150931 (580508)
Текст из файла
Задача С 1
Жестяная рама закреплена в точке А шарнирно, а в точке В прикреплена к шарнирной опоре на катках. На раму действуют пара сил с моментом М = 100H*м и две силы F1 = 10H под углом 30 к горизонтальной оси, приложенная к точке K, и F4=40H под углом 60 к горизонтальной оси, приложенная к точке H.
Определить реакции связей в точках A и В, вызываемые заданными нагрузками. При окончательных подсчетах принять l = 0,5 м
2 l l
Д
ано: XA F4’ X
М = 100 Н * м A H
F
1 = 10 Н F4’’ F4 F1’’ F1 l
£
1= 30 K
F
4 = 40 HF1’
L
= 0,5 м М 3l
£ 4 = 60 2l
RB
X
А, YА, RB Д
Рис. С 1.0.
Решение:
Рассмотрим равновесие рамы. Проведем координатные оси XY (начало координат в точке А). На раму действуют следующие силы:
1 и
4, пара сил моментом М и реакция связи
A,
A,
B (реакция неподвижной шарнирной опоры А изображаем двумя ее составляющими, реакция шарнирной опоры на катках направлена перпендикулярно опорной плоскости).
Составляем три уравнения равновесия:
-
∑ FKX=0; XA+F4*coς 60 + F1*coς 30 =0
-
∑ FKY=0; YA-F4*ςin 60 + F1* ςin 30 +RB=0
-
∑ MA (FK)=0; -F4*ςin 60 *2l+ F1* ςin 30 *3l+F1* coς 30 *l-M+RB*5l=0
Из уравнений (1) находим XA:
XA= -F4* coς 60 -F1* coς 30 = -40*0,5-10*0,866= -28,66H
Из уравнения (3) находим RB:
RB=
=
=
=
=49,12H
Из уравнения (2) находим YA:
YA=
Проверка:
-
все силы реакции найдены правильно:
Ответ:
Задача С 2
Однородная прямоугольная плита весом P=5kH со стороны АВ=3l, ВС=2l закреплена в точке А сферическим шарниром, а в точке В цилиндрическим шарниром (подшипником) и удерживается в равновесии невесомым стержнем СС! На плиту действуют пара сил с моментом М=6лН*м, лежащая в плоскости плиты, и две силы. Значения этих сил, их направления и точки приложения Н, £1=90с, Д, £2=30с; при этом силы
и
лежат в плоскостях, параллельных плоскости xy, сила
- в плоскости, параллельной xz, сила
- в плоскости параллельной yz. Точки приложения Д и Н находятся в серединах сторон плиты. Определить реакции связей в(.) А и В, С. При окончательных расчетах принять l=0,5м.
С1
Z
Д
ано:
Y
Рис С 2.0.
Решение:
-
Рассмотрим равновесие плиты. На нее действуют заданные силы:
пара сил с моментом М, а также реакции связей. Реакцию сферического шарнира разложим на 3 составляющие:
цилиндрического шарнира (подшипника) - на две составляющие:
(в плоскости перпендикулярной оси подшипника), реакцию
стержня направим вдоль стержня, предполагая, что он растянут (рис. С 2.0.) -
Для определения
составляем равновесия, действующей на плиту пространственной системы сил:
(1)
(2)
(3)
(4)
(5)
(6)
Из уравнения (4) находим N:
Из уравнения (5) находим ZB:
Из уравнения (1) находим XA:
Из уравнения (6) находим YB^
Из уравнения (2) находим YA:
Из уравнения (3) находим ZA:
Ответ:
XA= -1,67kH
YA= -29,11kH
ZA= -0,10kH
YB=25,11kH
ZB=2,60kH
N= -5,39kH
Знаки указывают, что силы
направлены противоположно показанным на рис. С 2.0.
Задача К1
Д
ано:
Т
ри движения точки на плоскости
Найти:
- уравнение траектории точки
для момента времени
y
B
x
Рис. К 1.0.
Решение:
-
Для определения уравнения траектории исключим из заданных уравнений движения время t:
(1)
Преобразуя систему (1), получим:
(2)
Поскольку время е входит в аргументы тригометрических функций, где один аргумент вдвое больше другого, используем формулу:
то есть:
Итак, получаем:
(3)
Преобразуя систему (3), получим:
(4)
Преобразуем:
Упрощая выражение, получим:
(5)
Выражение (5) – это уравнение траектории точки. График – парабола с вершиной в точке (0;11) на рис. К.1.0 а
-
Скорость точки найдем по ее траектории на координатной оси:
см/с
y
(0;11)
y=-0,375x2+11
(-5,4;0) (5,4;0)
x
Рис. К 1.0 а
При t=1 сек, находим
При t=t1=1 сек, находим
Находим скорость точки:
-
Аналогично найдем уравнение точки:
При t=t1=1 сек, находим
При t=t1=1 сек, находим:
Находим ускорение точки:
Найдем касательное ускорение, дифференцируя по времени равенства:
Учитывая найденные значения
при t= 1 сек, получим:
5)Нормальное ускорение определяется по формуле:
6)Радиус кривизны траектории определяется по формуле:
Ответ:
a1=1,73 см/с2
aT=1,07 см/с2
an=1,36 cм/c2
=7,53 см
Задача К2
Дано:
l
1=0,4 м
l2=1,2 м
l3=1,4 м
l4=0,8 м
=60
=60
=60
=90
=120
4=3с-2
=10с-2
Найти:
-?
