150440 (580446)
Текст из файла
КИНЕМАТИКА
I Определить скорость и ускорение точки М методом простого движения точки
Составим уравнения точки М
Определим проекции скорости точки М на оси координат
Квадрат модуля скорости точки М вычислим по формуле:
Определим проекции ускорения точки М на оси координат
Модуль ускорения точки М
II Определить скорость и ускорение точки М методом сложного движения точки
По теореме о сложении скоростей имеем:
;
;
По методу проекции имеем:
По теореме о сложении ускорений имеем:
По методу проекции имеем:
Модуль ускорения точки М
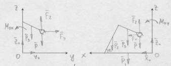
СТАТИКА
Дано:
| φ1=-30 | Fx=4 H | l1=0,6 м | S0=1 см2 |
| φ2=-75 | Fy=6 H | l2=0,6 м | ρ(стали)=7,8 г/см3 |
| Fz=2 H | l3=0,4 м | g=10 м/с2 |
Рассмотрим равновесие всего манипулятора
Рассмотрим равновесие руки манипулятора
Рассмотрим равновесие без руки манипулятора
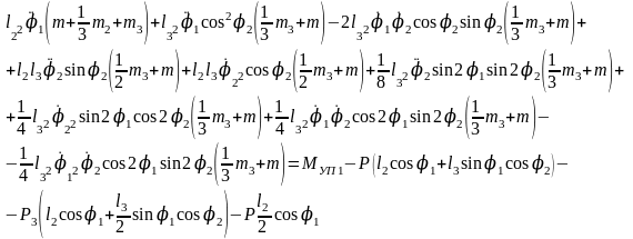
ДИНАМИКА
Дано:
| l1=0,6 м | m1=0,468 кг | t=2c |
| l2=0,6 м | m2=0,468 кг |
|
| l3=0,4 м | m3=0,312 кг |
|
| g=10 м/с2 | m=0,5 кг |
n=2 – число степеней свободы
- Уравнения Лагранжа 2 рода
Определим кинетическую энергию манипулятора
, т.к. первая деталь манипулятора неподвижна
Вычисляем частные производные
Вычисляем обыкновенные производные по времени
Для определения обобщенных сил сообщаем системе возможные перемещения
Активные силы: МУП1, МУП2, Р1, Р2, Р3, РМ.
1)
2)
Подставляем преобразованные выражения в уравнения Лагранжа 2 рода
Характеристики
Тип файла документ
Документы такого типа открываются такими программами, как Microsoft Office Word на компьютерах Windows, Apple Pages на компьютерах Mac, Open Office - бесплатная альтернатива на различных платформах, в том числе Linux. Наиболее простым и современным решением будут Google документы, так как открываются онлайн без скачивания прямо в браузере на любой платформе. Существуют российские качественные аналоги, например от Яндекса.
Будьте внимательны на мобильных устройствах, так как там используются упрощённый функционал даже в официальном приложении от Microsoft, поэтому для просмотра скачивайте PDF-версию. А если нужно редактировать файл, то используйте оригинальный файл.
Файлы такого типа обычно разбиты на страницы, а текст может быть форматированным (жирный, курсив, выбор шрифта, таблицы и т.п.), а также в него можно добавлять изображения. Формат идеально подходит для рефератов, докладов и РПЗ курсовых проектов, которые необходимо распечатать. Кстати перед печатью также сохраняйте файл в PDF, так как принтер может начудить со шрифтами.















