150226 (580426)
Текст из файла
БИЛЕТ № 3
-
Движение материальной точки в поле тяжести земли описывается уравнениями
. Нарисовать траекторию движения тела
. -
РЕШЕНИЕ:
Выразим время через х
T(x)=x/10
Подставим во второе уравнение:
Y(x)=20-4.9*(x/10)2
X 10 20 30 40 0
Y 1.51 0.4 20
-
Диск радиуса
вращается относительно оси, проходящей через центр масс, с угловой скоростью
. К ободу диска прикладывают касательную тормозящую силу
. Масса диска
. Через какой промежуток времени диск остановится? -
РЕШЕНИЕ:
Вычислим угловое ускорение В, создаваемое касательной тормозящей силой Fk. Для чего нам необходимо вычислить момент силы Fk:
М=Fk*R
И момент инерции диска:
I=0.5*m*R2
Тогда выведем ускорение (угловое) :
M=I*
Выразим время до остановки t2:
W2=*t2+W0
-
Определить ускорение тел, связанных нерастяжимой, невесомой нитью, перекинутой через невесомый блок,
,
,
, внешняя сила
. (см.рисунок). -
РЕШЕНИЕ:
Рассмотрим силы, действующие на каждое тело, беря за положительное направление – направление движения.
На тело 3:
Т2-Ft3 =m3a
T2= m3a+ m3g= m3(a+g)
На тело 2:
Ft2 +T1-T2= m2a
m2g+T1-T2= m2a
T1= m2(a-g)+ m3(a+g)
На тело 1:
Ft1+F-T1= m1a
m3a+F-T1= m1a
m1a+F- m2a+ m2g- m3a- m3g= m1a
m1a+ m2a+ m3a= m1a+F+ m2g+ m3g
-
Тело массой
соскальзывает без трения с наклонной плоскости, имеющей высоту
. Какую скорость будет иметь тело у подножия наклонной плоскости? -
РЕШЕНИЕ:
Так как м0=0, то на оси ОХ на тело действует лишь проекция силы FТ на ось ОХ.
ma=FT*sin
a=
Путь S пройденный телом до конца наклонной плоскости:
S=h/sin
Зная выражение пути равноускоренного движения:
Выразим V:
так как V0=0
-
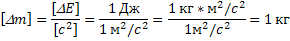
Полная энергия тела возросла на
. На сколько при этом изменилась его масса? -
РЕШЕНИЕ:
Согласно теории относительности полная энергия тела определяется выражением:
E=m*c2 (1)
Где m – релятивистская масса тела, с – скорость света в вакууме (с=3*108 м/c)
Из выражения (1) получаем:
(2)
При увеличении полной энергии тела на Е масса тела, согласно (2), возрастает на величину:
Проверим размерность:
Подставим численные значения и произведем вычисления:
-
-
Одинаковые по величине заряды q1, q2 и q3 находятся в трех вершинах квадрата. Как направлена сила, действующая на заряд q2 со стороны двух других зарядов? Ответ обосновать.
РЕШЕНИЕ:
Из закона Кулона следует, что разноименные заряды притягиваются. Следовательно FR1,2, действующая со стороны первого заряда на второй заряд, направлена по линии, соединяющей эти два заряда от второго к первому. Аналогично и сила FR2,3 направлена от второго к третьему. Так как заряды q1=q3 и расстояния Sq1q2=Sq2q3,
то по закону Кулона следует, что FR1,2 по модулю равна FR2,3
Используя принцип суперпозиции сил проведем векторное сложение FR1,2 и FR2,3
F= FR1,2 + FR2,3
Таким образом, сила F будет направлена по диагонали квадрата, как показано на рисунке.
-
Незаряженное металлическое тело М, смотри рисунок, внесли в электрическое поле положительного заряда
, а затем разделили на две части
и
. Каким зарядом обладают части тела
и
после их разделения? -
-
РЕШЕНИЕ:
После внесения незаряженного металлического тела М в электрическое поле положительного заряда q, в зону I согласно закону Кулона начнут притягиваться свободные отрицательно заряженные частицы тела М (электроны), а в зону II – положительно заряженные частицы (условно «дырки»). Таким образом после разделения тела М в его I части скопится отрицательный заряд, равный по модулю положительному заряду, скопившемуся в части II.
-
Электростатическое поле создается равномерно заряженной бесконечной плоскостью. Покажите, что это поле является однородным.
РЕШЕНИЕ:
Пусть поверхностная плотность заряда равна . Очевидно что вектор Е может быть только перпендикулярным заряженной плоскости. Кроме того очевидно, что в симметричных относительно этой плоскости точках вектор Е одинаков по модулю и противоположен по направлению. Такая конфигурация поля подсказывает, что в качестве замкнутой поверхности следует выбрать прямой цилиндр, где предполагается что больше нуля. Поток сквозь боковую поверхность этого цилиндра равен нулю, и поэтому полный поток через всю поверхность цилиндра будет равным 2*Е*S, где S – площадь каждого торца. Согласно теореме Гаусса
2*Е*S=*S,
где *S – заряд заключенный внутри цилиндра.
Откуда
Е=/2*Ео.
Точнее это выражение следует записать так:
Еn=/2*Eo,
где Еn – проекция вектора Е на нормаль n к заряженной плоскости, причем вектор n направлен от этой плоскости.
Тот факт, что Е не зависит от расстояния до плоскости, означает, что соответствующее электрическое поле является однородным.
-
Из медной проволоки изготовлена четверть окружности радиусом 56 см. По проволоке равномерно распределен заряд с линейной плотностью 0,36 нКл/м. Найдите потенциал в центре окружности.
