151010 (580520)
Текст из файла
Условие и содержание задания
Идеальный газ (μ – 18,0 г/моль, к = 1,33) при V1; P1; T1 изохорно нагревается до T2, а затем изотермически до Р3. После изобарного и изоэнтропного сжатия рабочее тело возвращается в начальное состояние.
-
Определить термические и удельные калорические характеристики рабочего тела в переходных точках цикла (P; V; T; h; s; u).
-
Вычислить изменения калорических характеристик в каждом из составляющих циклов изопараметрических процессов (ΔH; ΔS; ΔU).
-
Вычислить количество теплоты, деформационной работы, работы перемещения для каждого из изопараметрических процессов (Q; L; Lп).
-
Выяснить энергетические особенности этих процессов и цикла в целом, составить для них схемы энергобаланса и кратко прокомментировать их особенности
-
Оценить эффективность тепломеханического цикла и эквивалентного ему цикла Карно.
Таблица 1
| № варианта | Начальный объем рабочего тела, V1, м3 | Начальное давление, P1, кПа | Начальная температура, T1, К | Конечная температура в изохорном процессе, T2, К | Конечное давление в изотермическом процессе, P3, кПа |
| 9 | 2,6 | 4000 | 573 | 723 | 100 |
1 Рабочее тело - идеальный газ
-
Предварительные вычисления
Удельная газовая постоянна
Удельная изобарная теплоемкость газа при к = 1,33
Удельная изохорная теплоемкость
Масса идеального газа
-
Определение характеристик термодинамического состояния идеального газа в переходных точках
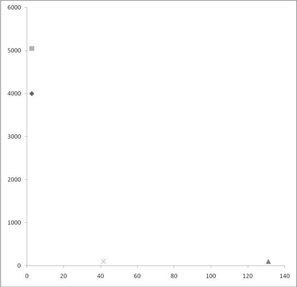
На рис. 1 и 2 показан тепломеханический цикл в диаграммах Pv и Ts.
Расчет характеристик термодинамического состояния выполняется в соответствии с исходными данными табл.1 по следующему плану:
Состояние (точка) 1.
Известны: V1; P1; T1.
Определяется удельный объем
Удельные калорические характеристики для каждого из состояний вычисляются по расчетным соотношениям при Тб = 273,15 К и Рб = 100 кПа.
Удельная энтальпия
Удельная внутренняя энергия
Удельная энтропия
Состояние (точка) 2.
Известны: T2;
V2 = V1 (процесс 1-2 изохорный);
v2 = v1
Определяются:
Давление
Удельная энтропия
Удельная внутренняя энергия
Удельная энтропия
Состояние (точка) 3.
Известны: Р3;
Т3 = Т2 (процесс 2-3 изотермический).
Определяются:
Удельный объем
Объем
Удельная энтальпия
Удельная внутренняя энергия
Удельная энтропия
Состояние (точка) 4.
Известны: Р4 =Р3 (процесс 3-4 изобарный);
s4 = s1 (процесс 4-1 изоэнтропный).
Определяются:
Термодинамическая температура
Удельный объем
Объем
Удельная энтальпия
Удельная внутренняя энергия
Результаты расчета сведены в табл.2
Таблица 2
|
| Р, кПа | Т, К | t°, °С | V, м3 | v, | h, | u, | s, |
| 1 | 4000 | 573 | 300 | 2,6 | 0,066 | 560 | 295 | -0,325 |
| 2 | 5061 | 723 | 450 | 2,6 | 0,066 | 837 | 502 | -0,0002 |
| 3 | 100 | 723 | 450 | 131,2 | 3,34 | 837 | 502 | 1,812 |
| 4 | 100 | 230 | -43 | 41,73 | 1,062 | -80 | -186 | -0,325 |
Характеристики термодинамического состояния идеального газа в переходных точках цикла
-
Вычисление изменения калорических характеристик в процессах с идеальным газом
Изменение калорических характеристик при переходе рабочего тела из начального состояния Н в конечное К определяется на основе следующих соотношений:
Изменение энтальпии
Изменение внутренней энергии
Изменение энтропии
По данным табл.2 получаем
Процесс 1-2 (V = const)
Процесс 2-3 (Т = const)
Процесс 3-4 (Р = const)
Процесс 4-1 (S = const)
1.4 Определение количества теплоты, деформационной работы и работы перемещения в процессах с идеальным газом
Характеристики термодинамических процессов (Q; L; Lп) определяются на основании Первого и Второго законов термодинамики. Деформационную работу и работу перемещения при равновесном изменении состояния от начального (Н) до конечного (К) можно вычислить также путем интегрирования выражений.
