех типах колбочек достаточно для различения огромного количества цветовых оттенков.
При поглощении пигментом фотона колбочки посылают импульс в зрительный анализатор, расположенный в затылочной части коры головного мозга. Анализатор подразделен на три: анализатор контуров, анализатор движения и анализатор цвета. Первые два получают информацию от других клеток сетчатки – палочек, а сигналы от колбочек поступают в анализатор цвета, который выдает информацию о пространственном распределении цветовой палитры. В сознание поступает интегрированная информация всех трех анализаторов.
Колбочки первого типа (К1) содержат пигмент, поглощающий синий свет (~450 нм); колбочки второго (К2) и третьего (К3) типов содержат пигмент, поглощающие в широком спектральном диапазоне с максимумом в желто-зеленой области спектра (~550 нм); спектр К3 смещен относительно К2 ~ на 10 нм в длинноволновую сторону.
Частота нервных импульсов, поступающих в анализатор, зависит от λ и пропорциональна амплитуде поглощения колбочек при этой длине волны.
Обработка информации начинается уже в нервных волокнах: импульсы от К1 и К2 поступают непосредственно в анализатор, а импульс от К3 гасится импульсами от К2. Вследствие этого в спектральной области, где поглощение К2 К3, импульс от К3 в анализатор проходит редко, т.к. высока вероятность его подавления импульсом от К2. В длинноволновой части спектра поглощение К3 >> К2, импульс от К3 гасится редко. В результате спектр импульсов от К3 оказывается в красной области спектра (~650 нм). Таким образом формируется третий квазипигмент.4
Очевидно, что амплитуды поглощения этих пигментов неодинаковы: поглощение и частота импульсов от пигмента К1 и квазипигмента К3 ~ в 5 раз меньше, чем у желто-зеленого пигмента К2. Анализатор корректирует спектральную чувствительность зрения с использованием всего накопленного опыта и запомненной информации, подравнивая спектральную чувствительность к виду (рис. 10, кривая b), близкому к спектру солнечного излучения, прошедшего через атмосферу.
Три типа детекторов цвета в сетчатке означает, что в цветовосприятии должны существовать три базовых цвета.. Предположительно это – красный, желтый и синий, комбинации которых показаны на рис. 12.
