-
РЕШЕНИЕ:
Так как заряд линейно распределен по проволоке для нахождения потенциала в центре воспользуемся формулой:
Где - линейная плотность заряда, dL – элемент проволоки.
-
В электрическом поле, созданном точечным зарядом Q, по силовой линии из точки расположенной на расстоянии r1 от заряда Q в точку, расположенную на расстоянии r2, перемещается отрицательный заряд -q. Найдите приращение потенциальной энергии заряда -q на этом перемещении.
-
РЕШЕНИЕ:
По определению потенциал – это величина, численно равная потенциальной энергии единичного положительного заряда в данной точке поля. Следовательно потенциальная энергия заряда q2:
Отсюда
-
Два одинаковых элемента с э.д.с. 1,2 В и внутренним сопротивлением 0,5 Ом соединены параллельно. Полученная батарея замкнута на внешнее сопротивление 3,5 Ом. Найдите силу тока во внешней цепи.
-
РЕШЕНИЕ:
Согласно закону Ома для всей цепи сила тока во внешней цепи:
Где E` - ЭДС батареи элементов,
r` - внутреннее сопротивление батареи, которое равно:
ЭДС батареи равна сумме ЭДС трех последовательно соединенных элементов:
E`=E+E+E=3E
Следовательно:
12 В электрическую цепь включены последовательно медная и стальная проволоки равной длины и диаметра. Найдите отношение количеств тепла выделяющегося в этих проволоках.
-
РЕШЕНИЕ:
Рассмотрим проволоку длиной L и диаметром d, изготовленную из материала с удельным сопротивление p. Сопротивление проволоки R можно найти по формуле
Где s=
– площадь поперечного сечения проволоки. При силе тока I за время t в проводнике выделяется количество теплоты Q:
При этом, падение напряжения на проволоке равно:
Удельное сопротивление меди:
p1=0.017 мкОм*м=1.7*10-8Ом*м
удельное сопротивление стали:
p2=10-7Ом*м
так как проволоки включены последовательно, то силы тока в них одинаковы и за время t в них выделяются количества теплоты Q1 и Q2:
Отсюда:
-
В однородном магнитном поле находится круговой виток с током. Плоскость витка перпендикулярна силовым линиям поля. Докажите, что результирующая сил, действующих со стороны магнитного поля на контур, равна нулю.
РЕШЕНИЕ:
Так как круговой виток с током находится в однородном магнитном поле, на него действует сила Ампера. В соответствии с формулой dF=I[dL,B] результирующая амперова сила, действующая на виток с током определяется:
Где интегрирование проводится по данному контуру с током I. Так как магнитное поле однородно, то вектор В можно вынести из-под интеграла и задача сволится к вычислению векторного интеграла
. Этот интеграл представляет замкнутую цепочку элементарных векторов dL, поэтому он равен нулю. Значит и F=0, то есть результирующая амперова сила равна нулю в однородном магнитном поле.
-
По короткой катушке, содержащей 90 витков диаметром 3 см, идет ток. Напряженность магнитного поля, созданного током на оси катушки на расстоянии 3 см от нее равна 40 А/м. Определите силу тока в катушке.
РЕШЕНИЕ:
Считая, что магнитная индукция в точке А есть суперпозиция магнитных индукций, создаваемых каждым витком катушки в отдельности:
Для нахождения Ввитка воспользуемся законом Био-Савара-Лапласа.
Где, dBвитка – магнитная индукция поля, создаваемая элементом тока IDL в точке, определяемой радиус-вектором r Выделим на конце элемент dL и от него в точку А проведем радиус-вектор r. Вектор dBвитка направим в соответствие с правилом буравчика.
Согласно принципу суперпозиции:
Где интегрирование ведется по всем элементам dLвитка. Разложим dBвитка на две составляющие dBвитка(II) – параллельную плоскости кольца и dBвитка(I) – перпендикулярную плоскости кольца. Тогда
Заметив, что
из соображений симметрии и что векторы dBвитка(I) сонаправленные, заменим векторное интегрирование скалярным:
Где dBвитка(I) =dBвитка*cos и
Поскольку dl перпендикулярен r
Сократим на 2 и заменим cos на R/r1
Характеристики
Тип файла документ
Документы такого типа открываются такими программами, как Microsoft Office Word на компьютерах Windows, Apple Pages на компьютерах Mac, Open Office - бесплатная альтернатива на различных платформах, в том числе Linux. Наиболее простым и современным решением будут Google документы, так как открываются онлайн без скачивания прямо в браузере на любой платформе. Существуют российские качественные аналоги, например от Яндекса.
Будьте внимательны на мобильных устройствах, так как там используются упрощённый функционал даже в официальном приложении от Microsoft, поэтому для просмотра скачивайте PDF-версию. А если нужно редактировать файл, то используйте оригинальный файл.
Файлы такого типа обычно разбиты на страницы, а текст может быть форматированным (жирный, курсив, выбор шрифта, таблицы и т.п.), а также в него можно добавлять изображения. Формат идеально подходит для рефератов, докладов и РПЗ курсовых проектов, которые необходимо распечатать. Кстати перед печатью также сохраняйте файл в PDF, так как принтер может начудить со шрифтами.
. Нарисовать траекторию движения тела
.
вращается относительно оси, проходящей через центр масс, с угловой скоростью
. К ободу диска прикладывают касательную тормозящую силу
. Масса диска
. Через какой промежуток времени диск остановится?
,
,
, внешняя сила
. (см.рисунок).
соскальзывает без трения с наклонной плоскости, имеющей высоту
. Какую скорость будет иметь тело у подножия наклонной плоскости?
. На сколько при этом изменилась его масса?
, а затем разделили на две части
и
. Каким зарядом обладают части тела
