По данным 1.3 получим
Процесс 1-2 (V = const)
Процесс 2-3 (Т = const)
;
Процесс 3-4 (Р = const)
;
Процесс 4-1 (S = const)
;
Результаты расчетов, выполненных в 1.3 и 1.4, сведены в табл.3
Таблица 3
| Некруговые процессы | ΔН, кДж | ΔU, кДж | ΔS, кДж | Q, кДж | L, кДж | Lп, кДж |
| 1-2 | 10960 | 8238 | 12,77 | 8238 | 0 | -2722 |
| 2-3 | 0 | 0 | 71,17 | 51458 | 51458 | 51458 |
| 3-4 | -36066 | -27108 | -83,94 | -36066 | -8958 | 0 |
| 4-1 | 25105 | 18869 | 0 | 0 | -18869 | -25105 |
| цикл | 0 | 0 | 0 | 23630 | 23630 | 23630 |
Характеристики термодинамических процессов и изменения калорических свойств идеального газа
-
Оценка эффективности тепломеханического цикла с идеальным газом
Тепломеханический коэффициент цикла
Среднетермодинамическая температура идеального газа в процессе подвода теплоты
Среднетермодинамическая температура идеального газа в процессе отвода теплоты
Тепломеханический коэффициент эквивалентного цикла Карно
-
Схемы энергобалансов процессов с идеальным газом
Схемы энергобаланса можно представить в виде графических совокупностей элементов, соответствующих следующим частным формам Первого закона технической термодинамики:
Здесь приведены схемы энергобаланса для каждого из четырех изопараметрических процессов и цикла в целом по второй форме:
Каждая схема термодинамически комментируется в соответствии с энергетическими особенностями процесса (табл.4).
Таблица 4
| Процессы | Схемы энергобалансов | Пояснение к схеме |
| 1-2 |
| В данном т/д процессе 1-2 энтальпия идеального газа увеличивается за счет подвода теплоты и затрачивания работы перемещения |
| 2-3 |
| В данном изоэнтальпийном процессе 2-3 работа перемещения совершается за счет подвода теплоты к идеальному газу |
| 3-4 |
Lп | В данном изобарном процессе 3-4 теплота идеального газа отводиться за счет уменьшения энтальпии |
| 4-1 |
| В данном адиабатном процессе 4-1 энтальпия идеального газа увеличивается за счет затрачивания работы перемещения |
| Цикл |
ΣΔН
| В данном т/д цикле суммарное количество теплоты равно суммарному количеству работы перемещения |
Рис.1 Тепломеханический цикл с идеальным газом в диаграмме P – V
Характеристики
Тип файла документ
Документы такого типа открываются такими программами, как Microsoft Office Word на компьютерах Windows, Apple Pages на компьютерах Mac, Open Office - бесплатная альтернатива на различных платформах, в том числе Linux. Наиболее простым и современным решением будут Google документы, так как открываются онлайн без скачивания прямо в браузере на любой платформе. Существуют российские качественные аналоги, например от Яндекса.
Будьте внимательны на мобильных устройствах, так как там используются упрощённый функционал даже в официальном приложении от Microsoft, поэтому для просмотра скачивайте PDF-версию. А если нужно редактировать файл, то используйте оригинальный файл.
Файлы такого типа обычно разбиты на страницы, а текст может быть форматированным (жирный, курсив, выбор шрифта, таблицы и т.п.), а также в него можно добавлять изображения. Формат идеально подходит для рефератов, докладов и РПЗ курсовых проектов, которые необходимо распечатать. Кстати перед печатью также сохраняйте файл в PDF, так как принтер может начудить со шрифтами.
Номер точки
ΔH
