2
O1
4
O2
Рис. К2.0.
Решение:
-
Строим положение данного механизма в соответствии с заданными узлами (рис К2.0)
-
Определяем скорость точки
по формуле:
Точка
одновременно принадлежит стержню
. Зная
и направление
воспользуемся теоремой о проекциях скоростей двух точек тела (стержня
) на прямую, соединяющую эти точки (прямая
)
Точка В одновременно принадлежит к стержню 3 те к стержню АВ. При помощи теоремы о проекциях скоростей определяем скорость точки А:
Для определения скорости точки D стержня АВ построим мгновенный центр скоростей для звенья АВ (рис. К 2.0)
Определяем угловую скорость звенья 3 по формуле:
Из треугольника АС3В при помощи теоремы синусов определяем С3В:
Т.О., угловая скорость стержня 3 равна:
Скорость точки D стержня АВ определяется по формуле:
С3D определяем при помощи теоремы синусов:
Итак:
=
Определяем ускорение точки А.
Т.к., угловая ускорение
известно, то
Найдем нормальное ускорение точки А определяем по формуле:
Ускорение точки А плоского механизма определяется по формуле:
Ответ:
Задача Д1
Д
ано:
m=2 кг
Найти:
x=f(t) – закон движения груза на участке ВС
А
C
В
D
x 30
Рис. D 1.0.
Решение:
-
Рассмотрим движение груза D на участке АВ, считая груз материальной точкой.
Изображаем груз (в произвольном положении) и действующее на него силы:
. Проводим ось AZ в сторону движения и составляем дифференциальное уравнение движения груза в проекции на эту ось:
(1)
(2)
Далее, находим:
(3)
Учитывая выражение (3) в (2) получим:
(4)
(5)
Принимая g=10ми/с2 получим:
Интегрируем:
Начальные условия:
При t=0;
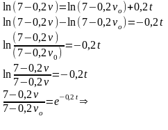
или
ln(7-0,2*
)= C1
При t=t1=2,5сек,
, получим:
-
Теперь рассмотрим движение груза на участке ВС, найденная скорость
будет для движения на этом участке начальной скоростью
Изображаем груз (в произвольном положении) и действующие на него силы:
(рис. D1.0)
Проведем из точки В ось BX и составим дифференциальное уравнение движения груза в проекции на эту ось:
(6)
Т.к.,
то уравнение (6) примет вид:
(7)
Разделив обе части равенства на m=2 кг, получим
(8)
(9)
Умножим обе части уравнения (9) на
и проинтегрируя, получим:
Учитывая начальные условия:
При
Т.о.,
Умножим обе части равенства на dt и снова интегрируем, получим:
Начальные условия: при
Итак:
Ответ:
Это закон движения груза D в изогнутой трубе АВС.
Характеристики
Тип файла документ
Документы такого типа открываются такими программами, как Microsoft Office Word на компьютерах Windows, Apple Pages на компьютерах Mac, Open Office - бесплатная альтернатива на различных платформах, в том числе Linux. Наиболее простым и современным решением будут Google документы, так как открываются онлайн без скачивания прямо в браузере на любой платформе. Существуют российские качественные аналоги, например от Яндекса.
Будьте внимательны на мобильных устройствах, так как там используются упрощённый функционал даже в официальном приложении от Microsoft, поэтому для просмотра скачивайте PDF-версию. А если нужно редактировать файл, то используйте оригинальный файл.
Файлы такого типа обычно разбиты на страницы, а текст может быть форматированным (жирный, курсив, выбор шрифта, таблицы и т.п.), а также в него можно добавлять изображения. Формат идеально подходит для рефератов, докладов и РПЗ курсовых проектов, которые необходимо распечатать. Кстати перед печатью также сохраняйте файл в PDF, так как принтер может начудить со шрифтами.
пара сил с моментом М, а также реакции связей. Реакцию сферического шарнира разложим на 3 составляющие:
цилиндрического шарнира (подшипника) - на две составляющие:
(в плоскости перпендикулярной оси подшипника), реакцию
составляем равновесия, действующей на плиту пространственной системы сил:
будет для движения на этом участке начальной скоростью














